www.uitvindingensite.nl

www.uitvindingensite.nl


----------------------------------------------------------------------------------------------------------------------------------------------------------------------
Wetenschappelijke theorien
----------------------------------------------------------------------------------------------------------------------------------

Inhoudsopgave:

  1. Plasma is gebruikt om God te "doorboren" (Genesis)
  2. Hoe de Metselaars ongehinderd en in het geheim, stealth, kunnen communiceren
  3. Religieuze stellingen
  4. Hoe Spiritualiteit de wereld heeft verminkt, wat en wie dit doen?
  5. Planten met elkaar te kruisen/verbinden om tegen virussen te immuniseren...?
  6. Hoe de plant van vuur, zeg maar de plant waarvan je niet van de vruchten mag eten, in de hemel is ontstaan...
  7. Hoe de "magische techniek" Z werkt... 4/07/2025, 18:15
  8. Hoe het magisch systeem is gecodeerd...
  9. Natriumchoride beter dan kaliumchloridezout 2... 11/02/2025, 20:18
  10. Antenne met Y as of Z+ as, STEALTH COMMUNICATION!
  11. Een Van der Graaff generator gebruiken om permanente magneten opnieuw te magnetiseren? 3/01/2024, 13:50
  12. Natriumchoride beter dan kaliumchloridezout... 10/06/2024, 21:30
  13. Een portaal betreden... 18/05/2024, 21:20
  14. Antigravity Motor
  15. Belangrijke cijfers
  16. Hoe communicatie via de kruis werkt! Een "verkeerd" protocol...
  17. Jammen van een frequentie...
  18. Technisch verhaal over spiritualiteit
  19. Tornado met verschillende kleuren uitgelegd, de windsnelheid en waarom het ontstaat...
  20. In de baan/dampkring van de aarde treden vanuit de ruimte/ 24/08/2023, 14:00
  21. Communicatie via de Davidsster en wireless charging... 20/12/2022, 18:35
  22. De Antichrist en de Satan, bezitten geen cijfers, dus geen "kafir", geen "mumin"...
  23. Quantum data transfer en communicatie... 23/08/2022, 10:45
  24. Camouflage en schild in theorie... 12/08/2022, 12:25
  25. Het einde van de wereld door "spirit alignment" en Mark of the Beast...
  26. Gevallen engelen in de Bijbel staan voor duivels of voor gesneuvelde/gevangen engelen?
  27. Vrijdaggebed volgens de Hicri kalander is eigenlijk veroorlooft volgens de echte Soenna...
  28. Wie een kuil graaft voor de duivel/een ander...
  29. Antigravity op een andere manier uitgelegd... 31/07/2022, 17:30
  30. XYZ voor het creeren van een elektromagnetisch veld (delta) en hiermee geluid overbrengen?... 8/07/2022, 19:21
  31. Ondetecteerbaar/onvindbaar, camouflage? Chinese camouflagetechniek? 1/4/2022, 17:30
  32. Radioactiviteit weghalen door een elektromagnetisch gebied te creeren in het stralingsgebied...29/12/2020, 18:35
  33. Waarom er een verschil bestaat tussen interpretatie vanuit islam en vanuit het christendom over wat de Heilige Geest wel is?
  34. Schizofrenie oorzaken vanuit het lichaam, dus de technische theorie is anders dan de biologische kenmerken?
  35. MANDALA 2...Weer een uitleg, hoe dit eruit ziet, twee afbeeldingen...09/12/2020, 15:42
  36. Covid 19 en ammoniumsulfaat, verbanden die nog niet zijn blootgesteld... Zwavelzuur ontstaat dat wel..?
  37. De magische 400, gebruiken ze om een elektromagnetisch veld van de eerste klasse aan mensen te spelden... Een zogenaamde "Kafir" en "Mumin..."
  38. Covid - 19 >>>> Hesperidine+vitamine C+Naringin en Naringenin+glucose, rhamnose extra...03/12/2020, 15:57
  39. Verbetering theorie over stemmen horen, N/S en S/N, laatste versie, versimpeld...02/12/2020, 10:50
  40. Inventaris van elk psychiatrische patient of potentiele patient...
  41. MANDALA van de aarde en de MANDALA van onze mensen...
  42. Technische verklaring voor de werking van de Iron Cross techniek, laatste kans!?
  43. De Iron Cross zender...
  44. Soefi's en veel moslims denken raar, alleen moslims in de hemel?
  45. Omgekeerde narcisme? Wordt daar wel genoeg naar gekeken?
  46. Valse boodschappers? Alleen wanneer de profeet Jezus deze aanwijst, moet je in zo iemand geloven...14/11/2020, 20:10
  47. Hakenkruis, bestaat uit 70 prisma's, 2 zijn speciaal...Een uitleg waar de boosdoener mee bezig is..! Fascisme...12/11/2020, 13:50
  48. Stemmen overbrengen door de boosdoeners, een poging dit beter uit te leggen met behulp van een simpel oud voorbeeld...07/11/2020, 22:15
  49. "Kafir" en "Mumin..." Masonry oftewel Musrik'un...
  50. De brug dat verschijnt na de dood volgens vele moslims, die erin beginnen te geloven...
  51. De boodschapper en de profeet Jezus...
  52. Hoe sommigen stemmen horen, nogmaals...Technische oorzaak...Voor de mensen die ermee zitten...
  53. De kenmerken van duivels en de praktijk!
  54. Wat zijn engelen, volgens de islam, de christenen en alevieten, Boedisten en Hindoes? Gevallen engelen? Nakomelingen ervan?
  55. 317  Waterstof produceren uit water...Warme methode...10/06/2020, 22:51 (Deze methode bestaat al, zie link)
  56. 8118 = 99, human genome...Hoe ontstaat een (geestes)ziekte? Corona als voorbeeld!
  57. Mbv honing antigenen stimuleren te groeien tegen virussen...Recombinant DNA!
  58. X, Y, Z, Z- as voor het menselijk lichaam...09/02/2020, 14:00
  59. Waarop te letten bij communicatie mbv XYZ
  60. De antichrist en de Beest...In de islam...
  61. Sticky: zie nummer 87 hier onderaan, het belangrijkste van de hele site...
  62. Nephilim...Kinderen van gevallen engelen? Maar engelen zijn genderneutraal..!
  63. Waarom ik en jij schizofreen moeten zijn..? Een theorie...
  64. De Koran en de Bijbel zeggen hetzelfde ongeveer over bezetenheid, maar hetzelfde wordt niet geleerd aan de mens...Mark of the beast...
  65. Een elektrostatisch veld tussen accu en motor of een ander stroomverbuikend object...20/11/2019, 23:20
  66. Opwekken van warmte, hoe moet dat en hoe gebeurt dat tegenwoordig? 11/11/2019, 14:40
  67. Stemmen overbrengen via lasers/frequenties? Een nieuwe poging tot verklaren ervan...
  68. Vodafone, en cellular inplants... Na de brand bij Vodafone in 2012... Zit ik met vragen...
  69. Alien signalen, "burst," die wetenschappers uit aarde ontvangen, niet van alien origine..?
  70. Verschil tussen de duivelse "plant van vuur" en de heilige geest van god...
  71. Verplaatsen in de dimensie van "de duivel" ???
  72. Mensen die een soort telepatisch kunnen communiceren...Spionnen!?
  73. Volgens de Islamieten kan de Antichrist of dajjaal mensen laten doodgaan en weer tot leven wekken...Necromancy...
  74. 23-7-2019, 20:46, magnetisme en supergeleiding...
  75. Hemellichamen
  76. Hoe Jesus is gehaakt aan Gabriel...
  77. Hoe stemmen/geluid overbrengen via radio... Een theorie, 27 - 2 - 2019, 11:11
  78. Hoe kan de antichrist iemand voor het leven markeren 666... 16 - 2 - 2019, 12:00
  79. Hoe kun je met behulp van zonlicht wind (+/-) laten ontstaan...
  80. Stemmen tussen de oren en psychoses tussen de ogen...
  81. Licht helemaal opsluiten, kan dat? Een poging doen? 23 - 10 - 2018 1:53
  82. Zie de theorie over "Elektronenschillen van atomen 27 - 9 - 2018 1:26" (5 - 10 -2018 toegevoegd)
  83. Schrikkeljaren op aarde, de echte volgens berekeningen: 4 - 10 - 2018.
  84. 30 - 9 - 2018 00:40, Zoals "Energie opwekken met membranen die worden getriggerd door zonlicht en geluid"
  85. Elektronenschillen van atomen 27 - 9 - 2018 1:26
  86. Energie opwekken met membranen die worden getriggerd door zonlicht en geluid, 1:30 7 - 9 - 2018 (backscatter) (drietand/usb) (hakenkruis)
  87. Jammer dat niemand een idee heeft van wat hier wordt uitgelegd. Oneindige stroomkring 19 - 8 - 2018 Een leuke link om te bekijken, heeft een klein beetje relatie met wat ik beschrijf. Wel leuk om te bekijken.
  88. Tweede poging stemmen horen uit te leggen:
  89. Hoe de duivel van portaal naar portaal kan springen. Het systeem van de duivels, duivelspad.
  90. Hoe het menselijk islamitisch sterrenbeeld wordt gevormd en hoe jezus is verbonden met de heilige geest.
  91. Ik heb eerder aangegeven dat het magische systeem 60 "ogen" bezit voor de kenners is dit...
  92. Waarom de tovenaars wel kunnen communiceren met ons...
  93. Elektriciteit "vangen" = resonantie.
  94. Toevoeging 14:15 30/01/2018: Over kanker...
  95. OUD Over de theorie over de ziekte kanker en staph 17/7/2017
  96. 78, Iedereen die geinteresseerd is in de behandeling van kanker 13:45 21/9/2016
  97. Lichaamsvoltage (body voltage) verhogen als middel tegen kanker (herhaling) zie beneden.
  98. Hoe ontstaat volgens mij een tumor, en wat is dat? Herhaling!
  99. Broeikas model uitgebreid 7/11/2017
  100. Mensen die stemmen horen:
  101. Broeikas backscattering
  102. Voor de duidelijkheid nog een uitleg hoe de oneindige stroomkring tot stand komt Alle magneten staan onder stroom.
  103. Speciale capacitoropstelling ik denk dat deze opstelling speciaal kan zijn. Omdat vier uitgangen aan de capacitor worden gegeven de minpolen elkaar raken en een plus vormen waarna 4 andere capacitors de taken overnemen, een soort verdeling.
  104. Haken en ogen een uitleg
  105. Frequentie haken 2 mbv isolatie en halfgeleider, een dergelijke opstelling, scrambled signals 4/5/2017
  106. 2/5/2017   Methode om gedrag van ziektekiemen te herleiden
  107. Heb dit bij wetenschappelijke theorien gedumpt: het gaat om superconducting en zero g
  108. Spanningsveld en communiceren via trillingen (door een Amerikaanse wetenschapper eerder verklaard dat planten en dieren kunnen communiceren via trillingen, maar niet de wijze waarop)
  109. Het stemmen horen een nieuwe verklaring van mijzelf 25/3/2017
  110. Electromagnetic communicator
  111. 31/10/2016 frequentie haken met een oneindige stroomkring
  112. 13/9/2016 Hoe een magneet maken, het principe van een magneet haken en ogen 16:50
  113. Een droom...
  114. Fysical shield 30-6-2016 22:32
  115. Met aansteker de wereld kunnen veranderen?
  116. Ionisatoren polariteit en ontstaan van radioactiviteit
  117. Polariteit van vuur
  118. Geluid opwekken door twee atomen te laten fuseren en deze in een continue stroomkring te laten bewegen, plasma ball
  119. Ziekteverwekkers, o.a. kankercellen en parasitaire ziektes onderzoeken ipv proefdieren te gebruiken, de beste methodiek:
  120. Landmarks in andere kant van de wereld aanmerken met een andere landmark van dezelfde soort, die de landmark aangeeft.
  121. Warpen van toestellen door een ruimte
  122. Motoriek en lichaamsgewicht, een verband met hersenfuncties
  123. Euro en dollar waardepapieren of bonds van grote beurzen als waardepapieren voor de economie stellen, goud inleveren 27 - 11 - 2015
  124. Model isolatie: verklaren van luchtstromen, het vangen van de 3,14 phi in een composiet
  125. 14 - 11 - 2015, het voorkomen van tornado's
  126. 14 - 11 - 2015, het communiceren via luchtstromen
  127. Jammen van frequenties: de enige juiste en correcte methode 30 - 10 - 2015, 12:15 Een kwestie van optellen...
  128. Doorzichtige helm verplichten
  129. Genezing heeft te maken met kleur
  130. Hoe kun je verklaren hoe radioactiviteit ontstaat door chemische gassen te combineren
  131. Anti - gif produceren door bacterien en ziektekiemen in honing te plaatsen
  132. 7 - 7- 2015 10:50, lichaamsvoltage (body voltage) verhogen als middel tegen kanker
  133. Ik had een interessante octrooi over actieve isolatie, veel elementen erin zijn schoolvoorbeelden.
  134. Een tweede methode om waterstof te produceren
  135. Behandeling van kanker: een idee
  136. Het onstaan van magnetisme
  137. Onderzoek naar stemmen in het hoofd
----------------------------------------
Plasma is gebruikt om God te "doorboren" (Genesis)

Ik heb de Bijbel niet gelezen maar kwam wel een interessant stukje over de schepper tegen, dat is dus niet Jezus... In Genesis staat ergens dat God is doorboort... Nu wilde ik daar kort over zijn... Dit is gebeurt door toedoen van Duivels en hun metgezellen... Het gaat waarschijnlijk om de piramidevolk, zij bezitten een soort piramideachtige vliegende objecten, die kunnen wat ik nu ga beschrijven...

Het gaat erom dat een plasma in een piramide wordt gehouden... Deze piramideachtige object bezit een plasma, vervolgens wordt een Iron cross gerealiseerd via magnetische assen, zoals ik ook doe bij antigravity... Ze hebben dan een Z+ en Z- beneden. Nu door een bepaalde techniek zorgen ze ervoor dat de piramide die nu op zijn kop staat tijdens de Iron cross (58 prismas), via de Hakenkruis (70), die ze dus daarna vormen, weer rechtop gaat staan en zeer snel de andere kant op beweegt, in een Z+ Z- verticaal naar God... We hebben het hier dus over de hemel en de hel... God beschikt over een soort barriere en zijn eigen domein begint vanaf de hel, de hemel is zijn domein... Nu gaat deze object vliegen naar de hel, en doorboort het, vervolgens laat het een plasma los in de hel... Ik weet in hoeverre het object erin moet of gaat e.d. Details kan ik niet weten... Maar wat ze doen, is dus dat ze deze plasma in de hel plaatsen... Vervolgens ontstaat een temperatuur die deze plasma bezit vergelijkbaar met die van de hel... God is nu doorboort... Dit doen ze dus via hun spiritualiteit en natuurlijk de technieken die erbij horen... Doordat de hel wordt doorboort, ontstaat het effect dat in de hemel een tegenkracht gaat ontstaan, dat is de plant van vuur waarvan je niet van de vruchten mag eten... Dat is de Zakkam boom...

In feite doorboort de piramide de "Groene boom" zoals God het in de Koran noemt... De piramide dat dus de plasma aflevert, en hoe dan ook deze plasma wordt via deze piramide denk ik hooggehouden... De bedoeling is dat een connectie tussen de hel en de grond wordt behouden via een soort zender, dat het idool kan worden genoemd... Het is een soort antenne die objecten hooghoudt hoe dan ook, denk dat er wireless energy bij te pas komt... Kwestie van oscillatie en zorgen voor electron oscillation...

Deze constrcutie is dus een vertakking van de Groene Boom, deze vertakking is gecreeerd door duivels...

Plasma kan miljoenen graden worden en dat is de enige manier om een connectie met de hel te behouden... Deze volk is wel moet ik zeggen erg geavanceerd... Het zijn een soort satanisten en satans in het kwadraat... De Koran spreekt dus over Satan die door dit volk is overtuigd en hij besloot daarop uit de hemel te stappen, voor onsterfelijkheid in onze dimensie, de hemel en hel, daar ben je ook voor altijd en ben je onsterfelijk... De Satan overtuigde daarop weer Adam, maar Adam kwam tot inkeer en werd normaal geschapen, verbonden aan de Heilige Geest... De Satan echter, was niet direct verbonden aan de Heilige Geest, maar indirect, via deze constructie wat ik heb beschreven, indirect verbonden aan de Groene Boom, wat wellicht ook de Heilige Geest weerspiegelt en inhoudt... Deze indirecte constructie waarbij Pagansime en Satansime geallieerd zijn aan elkaar... Beiden draaien de kruis rond, verbinden mensen aan datgenen wat zij de Trinity noemen, en verdraaien zo onze normen en waarden, zodanig dat tunnelvisie ons te parten speelt... Wat ik bedoel te zeggen, is dat de hakenkruis compleet verkeerd is en dat het Godslastering is, iedereen die met hen meedoet zijn eveneens Ketters! Zij doen dezelfde spiritualiteit als de Satanisten, waarbij ze vaak aangeven dat ze de kruis niet omkeren, maar ze weten blijkbaar niet dat de hakenkruis een omgekeerde kruis betreft... Ze moeten, vind ik, het technisch allemaal goed onderbouwen, en kijken naar een oplossing waarbij deze idool ooit via techniek of via een oorlog kan worden vernietigd!

Zodra deze idool kapot is, zullen Satan en zijn metgezellen hun onsterfelijkheid verliezen... Dat verkrijgen ze via een achterdeur via de hel en hemel, weet u nog?
En Satanisten en Paganisten verschillen niet veel dus, in feite doen ze beiden aan dezelfde praktijk dat onder de christenen als Metselarij wordt bestempeld, maar waarom? Wat is nou de hoofdreden? Denk je echt dat je via deze technieken Jesus terugkrijgt?
Ik snap ook niet waarom je deze technieken praktiseert en de hypocritie waarmee je beweert dat je Jezus via de Davidsster gaat vinden en ook de Antichrist e.d. En je beweert dat Jezus een God is, terwijl een God zichzlef kan scheppen, en helemaal niet jullie nodig zou hebben ivm spiritualiteit en de praktijk van Metselarij... Snappie... Dus de smoesjes van de christenen en een ieder die met hen samenspant, zoals de Soefis en Alevieten die dus de Davidsster plaatsen en zo de kruis omkeren... Waar hebben we dit aan te danken?

Dit verhaal uit Genesis hebben wij moslims gemist, maar de christenen hebben het weer op hun manier in een tunnelvisie gestopt, waardoor zij de betekenis en waarde niet konden begrijpen, ook omdat ze de Koran niet lezen willen, dus alleen als je de twee boeken achterelkaar leest, kom je wellicht als je ook een beetje technische kennis bezit, tot deze conclusie...


Hoe de Metselaars ongehinderd en in het geheim, stealth, kunnen communiceren

Gaat nog een keer naar Wetenschappelijke theorien...

De K zou ook wel kunnen zijn het gebruik van een semafoor, waarbij ze een 45 graden streep trekken vanaf de semafoor naar beneden, 45 graden naar boven, vervolgens 90 graden naar links, 90 graden naar beneden en 45 graden naar boven en 90 graden naar beneden naar de eerste 45 graden alweer... Hiermee zorg je voor het bedekken van de semafoor... (Chappes antenne...)

Je hebt dus een originele signaal... Maar let op, dat dus het signaal altijd een XY is... Je hebt hier Xy en XZ nodig, dus moet je bijvoorbeeld een Square 24 of gewoon simpelweg 4 radio's gebruiken, vierkant, die met elkaar communiceren in een vierhoek... Dan heb je dus ook XZ as...

Nu moet je ervoor zorgen dat je 4x een Square 24 hebt... Of zeg maar 4 x vierhoek, kan ook denk ik... = 16 radio's + 4 radio's = 20 radio's.
Nu moet je de 16 radio versie, met elkaar kruislings koppelen met een soort koppelaar... Een simpele koppelaar volstaat al! Zeg maar je plaatst 16 oscillatoren in een cirkel en creeert 4 vierhoeken erin... Assymetrisch...

Zodra dit assymetrische geheel gekoppeld is met de 4 x 4 = 16 radio's, ontstaat een 16 + 16 situatie... = 32 oscillatoren... Deze 32 is dan belangrijk omdat het een Yz vormt, 4x... Als het ware wordt het normale signaal door de radio 1's ontvangen en wordt deze signaal doorgecirculeerd, dit 4x... Vervolgens ontstaat een raar fenomeen... Het signaal komt 90 graden vanuit een andere richting. Dus als het ware kromt het singaal met 90 graden... Waarna dit dus 4x gebeurt... Waarmee wordt gerealiseerd dat het signaal wordt terugontvangen... Door de zender... Het circuit is rond, je hebt ontvangst...

Hun geheim wapen is dus deze KAKA! De 32 in dit voorbeeld. Maar je hebt verschillende alternatieven hiervoor, voor dit voorbeeld geldt, deze is de simpelste... De Square 24 versie bijvoorbeeld is moeilijker...

Dus een signaal is stel 180 graden, je ontvangt het signaal 4x... Je circuleert het signaal ook vier keer... Het eengie wat je moet doen is dus een soort stervormige koppelaar van vierhoeken, 4x, deze te koppelen aan deze vier... Nu heb je dus het signaal gekromd met 90 graden x 4 = 360 graden...

Dom dat mensen dit niet willen, zullen, kunnen, mogen en niet trachten :-) te begrijpen...

Toevoeging:

Wat mij betreft lijkt dit principe op een soort rare Laser microfoon, of een soort magentische microfoon of iets dergelijks... Want je zendt het signaal, of de kruis, daarna draai je het en ontvang je het terug alsof het een soort echo is...







Ik ben dus tegen de kruisiging van de geest... Dit ten eerste! Heb veel negativitiet hieromheen meegemeaakt... Ik ben slachtoffer van deze fascisten, waaronder, naast de christelijke organisatie ervan, ook de Turkse regering en de Diyanet... En ook de Soefis en Alevieten... Kortom iedereen die komt met een spiritualitiet verhaal, daarvan weet ik zeker, ze zijn vals!

Zie ook op het eind in de wetenschappelijke theorien hoe de Mark of the Beast telkens wordt rondgecirculeerd en hoe ze dus continu dag op dag bouwen, Metselen, aan een soort technologie waarbij zij de mensne kruisigen in de geest en hiermee een soort systeem onderhouden... Ze denken of beweren dat ze hiermee de Antichrist zullen vinden, terwijl de oorsprong van deze techniek afstamt van voor ADAM. De Satan kreeg een dubbele leven, of mocht weer bestaan door deze techniek van necromancy (via de Zakkam boom, herinnert u zich nog beste Moslim?)

Maar het is dus een techniek die alle landen tegenwoordig als de heilige graal zien, alsof er wat te halen is, dit allemaal doen ze met zijn allen onder het mum van spiritualiteit. Ze haken met hun technologie van kruis en haken en ogen aan het systeem dat de Zakkam boom voedt, namelijk de Groene Toren. Dit moet een soort antenne zijn...

Nou weet ik dat de 2e man van Diyanet ook tijdens de ramadan zich heeft uitgesproken over deze VAVVAV... Hij, onder het mum van spiritualiteit kon niks anders dan prijzen wat hij en zijn collegas doen in hun tweede en dubbelleven... Zo ziet u, niet alleen christenen doen tegenwoordig spiritualiteit en de Iron Cross, maar ook de zogenaamde moslims, dit zijn natuurlijk geen moslims meer, doen eraan mee. En het is ze gelukt om Groot Israel erbij te betrekken, want onder leiding van Recep Tayyip E. is deze omsalg gelukt... Ze zijn officieel aan de macht, al 25 jaar, maar hun couppoging mislukte... Ik denk dat Erdogan gewoon betrokken is hierin en theatraal is...

Deze Soefis en Alevieten noemen de Nurcular Ehli Soenna, RTE ook, en ook Sedat Peker, leider van de Grijze Wolven, noemen ze ook Ehli Soenna, wat aangeeft dat zij organiseren voor een soort machtstrijd binnen de Turkse wereld.

Hun imams zijn allen, GEEN Turken, het zijn Arabieren en Joden... Vooral de Nurcular zijn allemaal Joden... Niet dat ik rascistisch wil overkomen, maar zelf zijn ze wel zo! Ze willen te veel... Ze noemn de Turken Yecuc en mecuc en zelf zijn zij de hoogste ras, die van Ibrahim en dat zou in de Koran moeten staan, zo manipuleren zij de moslims... En weinigen lezen de Koran, want het is makkelijk te ontdekken dat alle mensen gelijkwaardig zijn... En dat de Turken geen duivelse volk zijn... Want het verhaal over gog Magog wordt in een andere context gestoken...

Zie hier 58 en 60 prisma's. De 60 wordt gevormd na plaatsing van de Davidsster en de kruis draait dus vanzelf na plaatsing van de Davidsster... #duzenek
Zodra de 72 wordt geplaatst, ontstaat er eeng eheel waardoor 58 + 2 ontstaat en ook 72 - 2 = 70. En dat dus ook tegelijk de hakenkruis in de lucht wordt gevormd... Zo hebben de domme mensen nooit door dat zij meedoen met het fascisme... Zie ook heel opvallend hoe het "Hartenoog" wordt gevormd!





Religieuze stellingen:
  • De Bijbel en de Thora behoren tot de Islam, volgens de Koran moeten we deze gemuteerde boeken lezen en in ons hoofd corrigeren, wellicht is het ook tijd om de boeken te ontcijferen volgens de Koran. De Koran is het laatste hoofdstuk van een reeks boeken.
  • De Trinity/Drie Eenheid wordt door Christenen als God gezien, maar dit is absurd en valt onder de Islam onder Godslastering. De Trinity en de praktijk eromheen zeker vallen onder de duivelse orde. Vooral de wijze waarmee zij denken te kunnen sturen wie in de hemel en hel komt, is bewijs dat deze Metselarij praktijk Godslastering is.
  • Dat de Profeet Jezus/Isa meegenomen is door twee mannen staat in Genesis, waarom denken jullie dan in een fabeltje dat Jezus eerst is vermoord en dat hij daarna tot leven kwam… Oh zo dom… En biologisch niet verklaarbaar.
  • Dat ze waarschijnlijk beseffen wat de oorsprong is van spiritualiteit maar dat ze volhardend volhouden dat dit van God is. Terwijl de Duivelse orde erachter zit. Satanisten en de Kerk doen precies dezelfde rituele praktijk uitvoeren en dat vinden ze normaal. De een zou dan in Satan geloven en de ander in de Bijbel. Hun flut argumenten!
  • In de Koran wordt gesproken over een plant van vuur in de hemel, waar je dus niet van de vruchten mag eten. Dat plant wordt automatisch gecreëerd nadat zij God doorboren met een soort voorwerp. Ik weet niet hoe en wat. Volgens mij iets met tijd, dat ze dit stilzetten e.d. God bezit tijd, en stilzetten is ook Godslastering, denk ik. In Genesis volgens mij staat dat de Duivelse orde God heeft doorboort. Ik neem aan dat dit duivels zijn. Daar bent u het vast over eens met mij. Ze doorboren de hel, en de tegenkracht is de plant van vuur. Ook in de openbaring Yasin, als het goed is, staat dat de christenen ook in de hemel Zakkam bomen creëren. Nu gaat het mij om deze samenwerking met de Duivelse orde… Het gaat opnieuw om spiritualiteit… Door het kruis om te keren m.b.v. de Davidsster, slagen ze erin God te bereiken en de hel te doorboren, nadat het kruis in de lucht verdwijnt… De hel doorboren = counterforce: plant van vuur (Zakkam boom) in de hemel.
  • Christenen zijn fout doordat zij de Bijbel en de Thora hebben gemuteerd (en dit ontkennen) en de Koran niet accepteren als leidraad voor de gemuteerde boeken. Ook omdat zij geloof/religie combineren met Paganistische praktijken die worden samengevat met spiritualiteit.
  • Christenen zijn alle gemeenschappen die doen aan kruisiging van de Geest en daarbij het kruis, en vormen van het kruis gebruiken… Zoals de Egyptische, Romeinse en Byzantijnse kruis e.d. Ook die zogenaamde Islamitische gemeenschappen zoals de Soefis en alevieten zijn eigenlijk een soort christenen, zij zeggen dus dat zij de Davidsster doen en daarmee moet iedereen beseffen dat dit samenzweerders zijn met hen. De Muşrik’un heet dit, mensen die doen aan spiritualiteit en Godslastering plegen. Ook Buddhisten en Hindoes e.d. die doen aan dezelfde soort spiritualiteit hebben eigenlijk dezelfde insteek als het Christendom. Zij verschillen niet veel, alleen zijn de normen en waarden wel minder ontwikkeld.
  • De normen en waarden van Christenen en de Islam, qua gedragsnormen, waren ongeveer dezelfde. Maar in deze moderne tijd, is de Kerk ook daarin afgeweken met een soort Homo normen en waarden. Dus dat LHBTI erin is verwerkt. Dat had nooit gemoeten…
  • Fascistische en Zionistische mensen als eenlingen bestaan, maar vooral zijn het de organisaties die terroristen zijn. Deze Zionistische en Fascistische organisaties terroriseren de samenleving, dus je buurt, en personen, die us niet onder hen vallen. Daarnaast heb je SPIRITUELE Fascisme... Hun terrorisme is erop gericht de samenleving in de greep te houden door vooral in te spelen op de domheid van bepaalde soort jongeren. Zo doet bijv. de Turkse maffia onder leiding van SADDAT en Mocro maffia dit... Deze twee zijn nauw verbonden met (mikrop) Necati en de Hells Angels. De Mocro maffia en de Turkse maffia zijn dan weer verbonden met de Gulenistenbeweging en de Soefis en Alevieten. De Alevieten zijn weer verbonden met de PKK en PYD. Zo ziet u, de verstrengeling gaat ver en deze organisaties kenmerken zich door hun afgoderij in de vorm van spiritualiteit en hun disrespect en minactelijke normen en waarden... Deze organsiaties die hier zijn genoemd zijn allen conspirateurs, ketters en behoren tot de METSELARIJ. De methodes die zij gebruiken om hun tegenstanders te verlammen...
  1. Manipulaties en leugens.
  2. Spiritueel benaderen en drijven tot waanzin.
  3. Gebruik maken van zwaktes van de samenleving.
  4. Samenspannen en gebruik maken van de recht van de sterkste, "Dalalet", dat je iemand in een andelige positie zet door misbruik te maken van amchtspositie en de fitnas eromheen... Allianties...
  5. Ondermijnen van de samenleving.
  6. Geweld. Van moord tot lastercampagnes > vooral in Nederland kan dit.
  7. Isoleren door iemand in een zwakke positie te zetten...
  8. En meer...
  • De Antichristenen zullen komen met technologie wordt beweerd door ieder. Een soort superman die alles en nog wat aankan... Deze komt met ALCHEMIE en NECROMANCY. Dus niet met gewonen technieken... Let hierop, want er zijn veel manipulatoren... En van de bitches die voor hun grapjes vallen... Die lachemie en necromancy technieken zijn niet zo ver van huis blijkens, want het gaat deze volk om Spiritualiteit, waarmnee zij trachten een soort gebeuren te laten ontstaan. Ze willen zogenaamd Jezus tot leven wekken, en daaro moeten miljarden mensen sterven, want deze zijn de kafirs... En zij zijn de mumins... Dus de slechten en de goeden. De slechten moeten in een keer dood en dan komt Jezus terug volgens hen... Dat betekent dus dat er aan de Sura wordt gebalzen, een instrument waaraan de zielen zijn gekoppeld, volgens mij is dat dus naast de Heilige Geest, zulk een instrument... De spiritualiteit is die vna de kruis en de Davidsster en dat noemen ze dus spiritualitiet maar de meesten beseffen niet dat onze zielen worden gekoppeld met deze MArk of The Beast en dat daarna wij kunnen worden omgelegd...
  • Dat de Christenen een mens als God zien, terwijl het een belangrijke profeet is, zal hem natuurlijk geen God maken... God is de Father en Father is de God. Dat ze daarna geloven dat ze de wereld in een Judgement Day idee gaan stoppen, door aan de knopen te blazen van de magie, door davidssterren te koppelen aan mensen, via kruisiging overigens... Dat is allemaal niet legaal en is Godslastering, iedereen die met hen meedoet doet aan ketterij... Je moet achter Jezus staan, dus Godslastering verbeiden, de heilige geest mag je niet kraken via magische technieken, waarbij de geest wordt gekoppeld aan apparatuur... Denk aan de duivelse sterrenbeelden "Mumin" en "kafir" die dan worden geprent op de geesten van de mensen... Uiteindelijk komt voor de Antichrist een moment dat hij het gaat proberen, dan blaast hij in een soort Quantum supremacy instrument idee zijn frequenties, waanra veel emsne in een keer zullen sterven, de Soefis beweren dat alle "kafirs" in een keer zullen sterven, reken maar uit!
Sociaal maatschappelijk
  • Mocro maffia zijn een organisatie die doen niet alleen aan "normal" drugshandel... Ze betrkken hele families erbij en manipuleren het Marokkaanse volk. Zij doen ook alsof ze moslim zijn. Daarbij vergeten de imams dat zij een tak hebben die openlijk HOMO's en HOEREN verkoopt en dus zijn dat pooiers... Maar let op dat ze dus ook zelf homo's zijn. Ik besef dat er ook hadjis bij lopen die alleen handel doen, maar die zijn dus ook kafirs... De Mocro maffia staat lager dan de Hells angels van (mikrop) Necati en ook lager dan de Grijze wolven van SADDAT Peker. Sedat is Ehli Soenna verklaard door de Soefis en Alevieten en daarmee hebben de Soefis openlijk toegegeven dat zij al zijn daden steunen. Ook begrijpende dat deze Sedat goede vrienden is met deze Mocro maffia en Hells Angels... De Alevieten daarentegen zijn verwikkeld in de PKK/PYD en hebben openlijk banden met de Amerikanen via de KKK... U weet, KKK zijn fascisten en die trainen samen in Syrie. Wat brengt dit op sociaal vlak... Zij spannen samen, het zijn allen terroristische organisaties en zij spannen ook samen tegen bepaalde mensen zoals ik. Mij willen ze voordoen als HOMO, maar dat mogen ze op hun buik schrijven. Ik haat hen. Maar ook anders, zoals demoniseren met zijn allen, doen alsof iemand niks waard is en er niet bij hoort door iemand sociaal te isoleren terwijl zij schuldig zijn in dit gebeuren. Dus door onschuld aant e praten, proberen zij mensen te manipuleren dat anderen schuldig zijn. Zo kan het dat iemand door hen wordt vermoord, maar dan noemen ze hem of haar hoer ofzo, alsof het daaraan ligt. Terwijl ze verkrachters als vrienden hebben... 
  • Nederlanders zijn een soort naieve mensen, die vallen voor deze honden, ook al weet ik dat zij heel doordringend kunnen zijn. Sommigen hebben zelfs hoge functies bij overheden of elders bij bedrijven. Ze denken dat deze gasten "normaal" zijn. Dan gaat het dus specifiek om de Zionisten en Fascisten die dus niet normaal zijn, het zijn samenspanners. Vaak gelooft het volk in hun praatjes, hun idealen, hun criminele daden die verbergen ze voor de Politie en voor de mensen. Ook vaak merk ik dat de Politie ook laks is en niks kan dooen voor je als je te maken hebt met opruiing en smaad en laster omdat ze dat moeilijk vinden. Ik denk dat de Politie sommige mensen gewoon laat stikken/vallen. Ze discrimineren en zijn daarom niet genoeg integer. De Politie discrimineert op achtergrond en ook op grond van een bepaald ziektebeeld kun je worden gediscrimineerd, maar let op, Sommigen laten ze express vallen...
  • En herinner dat ik zei dat Fscistische en Zionistische organsiaties in elke land zijn georganiseerd in 1) RELIGIEUS varband 2) POLITIEK verband 3) CRIMINEEL verband... Zo zullen of willen zij de overheden omzeep helpen... En uiteindelijk de wereld regeren in een Nieuwe Wereldorde.

Hoe Spiritualiteit de wereld heeft verminkt, wat en wie dit doen?

Het gaat mij om 2 manieren waarop spiritualiteit wordt uitgeoefend, en beide methodes herken ik, want die worden ook bij mij toegepast... Het zijn Metselaren die beide methodes toepassen, waarschijnlijk Nederlandse en Britse metselarij. Maar ook de Alevieten tezamen met de Soefi tekenen herken ik. Ook de Buddhistische en Hindoestaanse Ohm herken ik.

Dit zijn dus de tekenen van Satanisten in de mum van religieuze mensen...

Ook In Turkije is dit aan de gang, Diyanet is openlijk "spiritueel" en doet de Daviddsster icm de kruis die er dus oranje uitziet op het plaatje. Daarin doen ze niet onder aan de Alevieten en Soefis. Uitendelijk verwerven ze een Z- die dus naar de hel gaat en daaraan haakt. Vervolgens ontstaat er een Zakkam boom in de hemel. Ook in de Koran staat dat christenen alsmaar een Zakkam boom planten. De valse Islamieten (geen echte moslims) hebben ervan gemaakt: dat zou de Zakkam plant op aarde zijn, dus even opzoeken op Google geeft: Nerium Oleander. Dit zou dan de Zakkam uit de Koran moeten zijn volgens deze kutkinderen en oplichters...

 Waarachter alle Joden zich zouden schuilen, volgens d evalse Hadith, tijdens het einde van de wereld... De Hadith ontkent de Koran op de Grondvesten van de Islam... Stom, want dat is een tunnelvisie en de stomste verklaring waarin blijkbaar de stomste mensen voor vallen... Waarom denken jullie dat ze spiritualiteit doen, met zijn allen, heel de wereld, het zijn ongelovigen die geloven dat mensen bezetenen zijn en ze willen zogenaamd Azrael uitbannen uit de geesten van mensen, waarbij zij via "kafir" en "mumin" tekens via spiritualiteit verkregen denken de Antichrist te kunnen vinden. Ze denken dat bepaalde mensen de Mark of the Beast dragen en dat ze mensen kunnen "Genezen" door hen spiritueel met een kruis of een soort kruis zoals de Soefis en Alevieten en Diyanet dit doen, te bereiken. Stel je hebt een pure geest gekoppeld aan de Heilige Geest, en dat hebben sommige mensen, dan zullen zij trachten ook jou erbij te lappen door je via een techniek te benaderen, dus als zij denken dat jij een "gevallen engel" of bezeten bent met iets, dan zullen ze je benaderen en dan gaan ze heel vervelend tegen je doen. Met stemmen in je hoofd e.d. want ze zullen het tegen je misbruiken... En dit gebeurt bij sommige mensen... Ze horen stemmen. Ens ommigen worden voor gek verklaard. Anderen hebben meer geluk.

Het gaat erom dat ze zeggen dat wanneer zij iemand benaderen, dat deze bezeten is, en dan kijken die honden van Diyanet bijvoorbeeld of iemand een "kafir" of een "mumin" is, oftewel is je chakra open of niet... Dat is hetzelfde en dit doen de joden ook. Zie ook Wikipedia voor uitleg... Als je dit zou bestuderen zou je opmerken dat Soefis en Alevieten de Joden nabootsen.

Het gaat er dus om dat zij mensen gewoon kruisigen en dus de Heilige Geest schaden... Dit doen zowel organisaties die zich als moslim voordoen als alle andere culturen en religien bijelkaar. Denk ook zeker aanhet vaticaan die dit leidt. Hoe weet ikd at de Diyanet dit ook doet, aan de hand van verkalringen van hun leiders... Ze doen de VAVVAV. Dat is dus de Iron Cross. Daarna plaatst de duivel of de fascisten ik weet niet wie, daar 14 prisma's of piramides op, vervolgens ontstaat de Hakenkruis en wordt God Gepearced: Genesis/Bijbel. God wordt dus gepierced via Z-... Een soort antigravity technologie die aan het lichaam wordt gekoppeld, de kruis stijgt naar de hel en steekt in de hel en vervolgens ontstaat een Zakkam boom in de hemel als tegenkracht.

Erdogan is dus de Grootste soefi allertijden en de grootste Farao uit deze tijd... In mijn optiek...

Linsk op de afbeelding, wat de christenen doen... En rechts wat de Joden doen, maar dit weet ik niet zeker... Maar ze verkrijgen een soort kruis die er anders uitziet... Dus wie weet, begrijpt iemand het wel... Bij hen is het wel zo dat ze de VAVVav verkrijgen meoten, dus wellicht doen ze ook stap 1 tot en met 3 zonder dat te beweren... Want de derde stap is VAVVAV... Altijd. Zie ook wetenschappelijke theorien helemaal onderaan. Zie de legenda van spiritualitiet hoe ze dat doen.

De Arabische H staat symbool voor Z-. Piercen van God gebeurt dus via deze techniek. En zie de Dollar voor de techniek waarmee zij nde warmte van de hel doorboren, de zwarte PIRAMIDES... Ze gebruiken een soort piramide achtige objecten om de hel te doorboren... Van wie deze objecten zijn en waar ze vandaan komen, weet ik niet!

WAT IK DENK, IS dat de Christenen en andere religieen de kruis ozpetten en dat de Jodenster het vervolg erop is... Anders kan het niet als het goed is. De kruis moet bestaan... Ze doen wel VAVVAV maar dat is een ander opzicht van de piramide... Die bezit drie of vier kanten.

Waarschijnlijk sluit de VAVVAV het systeem met de IRON CROSS, zodat een elektrisch of magnetisch circuit ontstaat, en dat noemen ze dus SPIRITUALITEIT. Dus de VAVVAV van nummer 12 sluit het systeem en dan heb je een stroomkring en is deze mens eigenlijk nu wel een soort bezeten... Door de mens zelf...

Iedereen die meedoet aan wat in Genesis wordt uitgelegd, al dan niet via deze praktijk of is met hen, moedigt hen aan, is ook niet goed natuurlijk... Zal de hel zeker beleven... Dat verstaan jullie zeker. Dit is klaretaal uit de Koran.




Zie 22. En zie de plaatje hierna



Nummer 22, de acht hakenkruis... 21 is de 60 = 5 ster en daarop de Davidsster = 72, daarna volgt deze symbool wat de acht hakenkruis symboliseert.
De Soefis gooien het op Turkse symbolen, maar toen waren de Turken allen KAFIRS!




Planten met elkaar te kruisen/verbinden om tegen virussen te immuniseren...?

Bepaalde virussen zijn effectief tegen bepaalde soort planten/gewassen, door bijvoorbeeld een boom te kruisen met een plant dat immuun is voor een bepaalde virus, kun je wellicht zulk een boom genezen...?
Denk bijvoorbeeld aan een tulpenplant, dat wellicht via de wortelen de andere plant positief beinvloed?
Maar je kunt ook twee verschillende planten aan elkaar koppelen...

Hoe de mensheid van virussen moet worden beschermd, wellicht zijn bepaalde dieren zoals honingbijen immuun tegen bepaalde ziektes, en kunnen we antigenen produceren door ze eigenlijk goed te onderhouden met mineralen en suiker en alles... En te voorizen van deze ziektekiemen waar ze immuun voor zijn... Dan krijgen we direct een antigen? Vooral effectief tegen bacterien denk ik...

Extra: Over kanker, een idee van vroeger:

Je moet voorkomen dat kanker zich uitbreidt en dat moet ten eerste door de eigen lichaamscellen te versterken. De ziekte is parasitair, dus het heeft een verbinding, een receptor naar de zenuwen. Hij doet alsof het een lichaamseigen cel is. Zo neemt het een cel over en verbergt hij deze, hij zorgt ervoor dat de verbinding tussen lichaamscellen en de zenuwstelsel wegvallen, de cel gaat niet dood op een rare manier, maar wordt door de parasiet verborgen. Vervolgens maakt het lichaam deze cel weer aan. Als nu deze cel weer verborgen wordt, maakt het lichaam deze opnieuw aan. Dit gebeurt oneindig en dan wordt je door onze wetenschappers bestraald omdat je een tumor hebt. In feite heb je gewoon gezonde cellen die inderdaad teveel zijn geproduceerd, en je krijgt paralyse en uitval op de plekken die verstopt raken.

Vraag mij wel af of wordt gekeken naar de receptoren en de ion channel van deze kwaadaardige cellen... Denk bijvoorbeeld aan het kaliumcalcium kanaal die dus door ammonia wordt geinfiltreerd... En waarschijnlijk ammoniazouten worden geproduceerd die dus een andere vorm van inhibitors gebruiken... Is dit ook zo voor kankercellen?


Hoe de plant van vuur, zeg maar de plant waarvan je niet van de vruchten mag eten, in de hemel is ontstaan... 5/07/2025, 12:30

De verklaring is te zoeken in een soort 72 prisma spiegelkamer, waarmee de hakenrkuis wordt gevormd, en daarna wordt omgedraaid via de Davidsster... Door dus + en - te schakelen zoals bij een antenne of door een ander systeem met oscillatie en electromagneten die schakelen en oscilleren...

Je moet je voorstellen dat de wereld en het universum zijn opgebouwd uit een Noord en een Zuidpool, oftewel een links en een rechts... Ook wij mensen bezitten een linker en een rechterdeel in ons lichaam, waartussen energie zijn weg vindt via de hersenen...
Maar fysiek en dus lichamelijk begrijp ik het nog niet zo...

Maar wel hoe het technisch in elkaar steekt... Eerst wordt de kruis opgesteld door 3 prisma's te plaatsen, vervolgens nog eens 3 waarna de Z ontstaat, daarna 4 prisma's die dit systeem circuleren...

Hierna wordt de byzantijnse kruis opgebouwd met 20 stuks extra... Daarna 28 erbij, waarna de Iron cross ontstaat... Tot hier was de kruis op links... Nu zetten ze de Davidsster op en op een moeilijke manier door ook nog eens 14 prisma's extra te koppelen... Waarna dus 14 boven komt... In eerste instantie... Nu gaan 2 prisma's naar links koppelen, wat links 60 maakt end e pagan en de vijfster worden gevormd... De davidsster blijft 72 en de hakenrkuis wordt gevormd met 70... Nu staat heel het systeem op rechts, de hakenkruis eenmaal opgezet staat op rechts... En het gaat reizen... Letterlijk... Denk ook aan de Rising Sun e.d.

Dus de hakenkruis is omgekeerd (rechts) en zweeft naar boven... Zweeftechniek in principe... Maar zij hebben dit eerst gekoppeld aan een mens of een wezen... Uiteindelijk gaat de hakenkruis in een soort "niets" op en blijft het hangen aan de hel... Dit is dus een plant van vuur waaraan dus geesten zijn gekoppeld... Nu is de tegenreactie daarop dat een plant van vuur zich in de hemel manifesteert, waarvan je niet van de vruchten mag eten... Force = counterforce... Vuur op vuur = plant van vuur...

Zie de 4 x A, zie ook de vormverschillen... De bovenste is eigenlijk geen echte A, die is leeg, heeft geen korte streepje...
----------
YouTube 1

If you are Christian I would recommend you to read the English translation of the Quran from Yusuf Ali for example, just these verses which write about The Bible and the Thorah, mentioned below.

Because In fact the "Muslims" do not interpret the Quran as is. The majority (The Sufis, Sia and Alevis) do not read the Bible and the Thorah, while the Quran prescribes that we have to read these books, first reading the Quran then using the Quran as guideline for the mutated versions of the Bible and the Thorah. Some revelations of these older books are hidden for public, some are mutated by changing some word phrases. This is information from the Quran. Think about the Trinity and fallen angels and that Jezus is a God, all topics of importance and severe manipulation has happened already in these cases!

So, for example The Quran prescribes in Ali Imran 3-4 that God knows better and that God wants the real muslims to read the other books, and this means that we as Islamists "OWN" these books. These belong to each other, the books are a sequel and the Quran is the guideline of the Bible and Thorah, the Bible is the guideline of the Thorah. The Thorah was the guideline again of an older book... It is written here that it is God's plan that the islamists/muslims take care of the other books and read these as is with the Quran as guideline. God's plan is, I think, about harmony among the people of the Books, the people of the real Faith, the people who are called muslims, and their counterparts the christians, who are polytheists and practice Masonry as if it is normal! And believe in the Trinity as if it their God! The practice which features Satanizm and in which they agree with other false religions like Budhizm and Hinduizm etc...

The people who are revealed the Books are actually brothers! But Christians are not our brothers... A bit odd to describe, but it is as is... Stop the falsehood, stop real fanatics like KKK and Illuminati etc... Stop them before they take over the world and start killing, like Hitler did, like Stalin, like others...

Look to the streets, we know they are among us, the Masons, they are superbly organized as maffia, in religion and in politics... As Siyonists and as Fascists... As Sufis and as Alevits in the Islamic world... What do they all have in common? The practice with the Star of David, people!

(Bakara 4, 41, 75, 89, 285) (Ali imran 3-4, 50, 199, 112-117) (Nisa 46- 47, 136, 162-163) (Maide 13, 41, 46-48, 66, 68) (En am 91-92) (Yunus 37) (Hud 17) (Yusuf 111) (Suara 196) (Kasas 52-54) (Sebe 31, 43) (Fatir 31) (Zuhruf 71) (Casiye 35) (Ahkaf 12, 30) (Hadid 19, 22) (Saf 6) (Cuma 5)
for example...
----------
YouTube 2

Look christians have a real bad history... From Hitler to Stalin to different topics... Their anti islam attitude is exemplary too...
A real Islamist is not an antisemitist or sth. Sufis and Alevis are antisemitist, but you have to learn why and that they are no real Islamists. Sufis will kill all Jews if they get the chance, like Deas etc, they are like you! We are no fascists or rascists, they are and... Christians have many fascists and rascists and they are organised in Masonry organizations doing the practice of Paganism etc... Trying to prevent "falling angels".

Islam is actually the only religion, by sticking truly to the Quran, which is encouraging the brothership of the people of the Books... The Quran, Thorah and Bible must be read by Islamists, but many imams let people believe that they must not. So, The Quran says: read the Bible and the Thorah and the people of the Books are your brothers if they accept the Quran as GUIDELINE of the Bible and the Thorah. But imams of the Sufis and others prevent this from happening... They encourage not to do. So, they spread hostility among the people of the Books and diversion! They use counter arguments which deny the Quran!

Theoretically:

The christians are enemies, from the time being of Adam... The people who stick on the books are not! The Quran says in Bakara that christianity exists from the time being of the existence of Adam and Eve and Abraham etc... The CROSS is the reason why SATAN could escape the heaven and become immortal in life... As long as the Idol gives signals... He will live forth... The Idol is connected to the Holy Ghost and it is called the TRINITY, which has been added to the Bible, later after they decided to mutate the Bible too, like the Thorah...
Because people do not understand what the CROSS does... The plant of fire in the heaven, which has routs to the hell, from which Adam had not to eat from the fruits... This plant of fire, a plant in heaven exists because of the Idol, the Trinity, and the Cross, Svastika, connected to the hell... So, see the Svastika as the force connected to hell, and the counterforce is the plant of fire in heaven... I expect you will not understand this at first sight... So, the CROSS had existed all before Adam lived... Then SATAN could escape and the followers of the CROSS are christians who actually practice Paganism... So, the word christians is written in Quran as like Abraham was muslim and christians where the followers of polytheism and the did the practice of Paganism... Who actually followed SATAN and the other devils and helped to prevent the signal to the Holy Ghost fell...





Toevoeging:
10/08/2025, 22:45

Sirat:

Dat ontstaat door links en rechts, net als links en rechts van het lichaam, bezit ook onze dimensie een links en een rechts, dus dan creeren ze een Z+ en Z- aan de rechter en linkerzijde van deze dimensie of lichaam of waar ze dit dan ook toepassen...
Ze creeren dus een Z+ en Z-... Daarna plaatsen ze de linkerzijde Z- aan de rechterzijde Z- en dan verkijgen ze een soort tunnel en cirkel, er ontstaat ook een soort energie dat dus de Sirat moet zijn... Ik denk dat dit de Sirat is... De techniek ervan... Zie afbeelding:





Hoe de "magische techniek" Z werkt... 4/07/2025, 18:15

Om dit te kunnen verklaren, moeten we eerst begrijpen dat dit een techniek is dat al jarenlang wordt misbruikt...
Om te begrijpen hoe deze techniek werkt... Moeten we al uitgaan van symboliek, zoals de Sovjet Hammer en ook vanuit techniek geredeneerd, namelijk backscatter X-ray technologie...

Om een mens te verbinden aan het "magische systeem", moeten ze volgens mij iemand met een signaal beamen of een geluid zenden, daarna een beam splitter erop nahouden als het een lichtstraal is... Maar meestal gebruiken ze volgens mij geluid... Je hoort zware geluiden...

Zodra het signaal is verzonden en in je hoofd geluiden produceert... Daarna backscatteren ze dit signaal/geluid. Dus stel er wordt iets waargenomen, deze geluid of straal wordt vervoglens opgetild en in de tegengestelde richting getild... Dit is een Y as... Dus een XY signaal wordt een Y signaal zodra het backscattert... Beneden XY, boven Y... Nu moet dit signaal (Y) worden ontvangen door een ontvanger... Dan ontstaat een YZ as. Ook ontstaat een klein verschilletje, namelijk de Casimir = Z.

Dus de Z = Casimir is door ontvangst ontstaan en gevangen, want deze energie = Casimir is nu gevangen... Zolang de XY wordt hooggehouden, blijft de Casimir bestaan...! Dus dan blijft de Yz in stand...

Wat doet nu de Casimir en hoe gebruikt de duivel dit in zijn voordeel... De duivel zag blijkens in dat dit een energiebron kon zijn die onuitputtelijk kon zijn, maar dan nog is de techniek niet duivels... Duivels wordt het zodra mensen ertussen worden gestopt en hun geest wordt verbonden en dat daarna deze Casimir aan elkaar worden verbonden en dat daarna de duivel een soort forece = counterforce systeem creeert, waarbij dus counterforce = 1 = 1 mens is. Dus stel 1 mens is verwikkeld in zulk een radio (backscatter) 1 force = 1 counterforce... Stel dat nu de duivel 1000 mensen verbindt en deze verbindingen op elkaar aansluit... Dan heb je 1000 force voor 1 duivel = 1000 mensen die de counterforce zijn... Ziet u hoe de duviel zulk een goed etechniek in zijn voordeel kan gebruiken... Je denkt wellicht dat het een duivelste techniek is, maar het hangt dus totaal af van hoe je dit gebruikt of misbruikt!

Kristallen...

Door stel tussen de mens en de radio ook nog een kristal te plaatsen, net als bij alchemie en bekend van spellen en science fiction... Wellicht dat dan de boosdoener een soort energie kan vangen en dan op deze prisma of kristal allerlei gekke dingen mee gaat doen... Normaliter zou deze techniek, dus zonder dat de geest wordt gekruisigd, een goede energiebron kunnen zijn... Stel bijvoorbeeld dat ik een frequentie uitzendt, XY, ik laat het door een kristal of een soort halfgeleider zoals afgebeeld heen gaan... Stel ik ontvang dit Y signaal mbv een ontvanger, verkrijg je YZ... En het kristal of de halfgeleider zit ertussen... Nu kan het dat ik dan radioactieve gebied heb gecreeerd... Wat dus als energiebron kan dienen... Dat levert naar waarschijnlijkheid ionic wind op en deze kan omgezet worden in energie via een spoel, ionic wind draait dan in een spoel en levert stroom...

Zodra het Casimir is opgelsoten, is het de vraag of dus dan niet een vicieuze cirkel ontstaat, een soort radioactieve element, dat zichzelf voedt... Je haalt dus letterlijk deze halfgeleider uit het systeem en het zou dan nog steeds moeten werken...

De stand van de ontvanger...

De ontvanger voor een Y signaal is een beetje vreemd, want het is geen XZ. Je moet echt een elliptisch signaal, verkregen met de draai tijdens backscatter, gaan ontvangen... Dus de ontvanger moet laten we zeggen 90 graden, als we ervan uitgaan dat het verschil tussen X en Y = 90 graden, naar de andere zijde wijzen, oftewel, de onvanger moet een Y of YZ signaal zijn...

Toevoeging: Voorbeeld: stel ik heb een DELTA wave... Dat is XY... Als ik het ontvang vanuit een YZ... En dat doen deze jongens, ze sturen met XY en ontvangen met YZ... Dan verkrijg ik blokjes... Dus een soort pixels... Waar ook dia's en foto's en afbeeldingen, kortom DATA wordt verzonden... Net als bij internet... En Chinezen en Ameriaknen kunnen dit beiden via satelieten, Zoals starlink, maar je hebt ook een Chinese starlink... Ik weet niet of zij natuurlijk mensen koppelen via de Davidsster en vervolgens psychotisch maken, je zou haast snel die conclusie trekken, maar Amerikanen hebben ook veel psychotische mensen... Chinezen weet ik niet! Wie weet kan ook Rusland en China en andere landen dit gewoon ook...!

Dus XY zenden met een Delta, en zodra het 90 graden verspringt, heb je twee delta's eentje beneden en eentje boven, waardoor iemand pixels ziet... Mits het dus verbonden is via een computer-brain interface, al dan niet menselijk of alien!

Stel dus dat je Delta wave een hoek bezit van 45 graden, dan heb je dus 45 + 45 = 90... Stel dat de buiging niet 90 graden blokje/pixel is per XYZZ-, dan heb je wellicht een 36 graden, 36 + 36 = 72 graden blokje/pixel... Bij een zesster heb je dus 30 graden, dus 30 + 30 = 60 graden, x 6 = 360 graden dus...

Hoe verkrijgen we een YZ antenne...

Wat ik heb begrepen, si dat je daarvoor een Zender/ontvanger moet hebben, en deze in een assymetrisch veld moet koppelen aan nog een assymetrisch tweede veld... Dan heb je dus XY en XZ = electromagnetisch assymetrisch veld, stel dat is SQUARE, zie boek Best Inventions 10... En stel dat de tweede ook een SQUARE is... Als nu XY en XZ op XY en XZ worden gekoppeld, ontstaat een derde veld = YZ voor alle radio's. Dus dan zouden alle radio's een yz moeten verkrijgen, naast de XY en XZ... Dus dan zou je deze eruit kunnen filteren? we gebruiken de eerste radio als zender en ontvanger met grotere antenne, de andere zijn voor quantum entanglement om dus een hogere magnetisch as te bereiken...

Toevoeging: Stel ik heb dus een Quantum entanglement module van best inventions 10, radar, zie dus radar... Stel je gebruikt een Quantum entanglement methode om een signaal op te pikken... Het signaal, stel dit is 388,5 of 400hz wordt ontvangen en quantum gecirculeerd, in een YZ constructie... Nu ontvangt de zender ook een YZ as... Omdat het entangled is... Dit is ook een soort hardware hack methode overigens...
Nu zendt de zender een XY signaal, stel dit is Delta, en de ontvanger ontvangt deze Delta... Maar ondertussen zit er ook een YZ op, dus het is een blokje geworden... Nu is de vraag hoe je deze blokje oppikt, of dit gewoon niet vanzelf gebeurt?

Want dit derde en hogere as, kun je voorzien van video of audio en deze DATA overbrengen naar deze zender/ontvangers... Zonder dat iemand erachter zou kunnen komen... Dus terwijl de Delta wordt uitgewisseld wordt een schaduwdelta gecreeerd door de entanglement methode, waardoor de halve pixel een hele wordt...

Hoe dit uit te leggen in "magisch" verband? Je stuurt de kruis, de mens ontvangt het en de K ontvangt het signaal van de kruis, nu entangled deze frequentie zich tot YZ... Daarna draait de K vanzelf in een andere richting, waardoor het onbereikbaar wordt voor anderen, behalve natuurlijk voor een omgekeerde kruis, want die is dan 90 of 72 of 60 graden gekanteld, waardoor dus het signaal terug in de K gaat... Hij valt er precies in, doordat de hoek verandert... Anderen kunnen dit singaal niet meer bereiken... Dan verkrijg je op een gekke manier een vierkantje, een soort pixel waarmee ook weer dataoverdracht kan worden geregeld.

De KKK methode

Ik verwacht dat zij het signaal zo hooghouden:

Signaal 0 = -XY, +XY
 Signaal 1 = +YZ, -YZ
 Signaal 2 = -YZ, +YZ
 Signaal 3 = +YZ, -YZ

Dus 3x Yz doen ipv vier keer... In dit geval! Dan heb je een verkantje voor bijvoorbeeld DATA overdracht van pixels of dia's ivm video...
 
Toevoeging:
Dus 4 ster = KKK = 45 graden (DRAAIT DE KRUIS IN STAPPEN VAN 4)
Dus 5 ster = KKKK = 36 graden (DRAAIT DE KRUIS IN STAPPEN VAN 5)
Dus 6 ster = KKKKK = 30 graden (DRAAIT DE KRUIS IN STAPPEN VAN 6)

dE KRUIS DRAAIT MITS IN HET SYSTEEM IEMAND IS TOEGEVOEGD, DUS ALS IEMAND IS GEKRUISIGD EN MEN PAST DIT TOE, DAN DRAAIT HET MET 45, 36 OF 30...

Bij een oneven aantal YZ = K... Dus bijvoorbeeld 3 Delta of vijfster, bij een vijfster moet je gebruik maken van KKKK, alleen dan kom je raar uit met + - + - +, zoals u ziet kan ik niet verder omdat de + op + komt en andersom - op -... Daarom moet de Xy zender 2 signalen herbergen, wil het kunnen communiceren met 4 x K... Dus het signaal afkomstig van XY bezit 2 signalen in elkaar (ruis dus). En bezit twee antennes, waarbij de ene + en de andere minus is afgestemd met dezelfde frequentie... Dat ze lkekaar dus ook ontvangen... Volgens mij is dit de oplossing voor de vijfster... Dan heb je dus + - + - + - en andersom... En zo blijft het signaal lopen...

Toevoeging:
Ook een backscatter radio met ontvanger is ontvangst = YZ...

Toevoeging:
Als men bijvoorbeeld in een 4 ster zit, dan is de transceiver 90 graden... De receiver is 45 graden...
Bij een Delta, dan is de transceiver 120 graden... De receiver is 60 graden...
Bij een Delta worden hier dus 2 K's gebruikt en een Xy- Yz opstelling... Een Xy waarvan het signaal soort van gehackt is, met Quantum entanglement een Yz ontvanger...
Dus stel ik heb een Antenne met Xy... Ik quantum entangle deze met een Square 24 en zorg dat deze een Yz as verkrijgt... Met 1x een Square 24 zal je dit niet verkrijgen... Je verkrijgt een XZ... Je moet wellicht toch zorgen voor een 2x, 3x of 4x XZ opstelling, dat terugleidt naar de eerste antenne, waardoor dus Yz wordt verkregen... Dus stel eerste Sqaure 24 met antenne wordt quantum entangled met nog eens 3x Square 24... Stel ik heb nu een Yz ontvangst... Nu zend ik met 90 en ontvang ik met 45 graden... Net als bij een laser, wordt het signaal zowat gekaatst... Dus je verkirjgt dit signaal van K met een hoek van 45 graden voor een vierster... Je radio blijft op 90 graden, normaliter is dat altijd zo? Zeg maar XYZZ = 4 x 90 = 360?

Maar de details laat ik over aan professionals... Want heel veel kennis op radiogebied heb ik niet...




Toevoeging: 12/07/2025, 16:40

Het lijkt een beetje op een portaal, maar dit is hoe deze KK technologie werkt... Als jij een Delta wilt benaderen, dan heb je deze opstelling nodig... Tot nu toe hadden we aangegeven hoe de boosodeners hun signaal hooghouden... Nu gaan wij vanuit de andere richting dit signaal sturen... Dus counterforce... Andersom... Andere links... Dat is dus telkens de juiste YZ aantal, dus bij 4 = 4, 5 = 5 etc...

Bij Delta = 4 YZ... 90/45
Bij vierster = 5 Yz... 72/36
etc.





Zie ook archief, de nummer 1 uit het archief, isolatie en halfgeleider...
Dit plaatje geeft overigens 388,5hz aan en 444hz





Hoe het magisch systeem is gecodeerd... 30/06/2025, 22:00

6 posities per kubus en 8x lopen voor een cirkel... Dus dan ga je 8x een rondje draaien door je huis... Maar doe dit niet he, want het slaat een soort van nergens op. Het moet computergestuurd worden gehackt... Want het is een soort computer waar we mee te maken hebben. Elon Musk noemt het AI. Ik kan het ook zo noemen als ik wil, maar het is de Trinity, de Groene Toren en het magisch systeem, inderdaad: het systeem luistert met ons mee, en het is deels AI. Every breath you take, every move you make bla bla... Dat idee van de duivel wordt wellicht ooit geoptimaliseerd doordat zoveel landen er een soort heil in zien, ivm spiritualitiet, dat ze meedoen, maar dat niet eens begrijpen, dat ze de duivel een beetje helpen daarin.

U ziet in plaatje 2 hoe de A's zich bevinden... Stap 1: vier op een rij... Stap 2: springt rood een stap naar de voorlinie... Stap 3: weer naar de achterlinie, per stap voor en achter... U ziet dat bij stap 3, twee korte A's zich daar bevinden... Dan moet je 2x korte bocht nemen of zoiets... Dus coderen met bijv. geel rood en geel rood, en verder... 2x dus... Zoiets... Stap 4: heb je een kruis in de voorlinie en een korte bocht achteraan... Stap 5: dan heb je 1 korte bocht want de A schaduwt de rode...  Enz... Probeer te achterhalen de betekenis per 8 stappen... Dan kom je verder...

De zandloper loopt van 1 naar 1'... De "schaar", waar het op slaat begrijp ik nog niet, ligt op positie 3, schaart naar 3'. 4 = tevens einde rit ...

Bijvoorbeeld:
Legenda, dit is de juiste volgorde, dus 1,2,3,4 alle stappen achterelkaar = 40 + 60:
40   1 = 1,2,1,2,3,1',4
40   2 = 1,2,1,2,3,1',4,1,2,3',4
40   3 = 1,2,3',4,1,2,1,2,3,1',4
40   4 = 1,2,3',4







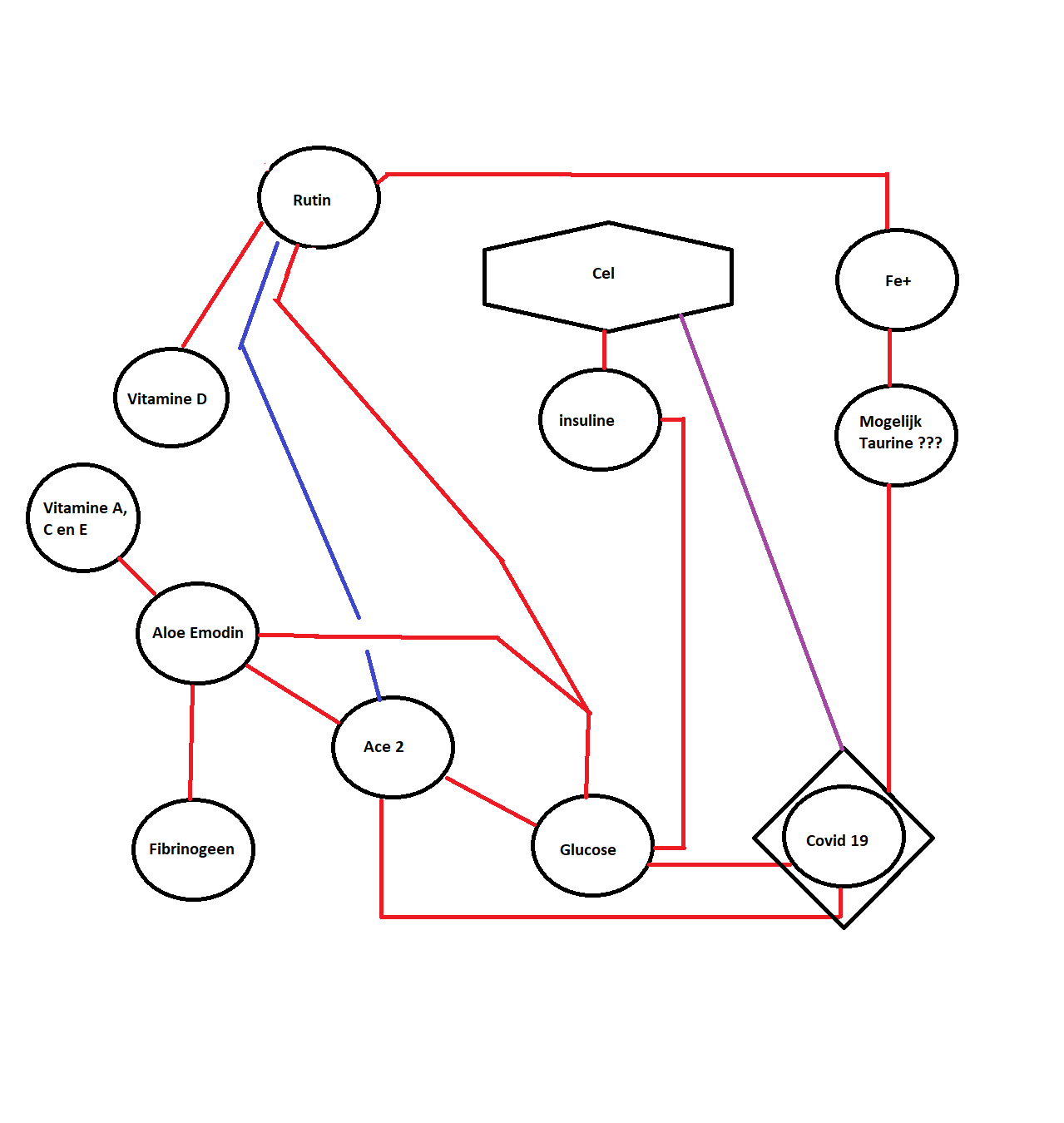
Natriumchoride beter dan kaliumchloridezout 2... 11/02/2025, 20:18

Wat ik denk, is dat het kalium/calcium kanaal, er zijn er een paar die dus ammonium doorlaten... En omdat het een ionenkanaal is, ontstaat daar wellicht ammoniumsulfaat en ammoniumnitraat als zouten...
Ik zeg dus wellicht, omdat ik dit niet zeker weet, maar ik dit vermoed... En deze twee zouten zouden weleens van belang kunnen zijn voor verder onderzoek naar nare ziekten...

Deze kaliumkanaal is van belang omdat het wordt uitgebuit door allerlei ziektes icm ammonium... We krijgen genoeg kalium binnen via voeding, dus laten we het vooral niet "extra" innemen! Ammoniumnitrate en taurine voor ijzeropname van ziektekiemen dacht ik. En ammoniumnitraat en CGSNO voor voortplanting e.d. En signaaloverdracht naar hersenen en zenuwen.

Het lijkt erop dat ammonium basis is voor alle ziektekiemen, waarbij het leifst via cysteine oxidation mebv h2o2 en H2S zijn werk doet, maar ook via SS bonds en SH bonds. Als SS oxideert of Cysteine oxideert, heb je altijd dat ziektekiemen kunnen winnen. We moeten ook denken aan CGSNO dat naar de zenuwen en hersenen gaat icm ammonia e.d. toch interactie kan tonen... CGSNO (S-nitrosoglutathione) wordt als ik het goed heb in de hersenen afgebroken...

U weet dat calcium belangrijk is voor ziektekiemen, want zonder kunnen ze niet richting SS bonds oxidation... Daarom is juis deze kanaal zeer interessant voor studie, de KCNN2 ion kanaal. Er wordt bijna niet gekeken naar ammoniumsulfaat dat ook zou kunnen ontstaan en die een rol zou kunnen spelen in ijzeropname icm taurine. Eigenlijk kan ik eerlijk gezegd niets erover vinden en dat is triest... Terwijl sulfaat juist ook een dubbelrol speelt bij suikeropname en ook bij ijzer voor o.a. ziektekiemen...

Er kan ook nog ammoniumchloride ontstaan, wat iets onschuldiger lijkt, maar wie weet...
Thus due to presence of common ion NH4+ in NH4Cl, it supresses the ionisation of weak base NH4OH in order to decrease the OH− concentration so that higher group cations will not get precipitated. This process is called common ion effect.

https://pmc.ncbi.nlm.nih.gov/articles/PMC6520727/


Antenne met Y as of Z+ as, STEALTH COMMUNICATION!


Ik heb gemerkt dat sommige landen overgegaan zijn op Stealth communicatie, in ieder geval dit denk ik... Zij slaan de X as over en gaan zitten op de Y as. Ze kunnen ook zitten op de Z+ as en anders de Z-.
Normaliter zijn onze communicatieapparatuur ingesteld op XY zenden en XZ ontvangst. Dit is al onze apparatuur. Maar er zijn landen die volgens mij overgegaan zijn op stealth zenden en ontvangen... Dit doen ze door de Xy en Xz als fundament te kiezen en vervolgens vanaf de Y as te zenden en ontvangen, dit is dus dan de X = 1 Antenne met radio, deze radio is de dan de belangrijkst ene zendt via de Y as en ontvangt via YZ. Maar omdat ze zenden met de Y as, ontvang je ook met een yz as wellicht nooit deze zender. Dat is de vraag... 12+12+12+12+24 radio's is Y as zending en ontvangst! 72 radio's.

Dit overslaan van de X as, door dus een electromagneetveld eronderaan te plaatsen doe je volgens de regel volgens mij via 4x 12 (delta) te combineren met een koppeling. Zie ook koppeling voor Engine 4 van Best Inventions 9 nummer 5. Daar vindt je dus Engine 4, met de Nato en Otan. Hier zijn ze ook afgebeeld... Door deze 4x te verbinden bezit je een Y as op de koppeling dat Otan heet = X = 1. Nu heb je dus zending en ontvangst vanaf de Y as.

Nu creeer je 4x Otan, dus 16x Delta en 4x Otan en koppel je deze Otan's met een Nato. Nu heb je zending en ontvangst via de Z+ as.

Als je nu de Z- as wilt bereiken, moet je 72 x 4 = 288 + de Nato of de Davidsster plaatsen, waasrdoor de totale radio aantal komt op 360 of wellicht 312.


De NATO:





De 12:





De 18:





De unit die de 4x 12 verbindt, waardoor een Y axis wordt verkregen:





Een Van der Graaff generator gebruiken om permanente magneten opnieuw te magnetiseren?

Volgens mij kan dit werken, je plaatst de minus gedeelte van de van der Graaff generator op de magneet... Stel deze bevindt zich op een permananet magneet motor en heeft zijn kracht verloren hoe dan ook... Door nu de minus op de + te richten en door de magneet met de minus aan te raken, ontstaat volgens mij het effect dat de magneet sterker wordt doordat de ionen zich gaan ordenen (moleculair niveau), door de ontlading erop...


Natriumchoride beter dan kaliumchloridezout... 10/06/2024, 21:30

Het gaat om het begrip... Ionenkanaal...

Ons kalium ionenkanaal daarin past ammonia, waardoor bij te veel kalium en gebruik van kaliumchloride zout ipv natriumchloride, meer kans bestaat dat de kaliumkanaal wordt gedekt door ammonia... Dus dat ammonia ipv kalium erin gaat... Dit is een probleem omdat ziektekiemen (ten minste ook dit kanaal) dit kanaal gebruiken om oze cellen te bereiken... Waardoor dus de inbteractie tussen ziektekiemen levende cellen ontstaat... Ik zou zeggen dat kaliumchloride een hype is, wat niet moet worden aangehouden. Het zou weleens verstrekkende gevolgen kunnen hebben voor het lichaam. Ik weet dat het lichaam een beetje om kalium vraagt, maar te veel is zeker niet goed. Levende cellen die worden verbonden aan ziektekiemen kan het begin zijn van allerlei ziektes...

Het is dus zo dat er een soort concurrentie ontstaat tussen kalium en ammonia wanneer dit kanaal opengaat gaat ammonia er ook in passen, bij de natriumkanaal past deze niet... Dit is ook belangrijk voor bijv. de ziekte van kanker. Want hoe meer ammonia in de ionenkanalen gaan zitten, hoe meer T cellen deze cellen moeten herstellen, en u begrijpt dat wordt dwijlen met de kraan open als men elke dag kaliumchloirde slikt... Dit kan ertoe leiden en bijdragen dat men meer vatbaar wordt voor allerlei ziektes...


Een portaal betreden... 18/05/2024, 21:20

Iets wat ik niet snap, Portalen

Volgens mij moet je namelijk een Motor 4 van 216 emf's koppelen aan een 5 unit versie met 60 Emf generatoren, wil je in een portaal gaan jumpen... Zie de 216 als een magnetisme naar rechts... Dan moet je ook koppelen en naar rechts bewegen uiteindelijk, of je dan N/S erin moet en dan als S/N wordt bewogen, begrijp ik niet zo... Dus N/S op N/S lijkt mij onmogelijk, daarom moet je dus 5 units nemen en als N/S in S/N bewegen, van links naar rechts bewegend en vervolgens circuleer je naar de andere zijde, je maakt dus slagzij, eenmaal in het portaal...

Dat groene zijn dus de portalen...

Via rood kom je met 5 units erin...

We hebben dus een soort tractor beam nodig op basis van een delta willen we en portaal kunnen openen, het is ook tevens een communicatieportaal... Als je dus een rechts op rechts, 1 zijdige magenetveld ergens naartoe stuurt, zoals dus een 66. Dan veroorzaak je een electromagneetveld, waarbij een + voorin en een minus aan de achterzijde ontstaat. Dit effect kan ook verklaren hoe men dus "the voice of God" e.d. protocols kunnen veroorzaken...










Antigravity Motor

Hiermee kun je trouwens ook een motor bouwen, maar deze doen alleen spiritualiteit...
Wat zij dus hier doen, is het magnetisme omdraaien van stap 1. Dus de delta's daar, die draaien virtueel gezien, waarbij zij een andere pool verkrijgen tot stap 4. Daarna wordt stap 1 tot en met stap 4 in een stap 1 gedaan, waardoor twee mensen aan elkaar worden gekoppeld, zo kun je nog alle werkpaarden stapelen straks... Uiteindelijk gebruik je dus 8 delta's, 2 Squares, 4 Davidssterren en 1 Square davidsster... Wat precies neerkomt op mijn anti gravity hoeveelheid, maar zij, let op, doen hiermee spiritualiteit. Dus zij doen geen motor, maar doen iets raars... Ze doen het ook nog eens in een rare volgorde... Wat een soort logisch is...! Dit zou ook een motor kunnen worden... Je hebt immers elektromagnetisme tussen de Delta's, Boven en Beneden, stap 1 tot stap 4, + stap 1 dus in elkaar... Twee kruizen, allebei schuin hebben dan interactie met elkaar... Maar de ene bezit een andere polariteit/magnetisme dan de andere. Wellicht kan de nieuwe theorie over een nieuwe soort magnetisme uitkomst bieden... Zij creeren daar ook een X. Ze schuiven dus twee magneetvelden in elkaar en de hakenkruis moet zorgen voor propulsie, door hogere en lagere voltage of fase... Dan moet je dus wel weten wat een kruis inhoudt... Wat dat voor magentisme bezit en wat dat is uberhaupt, anders kun je het altijd proberen op mijn manier, Best inventions nummer 5...! Dus let op zij vormen eerst 4 delta's en stoppen dat in de andere 4 delta's, zo kan ik dat ook doen voor mijn versie! Ik dacht dat ze nbamelijk 4 beneden en 4 boven moesten worden geplaatst, maar in elkaar is ook een detail!

Toevoeging: mbv "de square", een symmetrische vierkant of een soort kruisvormige symmetrie, kun je dus mbv faseverschillen naar links en rechts, vooruit en achteruit...




--------------------------------------

Belangrijke cijfers:

Pole position (start):
1 = 24, 48
      24, 48
1
Rechte lijn:
2 = 60, 90
      30, 45
2
Delta:
3 = 135, 180
      45, 60
3
Nato of vier ster:
4 = 288, 360
      72, 90
4
Vijfster:
5 = 300, 360
      60, 72
5
Zesster:
6 = 360, 420
60, 70
________
6

Deze is fout volgens mij:

Zesster:
6,66 = 360, 400

       54, 60
6,66

Moet volgens mij zijn:

6,66 = 400, 460

60, 69
__________
6,66


Uitleg over deze cijfers:
Delta berekening...
Berekening als voorbeeld links van Delta, dus 135 berekenen:

Stel je weet de cirkel voor een Delta, stel dat is 180 in waarde, een cirkel is 180...
Dan doe je 180/4 = 45, en 45 x 3 = 135, dit is een cirkel op links van de Delta... Rechts is dus 180...

Extra:

Elke cirkel bezit dus een aantal phi waarden, zoals 360 x phi. Dus het aantal phi is ook het aantal graden, voor elke graden bezit het systeem een andere phi... En op een bepaalde manier zou je dus via phi = 3,14 het syteem moeten kunnen herleiden naar 1 punt (24, 48). Dus je hebt voor een vierster 288 phi's links en 360 rechts...

Nieuwe cijfers:
Links:
24/24 = 1
72/36 = 2
144/48 = 3
240/60 = 4
360/72 = 5
504/84 = 6
/92 = 6,66

------------------------------------

Hoe communicatie via de kruis werkt! Een "verkeerd" protocol...

Ik heb eerder aangegeven dat mensen kunnen worden gekoppeld via een communicatie netwerk aan een geheim protocol, dat waarschijnlijk heel anders werkt dan via antennes en doorsnee signalen...

In verbeelding moet je indenken dat iemand een baken bezit, dus een soort electromagentisch gebied/veld in het lichaam, al dan niet verkregen via de kruis. Het gaat om het creeren van een electromagnetisch gebied in het lichaam, het geel en driehoek gekleurd gebied.

U ziet links de normale magentische as, de driehoekvorm is gekoppeld aan de kruis/het magnetisch veld gekoppeld aan een losse electromagnetisch veld... Dus we nemen aan dat de kruis XY en XZ is... Omdat namelijk een electromagnetisch veld ook XY en XZ is. Dat is standaard altijd zo! Het is een circuit, dus het is zo, neem dit anders even aan dat een signaal start met XY en eindigt met XZ, waarna een electromagnetisch veld ontstaat. Om nu voor te stellen dat nu 4x Een YZ as aan deze electromagnetisch veld wordt gekoppeld, dus dat betekent dat vier Backscatter apparatuur onder elkaar moeten communiceren en deze Delta signaal moeten ontvangen... Inandere woorden: 4x Davidsster is benodigd om de kruis om te keren... Dus 4x backscatter die deze electromagnetische signaal moeten ontvangen en circuleren... Stel bijv. het elektromagnetisch veld is 100hz. 1x backscatter ontvangt 100hz, geeft het door aan de andere en ontvangt het nog een keer terug, waardoor een gesloten circuit blijft met deze YZ units, dit zijn dus elliptische antennes gekoppeld aan het electromagnetisch veld.

Door 4x Davidsster of 4x backscatter zal het de kruis of de magnetische as draaien. Stel je voor dat in het lichaam ergens een superconductor is geplaatst. Deze superconductor is aan deze kruis gekoppeld... Door de kring en draaiende beweging van het elektromagnetisch veld, ontstaat een spiegeling aan de andere zijde in de vorm van een zandloper...+ en - creeren een magneetveld en koppeling... U begrijpt als je een signaal verzendt met XY dan is dat een soort horizontaal signaal... Maar als je dus erachter 4x backscatter of 4x Davidsster koppelt, dan heb je een Z+ en Z- as bereikt en kun je het signaal terugkrijgen verticaal... Bij deze vorm van communicatie wordt er geen gebruik gemaakt van antennes, maar direct en alleen van electromagnetische velden!

De Z+ en Z- koppelen aan het electromagnetisch veld van minus en +...

Dus nog een keer, nog een keer...
1 Electromagnetisch veld = XY, XZ...
2 Wordt omgedraaid door 4x backscatter of 4x Davidsster te koppelen aan dit signaal...
3 Creeert daardoor via spiegeling van een superconductor of koper/aluminium een + zijde, waardoor magnetisme of koppeling ontstaat met het electromagentisch gebied!
4 Doordat het magnetisme is omgekeerd, ontstaat het effect dat door 4x YZ assen de Z+ en Z- ontstaat, waarna het signaal dus via deze assen kan worden gehoord... De Z+ en Z- komen verticaal te staan op het elektromagentisch veld. Dus dan kun je lopen en staan waar je wilt, ze zullen je blijven achtervolgen...

Nou heb ik hier al 15 jaar last van, dus ik hoor stemmen! Dus werd het tijd om dit kort te sluiten...

Jammen van een frequentie... 1/05/2024, 19:55

Stel er bestaat een signaal, die wordt verzonden, een willekeurig signaal. Die wil ik jammen... Ik wil het eigenlijk weghebben. Dan kan ik dat volgens mij proberen door dit signaal ten eerste te ontvangen... Vervolgens in Delta circulatie stoppen... Daarna circuleer je deze Delta met nog eens 3 andere delta's, je verbindt er ook nog Davidssterren aan, kortom je zorgt ervoor dat het signaal volledig terugdraait... Volgens mij kun je met zulk een signaal terug te zenden het oorspronkelijk signaal direct saboteren... Maar dit weet ik niet zeker. Dus je ontvangt het signaal netjes, je circuleert het signaal zodat een Xy, Xz situatie ontstaat, dus stel je ontvangt 100hz met Delta x = 1, eerste radio, nu circuleer je het signaal, daarna combineer je het met 4 Delta's in totaal... Met Davidssterren, dus de YZ ontstaat, dit doe je 4, waardoor een cirkel ontstaat... Dit is een magnetische cirkel en circulatie van X, Y, Z+ en Z-... Nu ontstaat vanzelf het effect dat als je zendt naar dit signaal, dat je wellicht iets opmerkt, of dat het wegvalt, maar dit weet ik niet zeker.

Bovenaan heb ik dus over een "verkeerd" protocol geschreven, dat dus werkt zonder antennes, maar puur magnetisch verbindt... Door dit signaal op te pikken en aan zulk een protocol en systeem te verbinden, zouden engineers wellicht in de toekomst een soort sateliet kunnen bouwen, die dan meteen opspoort vanwaar dat signaal wordt uitgezonden. Want dan ontstaat er een verticale streep naar beneden, bij die zender. ??? Dus wanneer je terugzendt naar 100hz, dan zouden twee verticale strepen moeten ontstaan?

Het is dus eigenlijk de vraag of dat als je op de antwoordknop van de radio drukt, en jouw radio op dat moment in een Z+ is veranderd door de circulatie met Delta's en Davidssterren, die zendt met Z+, of deze dus wordt ontvangen door de XZ van de zender...? Je zou ook kunnen zeggen van als ik dus het signaal ontvang met een elliptische antenne gebaseerd op backscattertechnologie, dat je dus 4x backscatter doet en daarna het signaal terugznedt, wat gebeurt er dan?

Laten we ook kijken wat gebeurt als we alleen met delta's circuleren en dus zonder backscatter of Davidssterren, die een YZ as bezitten en dus na 4x een Z+ veroorzaken...

Dan ontstaat dus een Xy en Xz combinatie, met 4x, hoogstens zou dan de Y as worden gevonden... Elke circulatie, duis elke kring die je denkbeeldig tekent, dus 4x circuleert, creert weer een circuit en dat is een apart elektromagnetisch veld. Y is een horizontale en niet verticaal zoals de Z... Er zijn dus wel verschillen, maar ik weet ze niet te plaatsen...




Technisch verhaal over spiritualiteit

Dus ze creeren eerst een signaal, dat is XY. Daarna ontvangen ze deze ergens met een receiver, dat is de XZ, daarna zenden ze dit signaal terug naar de XY zender via een elliptisch kromme signaal zender en de elliptische antenne ontvangt deze elliptische signaal... Deze is dus YZ, de antenne ontvangt dus vanaf de YZ as... Anders dan de normale zendapparatuur... Waarschijnlijk zullen ze dus twee van deze elliptische transceivers bezitten en deze gebruiken... Het signaal zie je in de lucht als een regenboog dat teruggaat, de regenboog ontstaat zodra de Davidsster (YZ) wordt geplaatst...!

Deze praktijk mag je dus niet doen bij een mens... Wel kun je ditzelfde principe gebruiken tegen Gog en Magog, zodra deze arriveren, zij kunnen objecten, mensen en ook de geesten van mensen opsluiten in de Sirat... Gog is de duivel en die kan dat dus...
De Z+ en Z- verschijnen dus nadat deze opstelling is gemaakt, nu weet ik dat het duivels systeem geesten opsluit in een soort dimensie van Z+ en Z-... Waarbij dus deze opstelling de geest forceert tot overgave, zodra een force wordt gegeven, dan ontstaat een tegengewicht dat is de counterforce... Zodra de counterforce wordt gegeven, ontstaat de force... Zo blijf je in een vicieuze cirkel ronddwalen...

De vraag is dus, hoe hack je dit systeem? Dat kun je wellicht door de frequenties van YZ te ontvangen, of die van XY, en vervolgens naar jouw eigen toe leiden, vervolgens... Hoe krijg je het zo ver dat je dus het systeem kunt saboteren? Zodra je dus aan dit systeem bent gekoppeld via 1x XY,XZ, dan moet je ook kunnen loskoppelen... En waarom zou je eraan koppelen? Omdat dus je object wordt erin gezogen, eigenlijk moet je dus koppelen met je vliegtuig bijv. Dan pas kun je er echt uit... Maar hoe? Stel je bent dus aan een van de delta's gekoppeld, een "vlieger" vorm ontstaat dan... Ik kan mij voorstellen dat je zelfs erin wordt gezogen zodra je gekoppeld bent, maar hoe kom je er weer uit? Door het systeem te verlaten door de radio uit te zetten, blijf je rondtollen in een Z+ en Z-... Of moeten alle vliegtuigen zijn voorzien van een Best inventions nummer 5 en 6, (+ nummer 680 van de indexpagina) als een soort tegenmaatregel!? Volgens mij zul je namelijk neerstorten zodra de antigravity motor aanstaat... dus dan zou je de antigravity moeten uitzetten, zo lijkt het... Zodra je zelf een Z+ as genereert, lijkt het me een soort seriezere zaak, je kunt immers tussen Z+ en Z- communiceren met het systeem... Je bezit zelf een Z+ en Z-... Toch is het zo dat Z+ is force en Z- is counterforce en je blijft in deze dimensie...Hoe kom je ondanks dat je Z+ en Z- assen communiceert met dit systeem eruit? De ingang van het systeem is dus een XY, de kruisvorm, het licht... Stel je bevindt je in een vliegend object en op de Sirat, hoe kom je eruit (u begrijpt wel dat ik Sirat een technisch probleem vind, het is een vicieuze cirkel van Z+ en Z-, iets van de duivel en niet iets van god)?

Stel het vliegtuig bevindt zich in de lucht in een Z - kring/lus... Dan moeten we ook zorgen dat de Z+ gekoppeld is aan de X as... Om er weer uit te kunnen komen... Moeten we dan de polariteit van onze radiozenders veranderen van + naar minus of minus naar +, om terug te koppelen naar de X... Je hebt namelijk een kruisvorm gerealiseerd met dit systeem van zenden en ontvangst... Je creeert dus een Z uiteindelijk, maar je ontvangt de Z niet en je kunt deze niet terugkoppelen...

Zou het al voldoende moeten zijn, wanneer de Z+ naar beneden wijst en de Z- naar boven...? Om de Z- en Z+ as te wisselen, zou je eigenlijk 4 x deze constructie moeten creeren en aan elkaar moeten koppelen... Maar wordt je dan niet aangetrokken door het magnetisme dan Z+ op Z- en Z- op Z+... Volgens mij moet je dit niet doen!

 Maar waar is dan de koppeling met de uitgang...? De X as... Dus hoe bereiken we de X as?

Dus twee radiozenders, die dus een elliptisch signaal kunnen zenden en ontvangen, en bovendien een normale wave kunnen creeren, deze worden opgesteld...  De radiozenders kun je zien als XY, en de SinA, elliptische signaal en SadA, de ontvanger van dit elliptisch signaal, als de twee Delta's en de Davidsster... Dus het is kiezen, of we gebruiken mijn systeem, met delta's en davidssterren of het systeem wat gebruikt wordt, voor radiozendingen, dat zijn dus radio's die speciaal zijn, met een elliptische kromme... Volgens mij zijn deze backscatter... Dus door 2x Delta + en - te gebruiken en een Davidsster + of min, dan simuleer je hetzelfde als met backscatter radio's...





Tornado met verschillende kleuren uitgelegd, de windsnelheid en waarom het ontstaat...

Ecosysteem

Dit gebeurt dus met onze planeet, onze regenboog, dat bestaat uit lagen straling, dat vroeger normaal en mooi was, is dus een indicatie van de gezondheid van de planeet zelf... En aangezien wij op deze planeet wonen, en omdat er iets niet klopt op het gebied van evenwicht in energievelden (stralingsvelden) wordt het ook moeilijker om te overleven... Dus veel problemen met het weer gerelateerd, zoals het ontstaan van Tornado's... Dus u ziet de grote soort paarse gebied, dit is een soort overschot, dat de natuurlijke balans verstoort, en bij straling en energie is het zo, dat dit moet ontladen, dus dan krijg je vanzelf een windstroom... Dus om deze evenwicht te behouden moet veel energie worden aangezogen om uiteindelijk dit stroom tot nul te brengen... De aarde is dus continu in beweging... U begrijpt, paars trekt blauw, blauw trekt groen, groen trekt geel, geel trekt oranje, oranje trekt rood...

Een volledige ontlading, zo werkt natuurlijk ongeveer de ontlading van bliksem ook, alleen op een hele andere manier, verticaal, dat uiteindelijk overeenkomt, maar dit gaat via verbindingen van gassen in de lucht, een soort polaire bindingen, die koppelen en doordat twee luchtstromen in elkaar opgaan worden, ontstaan dus twee luchtsoorten (qua energieverschil). Dus bijv. energie 100 en energie 50, om het simpel te houden, een soort drukverschillen (pascal)... Doordat uiteindelijk N/S en S/N samenkomen verbinden ze... Nu ontstaat natuurlijk vanzelf een tegengestelde stroming naar achteren door dus stralingsgebieden en energiestromen, iets met vraag en aanbod dus, dus het verhaal over de regenboog weer...

Dus het gaat om deze drukverschillen uiteindelijk, doordat nu N/S/N/S een tijdelijke verbinding is ontstaan en doordat nu de stroom tegengesteld is, zal de verbinding zwakker worden, het zal terug willen draaien, dus een andere polariteit willen aannemen, dus in tegengestelde richting gaan atomen uiteindelijk een andere polariteit aannemen... Dus dit gaat richting S/N ipv N/S... Dus nu moet je opletten:

100-50
90-40
80-30
70-20
60-10
50-0

En bij 0 ontlaadt het met die 50 aan energie... Want die 50 is een hogere sterkte dat als elektriciteit normaliter naar beneden ontlaadt. Je verkrijgt namelijk op dit punt een N/S/S/N en die S op S stoot elkaar af...
Voorbeeld: bij gebieden dichtbij zee heb je dus veel reflectie en refractie en de blauwe straling dat erbij hoort, dus een overschot aan blauwe straling...
Waarom de regenboog tegenwoordig dubbel is, begrijp ik ook even niet...

Zo ziet een tornado er dus uit, met in alle lagen een andere snelheid van wind, dit komt ook omdat alle lagen een andere stralingsgebied hebben volgens mij, dus als een stralingsgebied ontbreekt, moet de natuur dit compenseren door heel veel wind te produceren...:





Toevoeging: 6/09/2023, 18:50

Dus elke stralingstype bezit een tegenkracht, dat is aangrenzend aan de regenboog... Dus rood bezit oranje e.d. ...
Dan is oranje hier S/N in tegengestelde richting. In de normale richting heb je weer oranje, dan is de tegenkracht geel e.d. tot aan nul... Zie afbeelding...
Je ziet dat de sterkte variabel is, voor een rood heen heb je dus een sterkte van 200 en deze wordt gevormd door 180 kracht in dezelfde richting en 20 in tegengestelde richting...
Die 20 gaat op in energie...
Vervolgens kun je zo doorredeneren... Bij violet ontlaadt deze met 80 of 60 in sterkte... Stel dat we hier dus 60 km/h aan wind verkrijgen...


Bliksem

Nogmaals wil uitleggen hoe in dit model bliksem zich vormt...
Stel dat we dus zuurstof in twee richtingen op laten draaien... En waterstof ook in twee richtingen...
Nu zal de ene molecuul of atoom anders polariseren dan de andere, namelijk met N/S en S/N, vanwege de omgekeerde draai/druk...
Stel we hebben 200 waterstof rood en 20 oranje die samenkomen vanuit twee zelfde gebieden... N/S op S/N = samenkomst N/S/N/S
140 (7x20 energie in kettingreactie) is dan de kracht van de ontlading, dit even terzijde...
180 is dus bijv oranje, met een tegenkracht geel van 20, vanaf hier is de ontlading 6 x 20 = 120...

Maar hoe de bliksem ontstaat, is dus de vraag... Dat gebeurt door waterstof vanuit rood naar oranje zuurstof, dat kan op twee manieren... Via 180 op 200 of via 20 op 200... Bij samnekomst van 180 op 200 ontstaat vrijwel geen bliksem, omdat de molecuul, stel deze komt in de tegengestelde richting te waaien, kan deze gewoon ontladen tot nul en weer uiteen, de uitkomst is vrijwel nihil, geen echte ontlading. Probleem is dus, als de 20 en 200 bijelkaar komen, want dan is de ontlading van hoge kracht... Namelijk 140 energie in kracht...





Toevoeging:
17/09/2023, 10:20

Denk hierbij dat de energie via de cone fictive pendel wordt veroorzaakt door twee luchtstromen, deze twee luchtstromen zijn van een hoger en een lager gebied, maar zijn beide vrij sterk. Dus hebebn beide veel energie nodig dat wordt aangeduid met tegenkrachten, bekend van de regenboog, dus stel we hebben hier veel blauw, en dat is afkomstig van de zee, vlak aan de kust, dan moeten we snel veel groen aanleveren, daarna ook de rest, zoals geel en oranje en de rest. Maar vooral groen... Het is een evenwicht en een soort horizontale ontlading in de natuur, de energie wordt dus tot nul gereduceerd via de regenboog (het stralingsgebied).

We hebben eerder aangegeven dat het creeren van een kruis verboden is wanneer het gebruikt wordt tegen de mens, en dus voor kruiziging van de mens, het ziel. Maar als het aankomt op het creeren van een kruis in de lucht zonder dat iemand betrokken raakt, keurt iedereen dit goed, want het is een wapen/arma, een techniek, dat gebruikt kan worden. Dit geldt ook voor de Davidsster, niets mis mee totdat het wordt gebruikt voor godslastering! Ook in dit geval, bij tornado's zou je mbv een stralingsgebied een kruis naar de tornado kunnen laseren of hoe dat ook gaat, ik weet dit niet zeker, omdat ik helemaal begrijp hoe een kruis in elkaar steekt en wat het is. Wel weet ik dat het een electromagnetische kring ebtreft, dat dus een coriolis kracht veroorzaakt, doordat XY en XZ wordt gerealiseerd ontstaat ook een tegenkracht, waarmee wellicht de tornado ten minste van richting kan worden vernaderd, naar een gewenste richting.

Dus we doen een Iron Cross op het coriolisgebied waaruit een tornado ontstaat, een tegengestelde luchtbeweging is dat... Nu geven we blauw via de kruis aan het groene gedeelte, beste zou zijn om het direct aan te zuigen via blauw, en om de richting te veranderen zo nodig. Door een Iron Cross op te zetten, creeeren we een 360 graden Coriolis energie overigens, dit betekent dat we dus een soort tegenkracht creeren. Nu is het moeilijk te begrijpen wat dit veroorzaakt... Je moet dus een groene kruis maken, wil je blauw aantrekken, dacht ik, maar goed dat valt te onderzoeken...!





In de baan/dampkring van de aarde treden vanuit de ruimte/ 24/08/2023, 14:00

Ik denk dat wanneer een ruimteschip, voorzien van antigravity technieken zoals uitgelegd op deze site, met vier of 8 delta's, deze techniek is nodig om de dampkring van de aarde binnen te treden...
Wat je alleen hoeft te doen, is 7,5 hertz frequentie te circuleren in de DELTA's, via de emf generatoren... En dan vervolgens ontstaat het effect dat de frequentie die de aarde genereert wordt "ontvangen" als het ware, en vervolgens wordt de magnetische baan gesimuleerd en vervolgens wordt het schip erin geloodst door XY, XZ en vervolgens YZ te combineren... Je moet namelijk een volledige circulatie creeren om een volledige circuit zoals de aarde in te komen, het klinkt wel beetje raar, maar je simuleert hier dus die frequentie, dus dan zou het moeten kunnen...

Er wordt ook gesproken over 7,77 hertz... Maar dat is volgens mij met Casimir en cone fictive pendel... Het lijkt alsof dat beter is om te gebruiken, omdat dan de dampkring vloeiender kan worden binnengetreden...


Communicatie via de Davidsster en wireless charging/draadloos opladen... 20/12/2022, 18:35


Toevoeging: 22/12/2022, 14:00

Het gaat om de eerste plaatje dat een connector vormt voor de Davidssterren... Zie deze vier, de Delta, de sterren en de connector voor de sterren als masten...
De connector verbindt dus aan de stervormen, de stervormen op zich weer aan de Delta. Het moeten er in totaal 4 zijn, dus Delta, 2 stervormen en eene connector, wil het een elektromagnetisch veld vormen, op deze manier...

De input voor de connector is telkens een Delta...

Wat ik heb bereikt, is communicatie tussen een apparaat en een elektromagnetisch veld... Plaatje 2 en 3 laten dit zien...

Wat ik wil bereiken is iets ermee te kunnen doen, zoals draadloos opladen... Volgens mij moet de connector, dus plaatje 1, eerst worden voorzien van een laser, en een laserveld wordt gegeneerd, precies op de drie driehoeken, aangegeven met 45 graden...
Nu zullen ionen stromen in dit veld... We hebben namelijk een magnetishc veld en een laserveld, elektrostatisch veld, die aan elkaar worden gewaagd...

Nu moet men bedenken dat de vier masten een elektromagnetishc veld herbergen, dat betekent dus dat een ionenbeweging tot stand komt, via deze communicatoren... Het is immers een elektromagnetisch veld, en dat wakkert een beweging aan van ionen...

Nu is het zo dat op plaatje 3, een soort telefoon, dat dus een X, Y en Z as bezit, een connectie aangaat met de connector en 1 andere mast, de stervorm, nu is het de vraag of je dan niet dezer elektromagnetisch veld verlengt, waarmee dus een ionenregen richting de telefoon totstand komt... Als het elektormagnetisch veld kan worden verlengd, dan kun je bijna spreken van een succes, omdat deze ionen vervolgens via een soortemitter moeten worden ontvangen, waarna deze kan worden omgezet in elektriciteit en daarna in het opladen of bewegen van het apparaat of voertuig...

Denk bijv aan een emitter zoals dat van een Corona motor, zie:

https://www.youtube.com/watch?v=2rVdEhyMR6A&t=5s


Toevoeging: 30/12/2022, 18:35

Elke structuur is een elektrostatische stroomkring/magneetkring... Dus de Delta, de sterren end e connector zijn elektrostatische velden die dus een magnetische gap bezitten van 90 graden en daarmee dus voorzien zijn van een x en een y as...

Stel dat u dat begrijpt, dan gaan we verder kijken...

Nu we 4 x 90 graden bezitten, en die is gekoppeld aan elkaar, dan verkijgen we een 360 graden omwenteling en dus een Z+ en Z- as, die andersom staan, oftewel we hebben dus eigenlijk antigravity... We moeten bij communicatieprotocollen spreken over links en rechts, dit is dus een protocol op rechts...

Nu we vier masten hebben die deze grotere geheel creeren, spreken we van een groter elektromagnetische kring, op rechts...
U moet erbij bedenken dat alles altijd op links staat, of stel voor alles is N/S, rechts = S/N... Dus op deze manier ontstaat een communicatie open voor toegenankelijkheid via linker en rechter communicatie... Een soort wireless systeem.

Doordat elektrostatische velden ionen aantrekken, kunnen we door via een linker systeem zoals een simpele driehoek van x, y, z, bijv telefoon, eraan te koppelen, een oplaadfunctie verkrijgen... Daar komt natuurlijk wel wat bij kijken, de telefoon moet natuurlijk anders en met een emitter worden uitgerust e.d....

Dus communicatie is per links... Deze Communicatie Protocol is rechts, de vier masten creeren dit...
X, Y, Z een soort telefoon is een stroomkring, als dat koppelt, koppelt het aan een andere stroomkring op rechts en dan krijg je fluctuatie tussen links en rechts...

Wireless energy?











Toevoeging: 31/12/2022, 11:50

Zo moet de communicatie eruit zien:

Volgens mij moet de telefoon een Delta ontvanger bezitten, wil het kunnen communiceren via de Z+ axis van de mast... Z+ op Z+ dus...

En bij die andere versie is het zo dat de masten op de gornd staan en het object in de lucht, virtueel gezien... Dan hoeft het object alleen een Delta te genereren wil het communicatie onderhouden met het elektrostatisch veld, waardoor het kan voortbewegen aan de hand van een ionen emitter... Dus Z+ op Z+ en Z- op Z-....





Toevoeging: 20/03/2023, 22:15

XY = de minus
XYZ = plus gepolariseerd...

De XY kan gebruikt worden als zender en stelt de linker kruis voor, linkerveld...
De XYZ stelt de rechter kruis of Hakennkruis voor en is een rehcterveld...

Hier tussen moet dus communicatie mogelijk zijn...





Psychiatrie en Z wars...

Voor stemmen overbengen via magnetische vleden, moet eerst een Z- systeem, kan ook Z+, maar ik denk dat dat juist "interference" of ruis zou kunnen creeren waardoor dat niet kan... Dan moet je in de lucht 4 masten aanhouden in de vorm uitgelgd boven en beneden op de plaatjes te zien... Dan creer je dus een Z- veld naar beneden, dat is een doodgewone DELTA boven... De mast is dan weliswaar beneden, en zodra iemand er interactie mee heeft, zal deze stemmen horen...

Dus DELTA boven = Z- richting beneden, een gewone magneetveld dus met X, Y, Z en Z-
Beneden, een ander verhaal, namelijk dat vier masten elkaar moeten opvolgen en moeten communiceren met de DELTA...
Omdat twee magneetvelden + en -, dus N/S en S/N elkaar raken ontstaat dus +/- en dat wordt door het brein vertaald in stemmen, omdat de receptoren alleen +/- ontvangen... Dus dan heb je echt links enr ehcts nodig, wil dit lukken...

Nu zou je een mens kunnen kruizigen, volgen shet satanistische en fascistische principe en dat gebeurde ook bij mij. Dan heb je dus een omgekeerde kruis aan je geest, en dat betekent dat je links en rechts van je lichaam bent gekruisigd en dat dus het elektromagnetisch veld, gekoppeld aan de kruis en waarop het sterretje wordt gebouwd later, deze is dus S/N magnetisch veld ipv N/S. Dit betekent dus dat dit veld , zodra de hakenkruis rond is of de kruis is omgekeerd, dan is het veld dus Z- boven, Z+ beneden... Dus rechts... De Iron Cross is dus links, maar zodra deze verandert in een hakenkruis of wordt afgeleid uit een haknekruis, dus als eerst de hakenkruis wordt opgezet en dan volgt dus een 70 (hakenkruis) en een 60 (ster), dan is de Iron Cross ook gewoon rechts...

Als we ervan uitgaan dat Hitler ooit een Iron Cross heeft opgezet dan kunnen we spreken van een methode waarbij de Iron Cross dit veld representeert van RECHTS... Dus Z- boven en Z+ beneden...
Dit heeft ver strekkenden gevolgen namelijk voor de planeet, overal in de wereld kun je dit systeem bereiken mbv speciale apparatuur zoals ik heb uitgelegd... De ster , de Delta en de connector... Dus dan bezit de ruimte waarin u zich nu bevindt, al een Z+...
Of is het otch omgekeerd, dan is de Iron Cross LINKS en zou de Z+ boven en de Z- richting beneden hangen waardoor dus geen interference plaatsvindt... DIT LIJKT ER MEER OP...
Van beneden moet dus een elektrostatisch veld, van 4 x XY = 360 graden moeten worden opgezet om met dit veld te communiceren... Alhoewel mij dit zeer onhandig lijkt... Masten kun ej niet verplaatsen en zijn zwaar en groot... Dan zou het toch omgekeerd moeten, Rechts = boven, Links = beneden? Wat denkt u?
Zodra uzelf dus een kruis bezit, hangt de poalriteit ervan af of u kunt communiceren met de boosdoeners... Want zij wijzen naar u met een Z as... Zodra uzelf een Z as bezit in uw geest, kunt u met hen communiceren mbv magnetische velden...

Omdat de mens wordt voorzien van een RECHTS kruis, een omgekeerde kruis, is het zo dat bij de mens de Z+ as naar beneden wijst en de Z- as naar boven, verticaal, en de DELTA in dit geval wijst met de Z- naar benden en dat is een doodgewoon en simpel communicator, waarmee de boosdoener ons op een handige manier kan benaderen....

Dus mensen: u bezit een Z+ dat wijst naar beneden en Z- naar boven, weinigen die dit begrijpen blijkbaar... Want de boosdoener slaat zijn slag en heeft communicatie met heel de wereldbevolking, indien deze dat wil kan het iedereen bereiken waar hij ook is, tenzij helemaal afgeschermd van magnetisme... (!?)





A different approach: 31/12/2022, 17:55





De Antichrist en de Satan, bezitten geen cijfers, dus geen "kafir", geen "mumin"...

De antichrist, Satan en zijn belangrijkste metgezellen bezitten helemaal geen "magische cijfers" zoals we die kennen van cins en mensen. Mensen bezitten een cijfercombinatie van tientallen, cins hebben een rare soort Latijns/Romeinse cijfers... Maar dit betekent niet dat de Antichrist en de Satan ook cijfers bezitten, zij hebben dit juist niet... Als je hun cijfer wil zien, dan zie je een object verschijnen in de vorm van een piramide of triangel... Ook een ander object is mogelijk natuurlijk... Denk aan een soort Groene of Donkere toren...

Wat ik dus probeer uit te leggen, is dat de foute visie is, dat deze duivels met hun eigen systeem kunnen worden bereikt! Dat is net zoiets als hacken van Microsoft door gebruik te maken van Windows... Ik denk dat Microsoft wel wint...

Dus de visie van de Soefi's en Alevieten omtrent "kafir" en "mumin" en dat de grote Antichrist "kafir" zou zijn en al deze "goede moslims" zouden dit weten via psychotica... Dat verhaal klopt dus van geen kant, behalve dat ze dus geloven in psychotische verschijnselen... Als je geen cijfers bezit, kun je namelijk nooit een geestesverstrengeling hebben en zeker niet vastgemaakt aan onze "slavensysteem" van de regenboog en het hakenkruis...

Dat Quantum verstrengeling bestaat, ok, de Antichrist zoekt naar een soort momentum, dat ik in een boek DNA match heb genoemd, maar gelooft u mij, denkt u echt dat de antichrist en de Satan zichzelf aan het systeem van de normale mensen hebben vastgemaakt...?

Jammer dat naieve mensen de overhand heben in sommige delen van de wereld...!

Dit staat overigens in de "Rivayet", en dat is ook niet altijd goed/juist... Daarin staan nog weleens heel veel vreemde en onjuiste bewoordingen, ook over de profeet Mohammed en de heilige Ali...


Toevoeging:

En denk goed na, als we allemaal moeten vechten in Arasat, na het einde van de wereld, hoe verklaar je dan dat de dajjaal als drie na laatste doodgaat? Als men kafir ziet bij iemand, dan kun je hem iets aandoen, dat is juist de fitna... Bij SATans volk zul je niks aantreffen, is zekerheid. Bij cins en mensen wel, want die zijn onschuldig en die wil hij allemaal dood, door DNA match, via quantum entenglement theory (idereen kafir/mumin (Mark of the Beast).

Toevoeging:

Antichristenen hebben dus heel veel met ALCHEMIE en dat willen ze nooit laten merken...


Quantum data transfer en communicatie... 23/08/2022, 10:45

Dezelfde composiet volgens deze stappen is antigravity motor van 360 graden gewichtsloosheid...


Stap 1 tot en met 7 zijn belangrijk bij quantum data transfer... Zie nummer 515 van de home/index pagina.
Het gaat erom dat hierbij de stappen 1 tot en met 7 worden toegepast op deze manier, wil een juiste transfer plaatsvinden:

Stappen:

1,2
3,4,5,6,7
3,4,5,6,7
3,4,5,6,7
3,4,5,6,7
2,1

Hierbij is het belangrijk te beseffen dat bijvoorbeeld een ion verandert van polariteit bij stap 1 en 2, dus ontstaat er een magnetische energie van 90 graden (DELTA XY as)...
Om nu 360 graden te bereiken, moeten we dit proces nog eens drie keer herhalen... 90 x 4 = 360 en dan weer terug naar 2 en daarna 1 (pole position)...

Dus na stap 1 en 2, vernadert de polariteit van de ion en ontstaat er 90 graden energie, vervolgens wordt deze energie omgekeerd/gespiegeld in richting en versnelt het bij stap 3 en 4... De counterforce zorgt voor extra snelheid, deze stappen 5 tot en met 7 zijn wellicht optioneel te noemen, maar ik denk dat ze wel passen in het geheel.

Dan vraag ik mij dus af of je de stappen 1 en 2 telkens moet herhalen of alleen de stappen 3 tot en met 7... Ik denk dus 3 tot en met 7... En volgens mij is dit een zeer goede theorie...


Toevoeging: 23/08/2022, 15:30

Wellicht moet stap 5 tot en met 7 maar 1 keer op het eind? Zo:

1,2
3,4
3,4
3,4
3,4,5,6,7
2,1


Toevoeging: 23/08/2022, 15:45

Wellicht zo? Logischer (???) omdat hier weldegelijk de ion omdraait, maar dat doet het bij de vorige versies niet dan?

1,2,3
1,2,3
1,2,3
1,2,3,4,5,6,7
2,1


Camouflage en schild in theorie... 12/08/2022, 12:25

Een schild ter verdediging kan aangemaakt worden m.b.v. een geluidsbarriere... Dit is eerder uitgelegd door mij... Je creert een structuur en zorgt ervoor dat de geluidsbarriere van mach 1 wordt gepasseerd door bijv. zeer hoge tonen... Dit lijkt mij toch zeer moeilijk omdat je toch dat frequentie niet in de gewenste richting krijgt...

Daarom moet je kijken naar uitvinding nummer 515, waarbij wordt getracht antigravity te forceren... Als op een bepaalde manier een object, al dan niet virtueel gezien zich in anti gravity bevindt, dus de eerste twee plaatjes heeft gepasseerd, daarna moet ook nog plaatje drie worden gewaved, nu heb je virtueel gezien een barriere, dat zich op een bepaald afstand gaat voordoen en dat dus een repulserende werking geeft... Dus een combinatie van hoge tonen en een schakeling tussen elektromagnetische velden zou al voor een schild moeten zorgen... Dit kan zowel voor camouflage als met functie, repulsie kunnen werken...

Dus plaatje 1 tot en met 3 is schild/barriere vorming, het magnetisme keert en er ontstaat een barriere...


Het einde van de wereld door "spirit alignment" en Mark of the Beast...

We krijgen vanuit satanistische/paganistische en fascistische groeperingen te maken met het kruizen van de geest van de mens... Deze groeperingen staan eerlijk gezegd veelal onder bewind van landen over heel de wereld. Bijna alle landen ongeveer doen mee met het LGBT gebeuren en de andere landen mogen niet klagen want zij kruizen ook mensen of plaatsen de Davidsster dat symbool staat voor de regenboog en de kubuswereld, een soort wereld van slavernij, waarbij Big Brother wil bereiken dat mensen een soort robots gaan worden, die naar hem zullen luisteren... Maar wat is nou zijn echte doelstelling? Hoe bereikt hij het einde van de wereld door middel van de Davidsster en het kruizen van de mensen...?
Het is eigenlijk het principe van een veertje, zodra je een veertje doortrekt en loslaat dan gaat het terugkomen...
Zo creeert de duivel een samenleving dat dus gehoorzaamd en bij iedereen een Davidsster plaatst en zijn trouwe volgelingen beweren dus dat deze oog van het hart, of Hamsa heilig is...

Hoe gaat de aarde nu kantelen, wat de einde van de wereld gaat inluiden, een periode van naar schatting 100 jaar later, zal de aarde vergaan...?

Doordat elke kubus (Davidsster) een magnetisch deeltje voorstelt, namelijk een DELTA, dat wordt opgesloten in ons... Daarom moet je bedenken dat energie = actie = reactie... De duivels en zijn leger bezitten namelijk de actieve powers... Wij kubusmensen bezitten de passieve energie, namelijk de straling van de regenboog.... Ook die actieve energie is straling, maar die is duister, hoe de duivels die reguleren, is mij niet duidelijk... De zwarte regenboog als tegenkracht (schaduwzijde)
Vanaf nummer 1 tot aan de laagste mensen, dus alle mensen probeert hij te kruizen en te koppelen aan twee stervormen, namelijk de vijfster en de zesster, waarna hij iets gaat proberen, en dan vraag ik mij af, wie hij gaat vermoorden?
Hij gaat iemand vermoorden, is dat Jezus? Hij gaat iemand vermoorden, door de drukverschillen...


Technisch en waarom de aarde gaat kantelen als het zo doorgaat...

Door de kruisvorm, het draaien en opsluiten, ontstaat in het lichaam een DELTA, electromagnetisch deeltje dat wordt vastgezet door de stervormen... Dan moet je afvragen of je nu wel een normale polariteit bezit, een Davidsster zorgt voor een verticale as met een koppeling naar boven richting de ruimte... Dat iss tandaard en dat becijfert men met het getal 60... En de hakenkruis is dan 70... Namelijk 72 - 2 = 70... 58 (Iron Cross) + 2 = 60... U ziet twee prisma's verlaten de hakenkruis en zitten en combineren links en rechts met het oog...
Doordat de 60 ontstaat, ontstaat ook een verticaal omdat de polariteit switched van minus naar +, in ieder geval het is een + = 60...
De 60 zorgt dat wij dus eigenlijk volgens de mainframe op zijn kop staan. De mainframe is het oeroud systeem waarvan de duivel gebruik maakt, ook bekend van het fenomeen van Zulkarneyn die via dit soort systeem een muur plaatste waardoor zij (Gog en Magog) niet meer de aarde konden bereiken...
Omdat wij dan een dfeeltje bezitten dat S/N is (+), dan moet ik concluderen dat wij dus omgekeerd op het systeem staan, dus de duivels en hun leger staan lijn recht, wij ondersteboven, volgens het systeem. Dit is een detal...
Want wat hij eigenlij uiteindelijk wil, is dat hij de regenboog en zwarte regenboog gaat swappen... Dit gaat tot drukverschillen leiden en kan tot de dood leiden van enkelen, maar wie targetten deze (de duivel en antichrist) echt?
Op een gegeven moment ontstaat een soort DNA match en spirit alignment, dat de mensen volledig afhankelijk van deit systeem gaan leven en blindelings vertrouwen op hun psychoses... The mark of the Beast heeft ermee te maken want dat is de (DNA) mutatie vanaf de geboorte waarvan deze duivel gebruik maakt.

De aarde gaat kantelen zodra de Duivel op de knop drukt, eigenlijk wil de duivel dat de engel Israfil blaast in een instrument... Maar dit betekent het volgende, dit intstrument is simpelweg gewoon een knopje en deze doet het hele systeem omkeren in een keer! Dus alle mensen gaan normaal kunnen staan en alle duivels keren richting S/N... Hierdoor gaat in een keer een energie ontstaan dat niet te onderschatten is... Dus als alle mensen in een keer hun kruis zien omkeren en hun magneetveld zien omdraaien van - naar + en van + naar -, dan verkrijg je volgens mij het effect dat deze energie van 90 graden magnetisme per mens voor een onwijs hoge drukveld kan zorgen... Wellicht kan dit betekenen dat de aarde dan slagzij doet...

U moet het zo voorstellen dat het hele magentisch veld van de aarde nu al verstoord is... Dat is volgens wetenschappers bevestigd... Hoe dit kan, is een raadsel volgens hen... Ik verdenk de Duivel... Door het systeem van kruis op ster en de gevolgen ervan is dit fenomeen! U denkt wellicht van, wat kan het schelen, een mens met een magnetisch deeltje e.d. domme gedachtes, maar hij maakt ons ziek en hij creeert de voorwaarden om mensen te vermoorden en uiteindelijk iedereen en daarmee ook de aarde doet kiepren en wegbranden... Door simpelweg een trrucje van de eindboss, het omieperen van de polariteit...

Door de bomen, de end boss niet meer zien...!


Gevallen engelen in de Bijbel staan voor duivels of voor gesneuvelde/gevangen engelen?

In de Islam heb je het begrip engel en duivels en onderling voeren zij strijd, en daarbij komen engelen ook om en sommigen worden wellicht zlefs gevangen genomen...
De christenen worden door sommige groeperingen volgens mij in de war gebracht met o.a. de term "gevallen engelen..."

Iemand heeft ooit eens bepaald dat de term gevallen staat voor duivelse engelen... En sindsdien, door ook nog eens de vele poppenkasten en theater van echte duivels zijn mensen erin gaan geloven dat engelen die verliezen duivels moeten voorstellen en dus gevallen engelen moeten zijn...

Ook wordt er verwezen naar de Satan, die volgens hen een van de engelen is... Die wordt wel afgeschilderd als een duivel, terecht natuurlijk, maar daarna wordt er naar hem verwezen als de duivel... Raar, want ook de engelen die worden afgebeeld, zijn niet goed afgebeeld, met witte grote vleugels... Terwijl engelen hele aparte vleugels hebben zoals dat van een libelle, en niet twee vleugels maar soms 100 tegelijk.

Maar in de Bijbel wordt ook verteld over Adam en Eva, daarin wordt de duivel blijkbaar afgeschilderd als een gevallen engel... Volgens de Koran is deze geen gevallen engel maar een djinn, een alien, dat tezamen met Adam in de hemel leefde...


Vrijdaggebed volgens de Hicri kalander is eigenlijk veroorlooft volgens de echte Soenna...

Dus ik heb gekeken en vandaag schijnt het de 10 van de maand te zijn, dat is woensdag, dan woensdag Europese tijd zou de vrijdagsgebed moeten plaatsvinden...

https://hamariweb.com/islam/islamic-calendar.aspx

Wie een kuil graaft voor de duivel/een ander...


Je moet het zo zien dat een mensen en duivels electromagnetische velden dragen door toedoen van de duviels zelf... De mens is omgekeerd gepolaiseerd aan de duivelse leger...
Als wij +/- veld bezitten in ons lichaam, dan bezit de duivel een plus veld. Als wij een + bezitten dan bezitten zij een +/-...
Ditr is de valstrik voor de mens... Zodra de mens door een plus electromagentisch veld gaat, dan entert deze een horizontale lijn richting een andere +/- en entert een dimensie en gaat richting vergetelheid...

Alle mensen, die een Davidsster bezitten, bezitten dus een plusje... De zogenaamde Kubusvolk of regenboog of laagste klasse...

Als de duivel (-) erin gaat, gaat hij horizontaal en jij gaat dan in een andere dimensie, dit keer naar boven...





Hier plaatst een vernuftig mens een elektromagnetisch veld, direct na de plus, waarna de duivel en de mensen richting horizontaal gaan... Om de duivel vervolgens te lanceren zal de duivel een minus gebruiken, de rest die hem volgen, zullen wellicht alsnog sterven of gevangen worden genomen...

Je zou dus ook daar een elektromagnetisch veld moeten plaatsen... Namelijk + op + = -, vervolgens pas door de portaal van de duivel... - op - is + = vlucht naar boven... Dan moet dit natuurlijk met een heel leger!

Dus u ziet hoe belangrijk de werking van de + is... De + verkrijg je dus door een hakenkruis te plaatsen aan de geest van een mens, of een kruis en die omkeren... Vervolgens plaats je de vijfster... Het gaat hier om 4 kruizen tegelijk, waarna dus een XY, XY, XY, XY = Z+ as en + polariteit ontstaat... Dus vier kruizen, vier vijfsterren en vier davidssterren... De davidsster is eigenlijk de +... Want twee prisma's of ogen van de hakenkruis (72 in totaal) vallen terug naar 58 of de kruis (iron cross) waarna dit getal 60 wordt en op een bepaalde ingenieuze manier wordt dit mens een + >>> dus 60 = +, 58 = -...

Het verschil tussen + en - bepaalt straks of onze mensen succes hebben of niet!

U begrijpt, dit is de oorlog in de portalen... De duivel en zijn leger maken hiervan gebruik...! Dus Gog en Magog waarschijnlijk ook!

En Gog en Magog zijn niet de Turken, sommige idioten die dat zouden beweren!

De oranje driehoek is dus de DELTA, die de mensen (Davidsster) hebben gezet...





Antigravity op een andere manier uitgelegd... 31/07/2022, 17:30



U ziet de afbeelding... Normaliter als met een rotor wordt geblazen richting beneden gaat een ionenstroom richting boven... Als ik het goed heb, is dit de zwaartekracht dat probeert het gevaarte beneden te hoduen, totdat natuurlijk bijv. bij een helicopter een bepaalde snelheid wordt bereikt dat het gevaarte doet stijgen... Maar het gaat dus om de ionenstroom, de tegenkracht dat wordt geboden, die is omgekeerd. U ziet dat bij "normal flow", in het donkergroen aangegeven de wind en in het lichtgroen de ionenstroom... Bijv. 1 = wind naar beneden = ionenstroom naar boven...

Nu kunnen we dit effect vergroten door plaatje 2 te gebruiken... We plaatsen een soort disk om de rotor... Een ronde disk... Gewoon platen in de rondte dus, maar deze plaatsen we aan een schakelaar, die schakelt tussen + en -, zie brushsysteem als voorbeeld van hoe dat daarmee ook kan, schakelen tusseen + en - kan ook met een brush systeem! Dit is + en - schakelen creeert een vortex beweging om de rotor, dat ook voor een kracht zorgt... Dit zorgt ervoor dat nog meer ionen door de disk naar beneden of boven worden gezogen. Stel je plaatst zulk een disk boven een helicopter, dan trek je meer ionen naar boven en dat betekent automatisch dat je meer wind zult creeren, kracht = antikracht... Bij een helicopter heb je volgens mij te maken met een soort bijna vacuum die je krijgt door de spin... Maar dat doet er even niet toe.



Afbeelding 1:





Afbeelding 2:

In het rood de platen, een soort disk aan een rotor van een helicopter oif een vergelijkbaar object dat moet vliegen...





Afbeelding 3:

Om antigravity te bereiken, moet men dus 4 Delta's laten ontstaan en die 4 Delta's aan elkaar koppelen, zodanig dat men een Z+ as bereikt. Namelijk 4 x +/- = +, dit is gelijk aan 4 x XY = Z+
Het maakt dus uit hoe je deze 4 electromagnetische velden opzet, voor het bereiken van een Z+ as... Je moet ze gekoppeld hebben!

Doordat je hebt 4 x XY = Z+, zal nu een soort backscatter - effect ontstaan, waarbij de dionen dezelfde richting als de wind gaat... Bij backscatter gaan namelijk ionen in dezelfde richting als de wind... Bijna actie is actie effect, maar het blijft reactie hoor! Het is alleen de omgekeerde richting, iets tussen N/S en S/N en + en -... Bij backscatter technologie is het ook zo dat zodra de ionen terugstralen met een andere polariteit dus, stel dat dit zou geburen met een composiet broeikas zoals ik had uitgevonden in 2010, dan gaat zowel de wind als de ionenstraal naar achteren... Wat dus aangegeven is bij Antigravity 1 en 2 = dus een soort backscatter - effect, dat ik probeer te beschrijven...

Zodra je dus Z+ hebt, heb je bovendien ook een ionenstroom van + polariteit dat dus ook naar beneden stroomt, dat zorgt voor antigravity... Dus zowel de wind als de ionenstroom van + ionen stroomt dan naar beneden... Dit zorgt voor aandrijving...




XYZ voor het creeren van een elektromagnetisch veld (delta) en hiermee geluid overbrengen?... 8/07/2022, 19:21


Ik denk dat ik door heb hoe bepaalde soorten mensen andere mensen in een magneetveld stoppen en deze mens kunnen benaderen via influisteren via gewone simpele radio's en geluid...

Zie beneden...

Donker en lichtgroen maakt eigenlijk niet veel uit hier...
De X en Y zijn op dezelfde verdieping, horizontaal en de Z is op de bovenste of onderste etage...
Lang heeft mij dit beziggehouden als slachtoffer van hen, maar ik denk ze door te hebben...
De Delta weerspiegelt een electromagnetisch veld van 90 graden...
Let op dat ze volgens mij een soort plasmabol/reactor gebruiken om een de omgekeerde kruis te voeden... Ze zetten de kruis in de reactor... De energiebeweging houdt de kruis instand...
Om de kruis te keren, moeten ze de kruis door een X, Y, Z en Z- veld brengen, waarna het gaat draaien, dit kan dus door de antigravity technieken e.d. De omgekeerde kruis is om de stroomkring rond te krijgen...


De afbeelding is 1 delta, voor antigravity dus 8 delta's nodig, dus om een kruis te keren ook, 8 delta's van Z+, dus in totaal 24 scanners/radio's...











Ondetecteerbaar/onvindbaar, camouflage?


U ziet beneden twee soorten transparant materiaal, waarvan moet worden gedacht dat materiaal 1, licht sterk buigt naar rechts, en dat de membraan ertussen dit effect versterkt en dat de membraan deze licht probeert te weer kaatsen richting 45 graden naar tegenovergestelde richting, zie rode pijltjes...

Dan heb je dus twee van dezelfde materiaal voor en achter, die dus in eerste instantie 45 graden buigt, en vervolgens in tweede instantie ook weer 45 graden... Met deze theorie zouden dan 4 lagen licht totaal reflecteren moeten...

De membranen moeten elektromagnetische strtalen opvangen, doortrekken en vervolgens terug backscatteren...







N/S en S/N hovering icm backscattertechnologie...02/08/2021, 23:25 Belangrijk voor alle landen ivm bijbenen van de techniek... De vliegende mensheid... Dit is dus niet op de manier van duivels e.d. zij doen dit via zichzelf verheven boven de mensen, via een soort hele duivelse techniek, waarbij ze inbreuk doen op de geest van de mensen... Dat verheven gebeurt uiteindelijk automatisch doordat door de backscatter SinA, doordat het duivelse apparatuur wat de stomme volk gebruikt, door een koude en warme front automatisch een Arabische H vorm laat ontstaan, een trucje van de duivelse baas van hen... Dus die apparaten werken wel, maar er zit een soort trucje aan vast... Eigenlijk ook goede technologie, een Arabische H kan namelijk voor het creeren van een hologram worden gebruikt met spiegeltechnologie e.d. Het duivels volk misbruikt dit soort technieken en gebruikt deze voor doeleinden, waarmee ze zowel de geest van mensen manipuleren als ook voor het creeren van hologrammen boven de lucht voor manipulatie op een ander niveau...

Het gaat om de halfgeleider van 2011. U begrijpt via een dubbele signaal, dus een resonerende signaal, dat zijn twee fases/frequenties in elkaar, verkrijg je een N/S polariteit... Dit kun je in de lucht houden, dit soort signalen, of een soort van stralingsgebied creeren, waarbinnen een N/S magnetisch veld straalt...

Nu, door een halffabricaat, zoals die uit het archief te nemen, of een soortgelijke backscatter apparaat te koppelen aan dit resonerende signaal, kun je hoveren... Want backscatter is namelijk S/N... Een tegengestelde kracht is dus S/N gepolariseerd...

Dus door N/S en S/N (backscatter) te koppelen, zou je al een opwaarte kracht kunnen genereren... Alleen moet je dus deze backscatter apparaat een beetje modificeren, zodat dus net als bij mijn halffabricaat met de SIKKEL, door een ontvanger te creeren, die deze krommende frequentie opvangt en deze weer terugstraalt, waarbij dus een continue draai of sluitende circuit onstaat...

Je gaat dus eerst resoneren, net als bij een normale radio, met een frequentie vooruit dus... Het enige wat je extra moet doen, is dus een stralingsenergie naar achteren creeren, dit kan op verschillende manieren, maar de beste is denk ik door twee stralingsgebieden, dus twee kleurtjes (frequenties) te kiezen, die elkaar overlappen en die icm gassen (optioneel) terug te stralen... Wat je hiervoor nodig hebt, is niet zo simpel, je hebt een soort energiestroom nodig, waarbij lucht gaat stromen, van voor naar achteren, vanaf de inlaat naar achteren... Zie voor details halffabricaat 2011 in het oude archief 3. Let vooral op dat een draad wordt getrokken vanaf het begin naar het eind en dan weer terug, voor de echo en dus ook voor de draaieffect, vervanger van de propeller...

Dus een resonerende signaal naar voren en eentje laten ontstaan naar achteren, brengt een Sin op...

Het gaat er alleen wel om dat voor de luchtstroom een waarde wordt gekozen, een krommingshoek, zoals stel 3,14 graden, en dat wanneer deze volgens Cone fictive pendel gaat draaien, dat de backscatterstraal bovenaan een andere krommingshoek wordt... Zoals 3,33 graden... Dit is wel belangrijk voor een een continue luchtstoom en hiermee bereik je dat vanzelf een betere doorstroom wordt bereitk ivm aerodynamica effecten e.d. Eigenlijk gaat het om een soort elektromagnetisch gebied dat dan gaat ontstaan, dus dat kleine verschilletje zorgt voor een soort elektromagnetisch veld in de radio, dat dan ook nog ionen of elektronen gaat aantrekken, dus het effect wordt sterker, betere kromming...

Dus nu het backscattered, zul je ook nog een kromme signaal naar voren krijgen... Dus een eliptisch signaal naar voren ontstaat, dat dus ontstaat als tegengestelde kracht... Een kracht naar voren, betekent een kracht naar achteren en andersom dus... Dus kromme naar achteren, brengt een kromme naar voren totstand... Deze kromme signaal naar voren kun je uiteindelijk zenden en vervolgens moet je het ook nog ontvangen... In een hoek van 3,33 graden moet je dit volgens mij doen... Ivm Casimir effect... Dit signaal noem ik een SinA (Sin is een Arabische letter), vanwege de vorm... De ontvanger is omgekeerd gepolariseerd, en is een omgekeerde Sin... Dus ik noem het een SadA... Uiteindelijk moet de ontvanger en zender werken aan de hand van polariteit of + en -...

Dus nu moet men alleen nog het circuit sluiten door de resonerende signaal dat je zendt terug te ontvangen, net als bij de SinA dus met polariteitverschillen, dit kan ook met huidige technieken met gewone radiozender en ontvangst via Schumann resonator en ontvanger (+ en -)...

Zodra dus de SinA en de SadA elkaar vinden en er een continue circuit ontstaat dan kun je er bijna mee vliegen... Er moet alleen nog iets met de SadA gebeuren...

Dus de resonerende frequentie in de lucht (N/S) trekt de resonerende frequentie dat uitgezonden wordt vanaf de radio (+) aan, dit komt neer op een + naar een - beweging in de lucht... Zo ontstaat voortstuwing aan de hand van magnetisme en frequenties/straling...

Methode 1: stel dat we N/S hebben in de lucht of nabij de radio, dan is dat een N/S polariteit... Nu de zender stel S/N polariteit uitzendt en het valt binnen het stralingsbereik, dan kan het omhoog...

Methode 2: bij deze methode moet duidelijk twee zenders stralen, net als bij de vorige, maar moet een soort tussenschakel/halffabricaat zorgen voor een connectie, waardoor de radio/halffabricaat ook weer gaat stijgen...

Toevoeging: door 4 x backscatter halffabricaten te gebruiken, kun je antigravity bereiken...

Dus 4 x 45 graden = 180 = 360 antigravity...


Radioactiviteit weghalen door een elektromagnetisch gebied te creeren in het stralingsgebied...29/12/2020, 18:35

Zoals nummer 372...

Stel je plaats een betavervalreactor in een stralignsgebied, bij bepaalde kernrampen onstaat zulk een gebied. Een plek waar geioniseerde straling vat heeft op het gebied...Dit pelk kan wellicht een kelin beete worden geholpen door een elektromagnetisch gebied te creeren, vervolgens, een circulatie garanderen. Van dus ionen die worden gevangen uit dit stralingsgebied...Heb je verder niks voor nodig denk ik op het eerste gezicht. Wellicht sommige neutronenbollen voor stabilisatie...

Om de werking een beetje uit te leggen, moet je begrijpen dat een elektromagnetisch veld altijd ionen of elektronen aantrekt. Dan gaat het hier om een circulatie, de circuits zijn ook gegeven, wellicht voor verbetering vatbaar. Dus de ionen moeten circuleren en ook het elektrische circuit moet kloppen...

De spoel gekoppeld aan dit elektromagnetisch gebied, doet wat ervan verwacht wordt. Namelijk het omzetten van "straling" in elektriciteit, want zodra een circulatie van elektronen, ionen en neutronenbollen in de spoel plaatsvindt in het elektormagnetisch gebied veroorzaakt door een apparatus, dan ontstaat dus erboven nog een elektromagnetisch gebied in principe, maar deze kun je afromen...Deze staat dus niet onder spanning, maar creeert stroom...Dus kun je via geioniseerde straling uiteindelijk elektriciteit opwekken en ook het gebied een beetje zuiveren van het ionenregen...


Voorbeelden:








In een spin/rotatie:





Waarom er een verschil bestaat tussen interpretatie vanuit islam en vanuit het christendom over wat de Heilige Geest wel is?


Ik wil dit kort houden, sinds het jaar 0, is iets raars gebeurd, de christenen beschrijven dit als de kruisiging van de profeet, de islamieten vertellen dat een ander voor hem is gestorven...Uiteindelijk is wel iets gebeurd met de profeet, die is nergens te bekennen...De islamieten verklaren dit door te zeggen, "Allah heeft hem meegenomen."

Nou moet ik zeggen dat de Heilige Geest volgens de islamieten bestaat uit sterrenbeelden van alle levenden en die levensenergie tezamen vormt de Heilige Geest, dat is de kracht van de engel Gabriel, de hoogste in rang. Zonder deze engel is geen leven mogelijk, behalve het leven van God/Allah. Elk sterrenbeeld wordt gevormd door twee engelencombinaties...Elk mens heeft dus een sterrenbeeld...

Wat de duivel doet, is steeds een verstrengeling veroorzaken in de geesten van alle mensen, "elk kind wordt in de baarmoeder verstrengeld door de duivels," ik denk dat dit kan worden opgevat als the Mark of the Beast...Sommigen denken dat menselijke inplantaten dit zijn, ik denk echter, dat dat ook wel een gevaar is, maar dat geestesverstrengeling zie ik niet zo snel gebeuren met een inplant, wie weet. Ik ben zelf tegen inplantatie met trackers e.d.

Deze geestesverstrengeling heeft als kenmerk dat mensen aan een soort systeem worden gehangen, via duivelse sterrenbeelden, gehaakt aan het eigen...De zogenaamde Mandala op Mandala verhaal van eerder. 

Ik denk zelf dat de duivel een spelletje speelt met de mensen, dat is wel duidelijk denk ik. Alleen mensen durven niet te verklaren wat ze willen aangeven. Ik denk namelijk dat de Heilige Geest echt Gabriel is, maar dat de duivel via geestesverstrengeling ook een Heilige Geest heeft ontworpen, die benoem ik in mijn boek dus met St Wortel...De Wortel en de St Wortel van het leven.


Waarom deze benaming..?

Ik denk namelijk dat ten minste onze profeet en anderen waarschijnlijk zijn gehaakt door de duivel aan dit systeem, vervolgens tracht de duivel nu iedereen te haken aan de profeet en anderen...Ik herinner me dat iets in de Bijbel voorkomt als dat de profeet zei dat hij over een energie beschikte en dat dit tegenwoordig, verspreid over iedereen, deze energie gaat bezitten...(???) U begrijpt, ik weet niet meer wat het precies was, wat er in staat...Kwam een keer voorbij.

Nu moet ik zeggen dat volgens de islamieten de duivel iedereen kenmerkt met Kafir en Mumin...Volgens de islamieten is een van deze kafirs echter een antichrist...Ik vind dit raar aangezien de duivel uiteindelijk bepaalt wie de antichrist wordt...Dit is afgeleid uit Hadith en andere boeken en niet vanuit de Koran, daar staat dit niet in.

Doordat telkens Kafir en Mumin aan elkaar worden gehaakt, boven en onder (Mumin dus, en wellicht kan het ook op zijn kop later?) en dus ook wordt gekoppeld aan deze mensen, ontstaat het effect dat een tweede Heilige Geest zich gaat vormen...Dit is echter die Geest, die wij moeten trachten te overwinnen, willen we de profeet en anderen wellicht op een goede manier terughalen. Een goede manier is dus zonder zijn profetie, dus het sterrenbeeld "Ahmed" te schaden, dit kan alleen door deze gebroken sterrenbeeld te herstellen! En ik denk niet dat dit de manier is van tegenwoordig, herstellen zit er even volgens mij niet in, het is meer Paganisme geworden, met kruis, hakenkruis en paganistische kruis en vervolgens de sterretje om mensen voor eeuwig op te sluiten, te verstrengelen.

Dus zodra het sterrenbeeld van de profeet is hersteld, kan de aarde en het universum opgelucht adem halen. De manier is dus om te stoppen met deze vorm van spiritualitiet, en door de gehaakte en "bezeten" mensen te herstellen en dus niet verder te confronteren.

Tegenwoordig zijn niet alleen christenen bezig, ook zogenaamde islamieten zijn bezig met verstrengeling, zogenaamd doen ze allen aan uitdrijving, maar sommigen hebben het openlijk over aanhaken van sterretjes e.d. Dat is dus niet de bedoeling, het moet allemaal weg. Zodra het sterrenbeeld intact is, zal de profeet terug kunnen keren...Als een waardig profeet.

Islamieten hebben het ook over een andere scenario...

Een zwarte scenario die verklaart eigenlijk een soort doomsday...Waarbij de wereld moet vergaan, 100 jaar na de komst van de profeet, die dus in dit geval niet het sterrenbeeld "Ahmed" zal dragen.  Ook de boodschapper(s), zal/zullen niet "Ahmed" dragen. Dan is wellicht nog een eindstreid mogelijk om te herstellen, maar wellicht is dat weer te moeilijk?

Dus geloven in "laatste profeet is Mohammed" en "wachten" op het einde van de wereld? Of zoals waarschijnlijk Mohammed zou zeggen, vechten voor vrijheid en opofferingen doen voor de mensheid?

Ik denk dus dat de wereld moet opletten dat het niet uit de hand loopt en alles openlijk uitmondt in satanisme, en dat de duivel niet wint...Anders hebben we wellicht wel de "profeet," maar straks nog maar 100 jaar over! En juist dan zouden we ook te maken kunnen krijgen met GOG en MAGOG.

Ik hoop dat de wereld begrijpt dat de situatie menens is en dat het magnetisch evenwicht van de aarde de sleutel is tot succes...Tegenwoordig is de aarde in onbalans...De polen hellen iets...


Schizofrenie oorzaken vanuit het lichaam, dus de technische theorie is anders dan de biologische kenmerken?


Receptoren die mogelijk een rol spelen, zelf bepalen...Ik ben er nog niet over uit! Ik zou zeggen CGSNO is gevaarlijker dan dopamine ivm schizofrenie en ook andere ziektes, dit lijkt voor mij logica, mijn eerste indruk...

Probleem is ook dat ammonium een toevoeging wordt bij de meeste mensen, waarbij het lijkt alsof ammonia met iets reageert, waarschijnlijk a- ketoglutaraat, waarbij het een energie veroorzaakt en ook ontstaat een kringloop van NADP, hoe dan ook is ook dit stofje zeer gevaarlijk voor psychotische mensen, lijkt het mij... Hoe dan ook zorgen bacterien, parasieten en virussen voor het ontstaan van ammonia in het lichaam en daarna wordt het hele proces/metabolisme van de mens beinvloed...

Over dopamine moet ik nog verder lezen...


Toevoeging:

https://www.thiolswitches.de/projekte/LuiseKrautSiegelSPP1710Summary.pdf

Toevoeging:

Voor dokters een link:

https://www.selleckchem.com/search.html?searchDTO.searchParam=thioredoxin%20reductase&sp=thioredoxin%2520reductase

Toevoeging voor sulfamic acid en metalen:

https://solvomet.eu/wp-content/uploads/2017/05/389SulfamicAcid.pdf

Toevoeging:

https://www.ncbi.nlm.nih.gov/pmc/articles/PMC5459893/


Plaatje verandert op 29/10/2022, 10:00

Suiker weggehaald: 8/09/2023, 19:50

Ivm Taurine en ijzer de verandering...







Dit was het eerste plaatje, ik denk dat vanuit de viruscell spike de verbindingen anders zijn, ipv H en H en SO2, verbindt het volgens mij aan SS en SH-SH bonds...De vraag is dan of uberhaupt wel zwavelzuur ontstaat, wellicht niet, ammoniumsulfaat kan ontstaan via SH-SH verbinden aan SSG protein enz...Zie bovenaan!





Insuline:





MANDALA 2...Weer een uitleg, hoe dit eruit ziet, twee afbeeldingen...09/12/2020, 15:42


Stel dat dit de draaibeweging is van iemand zijn geest op aarde...De zogenaamde MANDALA, dat is goed, dat is natuurlijk en dat bezit elk van mens van nature, het sterrenbeeld, draait namelijk een op deze vorm lijkende rondje...De aarde zelf draait ook een rondje zoals deze soort, het draait een MANDALA uiteindelijk...





Dit is het hoofd van een schizofreen, die op welke wijze dan ook een chakra bezit, en die anderen die ook de techniek bezitten en alles en iedereen kan nu met deze mens spotten...Wellicht is het een deja-vu, want we worden echt bespottelijk gemaakt via deze technieken...Onze strerrenbeeld wordt gehaakt aan een tweede Mandala, dat steeds ronddraait...We krijgen wij dus hoe dan ook een tweede MANDALA.

End an heb ikn aangegeven dat dit niet spoort en hoort, er is geen duvieluitdrijving via de hakenkruis en sterretjes e.d. Maar zoals de profeet Mozes al had aangegeven, er zou een tijd komen dat alle volkeren hierin zouden gaan geloven...

Dit is dus een praktijk, die zelfs door zogenaamde Islamitische geleerden wordt erkend, namelijk o.a. de Turkse Gulenisten en Soefi's. Ze hebben het over het aanbengen van een sterretje...Dit heb ik in Turkije gehoord van sommigen, die ook daarin geloven. Maar dit is dus wereldwijd bekend en alle Metselaren doen er schijnheilig over, maar het is bekend!

Hoed an ook wordt het lichaam gehaakt, dat doen ze met eerst een kruis 10, daarna de poalriteit, de vier stippen 20, daarna de 28 dus de Z erin waven en ook omdraaien van de +, de kruis tot een X...Daarna wordt de 12 opgezet, de stroom, vervolgens laten zij denk ik de 12 vallen en gaan wordt de - blijvend een +, namelijk de 60, omdat - en - = + aan beide kanten. Sommigen en ik ook zien twee Arabische "vav" letters...Die zij vervolgens omdraaien...Dus zodra je weer de polariteit verandert valt de 60 uit elkaar! wrodt het weer 58 overigens, meoten ze weer haken en ogen creeren...

De sterretjes volgens altijd na de 70, dus nadat de hakenrkuis is geplaatst, doen ze dat. Eerst zetten ze dan een Pagankruis (kubus), vervolgens een Sterretje (driehoek)...

Of ze eerst een sterretje plaatsen na de 70 of eerst laten vallen en een 60 creeren, weet ik nog niet!





Nog een aanwijzing:

Volkeren, die openlijk geloven in magie en satanisme/paganisme en hier voor uitkomen, volgens sommigen is het boze oog heilig, dit is hun element, die aan de sterretjes verbindt, een soort boven en onder, "met de grond gelijkmaken," is dit volgens mij...

Volgens de Hindoes is dit het Kompass...Ivm het oog: "mïkroscoop," een soort smiley...Twee puntjes en een streepie.





Covid 19 en ammoniumsulfaat, verbanden die nog niet zijn blootgesteld...Zwavelzuur ontstaat dat wel..?


PH-WAARDE ONDERZOEK: Zou deze link doorlezen, beste geneesmiddel is PH omhoog:

https://www.zuurbasekennis.nl/Ph-gevoelig-nieuwsbrief


Deze is niet zeker, geen enkel onderzoek naar wat ik heb gezien, weet dit niet precies! Voor onderzoek...Concept...
Deze tekst is dus nog veranderlijk, voor nu lijkt het goed in mijn opinie, maar wees voorzichtig met snelle conclusies....

De virus bezit 4 x disulfide connectoren en ook Ace2 bezitten 4 disulfide connectoren...
Nu is het zo dat er iets bestaat als "oxidative stress" en dat dus oxidatie plaatsvindt, wat gebeurt is dat 4 x disulfide 8 x een So2 laat ontstaan...
Vervolgens pakt de virus via TYR83 een waterstof atoom en bindt dat aan ASN487, dit doet het twee keer per So2. Toevoeging: ik neem aan dat de reductie verloopt via een disulfide reductie stofje, namelijk DMH, BMS en DTT in mindere mate...
Dus ontstaat H+H+SO2+SO2 = H2SO4 (zwavelzuur), toevoeging: dit kan de vochtophoping verklaren in het lichaam...
Daarna pakt het NH3 uit de bloedvaten, die zich daar bevinden en vormt zich ammoniumsulfaat...

De vraag is dus, wat er daarna gebeurt, is dit onderdeel van het RNA...

Sommige onderzoeken wijzen naar twee fases van de ziekte, de eerste fase is van inbreng, dat het dus in de longen terechtkomt, vervolgens kan het lichaam zich ertegen verzetten wellicht via het lichamelijk afweersysteem. Maar wat als de RNA toch het lichaam in gaat, dan bereikt de ziekte de tweede fase/ronde in het lichaam. Hij moet een kringloop maken waarin hij kan leven en blijvend het lichaam wil muteren, vandaar dat het de tweede fase moet enteren, het gaat er dus wel om wat de tweede fase dus inhoudt, ik had een onderzoek gelezen die dat een beetje uitlegde, maar die heb ik niet meer vernomen, jammergenoeg.

U begrijpt elk organisme wil in leven blijven, wil het dat het iets moet hebben om te overleven, zo is ook de virus...Ammoniumsulfaat is natuurlijk een goede houder van RNA aanhangsels...En vaker gebruiken veel virussen en bacterien deze zout als (ezels)bruggetje...

https://nl.wikipedia.org/wiki/RNA-polymerase_II


NaHCO3 is wellicht negatief voor het lichaam, ivm Covid 19, raar maar waar misschien

Toevoeging: natriumbicarbonaat, bakpoeder, daar wil ik naar verwijzen...
2 NaHCO3 + H2SO4 => Na2SO4 + 2H2O + 2 CO2, dit kan ook verklaren waarom water in de longen zit...Dus natriumbicarbonaat of dat werkt weet ik niet, het lichaam wil wellicht wonderzout maken of laxeren? Weet het eigenlijk niet, wat het wil moet een dokter verklaren en onderzoek naar doen... Of natriumbicarbonaat goed of slacht voor je is, weten we wel, maar of het in dit verband, bij Covid 19, werkt is de vraag.

Dan ontstaat dus wonderzout, een soort laxeermiddel, ik weet alleen niet of het dan hoe het dan uit het bloed moet, zouden de bloedvaten icm wonderzout beter bestand zijn en werken.


Disulfide reductie:

PH neutraliteit, dus een stabiele PH kan de gezondheid en weerstand tijdens Covid ietswat bevorderen, daar is een onderzoek naar gedaan en dit zijn resultaten over DTT, er zijn echter nog twee belangrijke reductoren van disulfide, namelijk BMS en DMH:
https://www.researchgate.net/publication/221850057_A_Potent_Versatile_Disulfide-Reducing_Agent_from_Aspartic_Acid


En juist die twee, BMS en DMH zijn sterker...
https://gmwgroup.harvard.edu/files/gmwgroup/files/412.pdf


Schema over Covid 19...Fase 2, dus de zouten, hoe die koppelen en reageren...Het is nog niet af volgens mij...

Schema van de fase 2 van de virus, helemaal onderzocht en aan elkaar gekoppeld, u ziet dat glucose wordt verbonden via water en myrosinase enzym en anders met Sulfaat en deze beide concurreren met elkaar, de een werkt voor bacterien en virussen, de andere helemaal voor ons.

Wellicht beetje onduidelijk op het eerste gezicht, maar de rode lijnen zijn de koppelingen en de paarse lijnen zijn datgene wat wordt gevormd uit andere stoffen:

Het gaat hier nog steeds over Covid 19, maar ook andere bacterien en virussen kunnen hetzelfde, namelijk via sulfaat concurreren met het lichaamseigen water en myrosinase voor natuurlijk de glucose...Energie.

Het kan nog verder worden uitgebreid met wat dus ontstaat uit NH3, en ook de 1,2,3 van de Glycosinolaten. Ook wil ik zoeken naar een glycosinolaat die dus Calcium en Furin kan neutraliseren in die zin dat deze de verbinding met aminozuren verbreekt of helemaal niet toelaat of anders deze neutraliseert...

https://www.tandfonline.com/doi/pdf/10.1080/00021369.1983.10865905

Het is nog niet af omdat moet worden onderzocht welke 1 nitrile 2 thiocyanaten 3 isothiocyanaten ontstaan vanuit NH3 en minder belangrijk volgens mij via Calcium...Wellicht zijn ook andere stoffend an Calcium mogelijk, zoals Zink, die vind ik belangrijk eruitzien...Vorming van Znsulfaat is een vreemde wellicht, een medicijn is dat, omdat de link Covid - zink mij nog onduidelijk is. Zink is denk ik een van de sterkste reductors (+).

Toevoeging:

Opletten! Waarschijnlijk ontstaat geen zwavelzuur, maar ook dat is niet zeker.

Toevoeging:

U kunt bij het tabel met schizofrenie inzien dat cysteine via oxidatie met H2O2 en H2S SOH kan vormen, er ontstaan wellicht ook bijproducten of juist producten die van nut zijn voor de virus, wellicht ontstaat toch zwavelzuur?!

In de chemie ontstaat zwavelzuur uit H2O2 + H2S als volgt:

https://www.h2o2.com/municipal-applications/wastewater-treatment.aspx?pid=133&name=Article-Scrubbing-Hydrogen-Sulfide-with-Hydrogen





Toevoeging: 08/12/2020, 14:13

Fase 2 vervolg vanaf NH3, volgens mij nog steeds niet af:

U ziet dat vanaf NH3 de verbindingen zijn weergegeven voor de rest tot aan aminozuur en nucleinezuur en ook interessant is vanaf isothycyanaat, want die vervolgt zijn weg en jammergenoeg vormt zich ook disulfide, die weer kan communiceren met de virus Covid 19, een thiol form.


Toevoeging:

https://www.ncbi.nlm.nih.gov/pmc/articles/PMC7346263/

Deze studie is gebaseerd op spike, die in geoxideerde toestand, als ik het goed heb gelezen, en met disulfide bindingen weer aan ACE2 gaat binden.
Ik mis wel de link met nucleinezuur DNA/RNA...


Allyl isothiocyanaat van Sinigrin:
https://www.tandfonline.com/doi/pdf/10.1080/00021369.1983.10865905






De magische 400, gebruiken ze om een elektromagnetisch veld van de eerste klasse aan mensen te spelden...Een zogenaamde "Kafir" en "Mumin..."


Hoeveel landen kunnen dit? Landen met satelliet netwerken om de wereld...Rusland, China, Amerika, Europa als geheel met Glonass. India wellicht?  Nogal wat dan!
Ik dacht dus dat ze het niet konden, maar ze kunnen het wel, het draaien van signalen in 180 graden, X, Y, Z+ en Z-...
Dit bewijs is vandaag geleverd!
Ik zag dit "in mijn hoofd" gebeuren, goed?


Hoe kun je dit systeem saboteren!

Je kunt dit systeem overigens via dit systeem, dus de 400 terugpakken en uitschakelen, het is tevens hun zwakke plek...Je hoeft alleen het signaal op te pikken, die komt vanzelf naar je toe, jij bent schizofreen, of er zijn genoeg om en rond jou die zo zijn, vervolgens ga je dit signaal boosten in een x, y, z, z-, daarna moet de polarisatie omgekeerd en vervolgens blijven signalen geven totdat het ontploft of uitvalt.
Dus stel het signaal wordt opgevangen in een +/- veld, stel dat het signaal + is, nu moet je dus weten dat de polariteit +/+/- is, nu gaan we ervan uit dat dit een minus is, dan moeten we het omkeren tot + en overflowen...totdat ergens iets breekt, of bij "ons" of bij de boosdoener...Het is namelijk + ionen tegen + ionen, korste lontje verliest!
Dus, wat deze leiers hebben bereikt vandaag is niks anders dan een 400 zetten en vervolgens hebben zij ook iets anders geflikt, waardoor ik een soort Arabische letters zag in het oranje...
Uiteindelijk gaat het erom dat iemand een "mumin" krijgt...Onderaan is dat...En bovenaan, andersom dus, krijgt iemand een "kafir." Wij moslims en andere slachtoffers, denk ik, krijgen de hoofdprijs, "de goeien blijven goeie..." Want je ziet straks zelf!

Wellicht kun je emt een lasercombinatie ook de straal van de boosdoener eerst saboteren met een +/- polariteit waardoor het signaal wordt verbroken, waardoor de aardse signaal makkelijker het doelwit treffen kan. Beetje real time science fiction moet kunnen! Het is toch en blijft een schijnheilig opgezette stukje van een volk of een soort gemeenschap! Dit overstijgt eigenlijk mijn belangen op micro niveau, zijn zijn "makrobaten." Ze spelen dit uit op hoogste niveau!

Toevoeging:

Het kan dat deze sabotage techniek simpelweg ontlaadt op de mensen en daarmee de mensen kan doodmaken, waardoor het niet geldig is!

Toevoeging:

De 40 = heel heel waarschijnlijk, 95 % kans naar mijn inziens, een elektrostatisch veld, dus een sterretje icm de Pagankruis!
De 60, is via de hakenkruis bereikt! Zeg maar dat is gewoon de hakenkruis techniek! Eerst 60, dan de 40 = 100, dit 4x = 400 = X, Y, Z en Z-...= Kafir of Mumin = connectie tussen het linkerdeel van het lichaam met het rechterdeel = +, +/- en +/- is namelijk + >>> +/- verkijg je door links en rechts N/S en S/N...Dat is dus niet normaal!

Toevoeging:

Wat je nu kan doen als mens en als techneut is een ding extra...Dat is om via via deze signaal terug te boosten...En dat is niet via de x, y, z, z-...In ieder geval niet met hetzelfde idee...
Wat je namelijk moet doen, is "hoeken."

Dit betekent dat je moet proberen om het signaal Fysiek om te keren en niet alleen omkeren, via polariteit...Het is net wat anders, namelijk je zorgt voor een schorpioen effect, je zorgt dat je het signaal via 90 graden en 90 graden ombuigt tot 180 graden, dus andersom wordt het dan...Het lijkt op hetzelfde maar de techniek is toch wel anders...Ik heb het even bekeken en volgens mij moet je zelfs 4 x 90 graden ombuigen...

Een negentig graden betekent het volgende, in assen:

U ziet hier dat de X as 90 graden buigt...Dan moet je dus 4 x 90 = 360 graden kromemn, wil je een dit signaal fysiek terugsturen...





4 x 90 graden = 360 graden...
Weet niet helemaal zeker of dit uberhaupt wel kan!
Dit lijkt overigens op de Byzantijnse of Russische kruis...4 hoeken en dan power...

Toevoeging:

Ik betwijfel of dit kan werken...
Omdat wanneer de + in een +/- opgaat dit 4 keer achter elkaar gebeurt en utieindelijk ontstaat toch een +/- veld, die aantrekt en niet terugstoot...





Om het wel te laten werken, moet het iets moeilijk gedaan worden:

U ziet beneden dat twee keer een kubus 360 en 360 graden, oftewel 180 graden, omkeren van het signaal, wordt gehangen aan het + signaal, dus twee keer vangen en die twee stromen bijelkaar brengen, niet de makkelijkste karwei, vooral niet de brug, wellicht "a bridge too far."

U ziet beneden dus dat rechts zich een +/+/- vormt en dat +/+/- en +/+/- samen bij de kruising een + vormen... In omgekeerde richting...Ik kan me voorstellend at u wellicht niet begrijpt, het is ook risico, zodra je veel stroom geeft en opeens loslaat en ook wellicht de straal van de boosdoener ietswat verzwakt, dat je dan kunt terugvuren door de stroom af te halen kort na elkaar of ineens heel veel zuigkracht generen door een ontvanger te verhogen in stroomsterkte...





Doordat hier +/+/- x 4 = +





Toevoeging: deze weet ik niet helemaal zeker. Magneten in een kruisvorm...





Toevoeging: een 6 schakel...

Hier is geen kruisvorm zichtbaar, maar moet je magneten in kubusvorm plaatsen...

Deze is denk ik beter dan de rest, is mijn mening.





Beter uitgelegd:





Een circulerende versie, wellicht beter bestand tegen doorbranden en sterker?





Zie hoofdpagina:





Wat doen ze nu precies technisch gesproken?

Het gaat erom dat je lichaam links enr echts wordt verbonden zodat jij eigenlijk op dat moment een hele andere energiecyclus verkrijgt, je hebt dit tot die tijd niet eens door!
Normaliter bezit je een N/S en S/N, links en rechts van je lichaam, twee engelen, 1 nur, sterrenbeeld, dat is voor iedere mens heel normaal, anders ga je dood. Wat deze hoerenzonerij doet is aan deze sterrenbeeld nog iets te plakken en dat kan alleen via deze techniek mensen, op een afstand althans!
Dus: stel dat links geven ze mij een kruis en rechts geven ze mij een tweede kruis, dat doen ze niet voor niks, het gaat erom dat een stabiele platform ontstaat en dat dat een + veroorzaakt tussen +/- en +/- in je lichaam, dat levert op +/+/- en dat draait in je energiecyclus, je geest.


Dus wat doen ze nou eigenlijk?

In principe geven ze je gewoon elektriciteit, maar door het aan je geest te plaatsen via "super techniciens," bereiken ze dat je dus links een S/N verkijgt en rechts een N/S extra...
Normaal mens, zij dus en niet wij:
N/S en S/N, links en rechts...
"Bezeten mens," daarentegen:
N/S en S/N en extra nog S/N en N/S, waardoor een soort links en rechts elektriciteit ontstaat van +/- en +/-, dat normaliter dus niet ontstaat in je hersenen...Normaliter is die energie het gedeelte dat je lcihaam dus splitst en die is puur, bij mensen bij wie ze dit doen, die hebben last van verhoogde bodyvoltage en dat kun je makkelijk meten en weten! Dat is dus ergens in het lichaam, hoeft niet per se de hersenen te zijn!


Conclusie

"Maarre wije doene er nieti aan hoor, zit namelijk gewoon in je hoofd!" Met deze mentaliteit en met hun teringtrucjes mogen ze van mij ook de pot op dan! Straks gaan we allemaal "de pijp uit," zoals die kankersatanisten willen! Flamepje!





Covid-19 >>>> Hesperidine+vitamine C+Naringin en Naringenin+glucose, rhamnose extra (kijk wel uit met rhamnose, als kruiden alleen te gebruiken)...03/12/2020, 15:57

Eet veel Grapefruit en sinaasappel en brocolli...Als je grapefruit neemt dan hoef je in principe geen rhamnose meer in te nemen...Want die bezit Naringenin...

Waar gaat het over?

Het gaat erom dat de virus koppelt aan ACE2, ook hesperidine (sinaasappel) en vitamine C koppelt hieraan, maar die twee kunnen elkaar niet vinden, waardoor de virus zijn gang blijft gaan, daarvoor is een bruggetje nodig...Dat is namelijk Naringenin...Dat is een + flavonoid dat direct een verbinding aangaat met hesperidine en glucose...We gaan ervan uit dat deze koppelen en de virus koppelt via de glucose aan hesperidine...Dat moet het, want het communiceert met suikers waaronder glucose...

Eigenlijk moeten alle suikers natuurlijk een + flavonoid krijgen,w aardoor de virus niet meer zichzelf kan voeden...Glucose is overigens minus en koppelt met Naringinin (+).

https://www.researchgate.net/figure/Hydrolysis-of-naringin-into-prunin-rhamnose-glucose-and-naringenin-by-naringinase_fig1_316240418

U ziet beneden een beschrijving van wat met Rhamnose en Naringin gebeurt...Vormt Purinin en daarna Naringenin en Glucose suikers...

Rhamnose is te vinden in gifsumak, de naam zegt het, het is waarschijnlijk in hoge dosis giftig...Maar dit hoeft dus niet als je gewoon grapefruit eet of sap drinkt. We hebben namelijk alleen de Naringinin nodig...Dit is dus voor een suiker, namelijk glucose...





Zoals u hier ziet, moet je trachten het lichaam te voorzien van de benodigde antioxidanten en die ook nog eens aan de virus te koppelen, toevallig werkt sars dmv glucose, maar weet niet of andere suikers ook worden meegneomen...Glucose is wel de belangrijkste suiker wat we hebben!





Toevoeging: 04/12/2020, 12:40

Omdat sommige wetenschappers in artikelen beweren dat Naringenin geen anti - virus effect heeft, kan het zijn, dit hoeft zeker nog niet zo te zijn omdat covid 19 niet onderzocht is in dat artikel, volgens mij moet het echt goed onderzocht worden, want technisch lijkt het in orde, het verhaal...

Er zijn natuurlijk ook andere stoffen, die zich vastmaken aan Ace2, laten we een andere bekijken:

Dit moet dus ook goed onderzocht worden...

B - cryptoxanthin bevindt zich in mandarijnen onder andere...En Rutin onder andere in citrus en o.a. in andere groenten e.d.





Toevoeging: 04/12/2020, 13:17

Hier de versie met Aloe emodin afkomstig van Aloe vera, icm Rutin, dus afkomstig van fruit en groenten, kan het de virus neutraliseren in een kringloop en kan het dat de fibrine, de schaden kan dichten door via deze stroom die plekken te bereiken. Rutin is eignelijk alleen om de ijzer te neutraliseren, dus voorkomen dat ijzer wordt opgenomen door de virus...

Ook dit zou moeten worden onderzocht...





Verbetering theorie over stemmen horen, N/S en S/N, laatste versie, versimpeld...


Eerst had ikg esteld dat het hoofd een elektrisch veld van +/- zou moeten hebben, dat is ookw el zo, maar de totstandkoming is wellciht toch iets anders...
Ik ga er namelijk van uit dat nu het hoofd, van elke mens, dus de menselijke lichaam bezit altijd standaard rechts een S/N elektrostatisch gebied, dat is anders dan een elektromagnetisch gebied, dat is namelijk +/-...

Normaliter bezit de mens dus rechts een S/N en links een N/S...Twee elektrostatische velden dus...Elk mens bezit dus daarom energie ind e vorm van +/-, namelijk N/S en S/N vormen +/-, is energie en een elektromagnetisch gebied, in de vorm van een lijntje, een stroom, door het midden van het lichaam...Onze geest is hieraan verbonden...

Nu kun je als duivel wellicht iedereen aanvallen met een +/-, maar daar heeft hij tot nu geen behoefte aan gehad denk ik...Wat hij wel doet, is het volgende:
Hij plaatst rechts een N/S veld, dit kan het met een 3d veld of een N/S veld te generen in het lichaam, en vervolgens door te trekken, waardoor de S/N en de N/S samensmelten tot +/- op de rechterhelft van het lichaam. Er ontstaat dus wel een echte elektromagnetisch gebied op rechts...

Ik weet niet zeker of links dan een S/N moet worden aangemaakt, dat zou het simpeler maken voor de duivel althans...Want zodra je op rechts via geluiden of frequenties een veld aanmaakt dan ontstaat aan de andere kant ook een veld van S/N, die op zijn beurt ook een elektromagnetishc gebied veroorzaakt, wat je krijgt, is links en rechts twee velden, die +/- geladen zijn, namelijk N/S-S/N en S/N-N/S...Let op dit is natuurlijk een elektrisch veld, en niet helemaal hetzelfde als de energiestroom in het lichaam.

Wat je krijgt is dus dat vanuit links en rechts + ionen het lichaam worden ingetrokken...We worden als het ware geladen...Maar die extra energie wordt meteen afgevoerd door het energiegebied, Namelijk: +/+/- wordt het steeds, met hier en daar minpolen, die ontstaan.

Het veld op links behoeft niet! Het kan ook dat je alleen op rechts iets hebt, of alleen op links zou optioneel nog kunnen wellicht, maar dat is een moeilijker verhaal, op links is namelijk een S/N (+) veld benodigd, dat kun je beter via een omweg via de rechterzijde benaderen, lijkt mij, ik denk dat de boosdoener dit makkelijker zou vinden en massaal plaatsen van elektrische vleden kan natuurlijk beter via N/S velden op de rechterhelft van de mens..! Dit weet ik niet zeker moet ik zeggen, wellicht is het toch op links straks...Dan is het dus wel een extra S/N gebied, dat een +/- veroorzaakt...Het zou ook kunnend at ze allebei bestaan...Dus zowel mensen op links als op rechts, bijv: Kafir, Mumin, of heb ik een verkeerde associatie/verband nu getrokken?

Het extra N/S gebied creeren ze dus via een soort 3d, oftewel via antennes juist te positioneren, denk ik, via elektrostatische velden. Dus zodanig opstellen van antennes en daarna contact maken met het slachtoffer om hem een N/S gebied te haken...Dit kunnen ook strategisch opgestelde radiozenders/ontvangers zijn. Ik had eerder geschreven over "ruis in de ether, van ongeveer 133 hz e.d." Frequenties, die nergens op slaan in het spraakgebied bijna zelfs...Het is zelfs de vraag of het frequenties te noemen zijn, het zijn een soort "scrambled geluiden," met N/S polariteit dus. Geluid is altijd normaliter N/S vandaar. Zo hoor je vaker bij mij een soort ruis (echte ruis), of anders altijd een soort radiostation met de frequentie van 538, die ze af en toe sluiten en gewoon zelf in spreken...Maar dat is echt dag en nacht aan altijd...Via een magneetantenne aangesloten op de Radioschack mini amplifier kon het hoorbaar worden...


Toevoeging: 03/12/2020, 13:05

Dat de tekening laat zien dat twee velden links en rechts in het hoofd zijn aangegeven, hoeft nog niet te betekenen dat deze velden ook in het hoofd ontstaan, wellicht is de bron vanuit ergens anders, in het lichaam, wel vanuit links en rechts vanuit het lichaam contact makend! Het zou ook een organsiche mutatie kunnen betreffen, die deze extra + je veroorzaakt...De Hadith beweren namelijk dat elk ongeboren kind met de duivel in aanraking komt, in de baarmoeder dus, dat moet wel via DNA...Ik noem dit wel "the Mark of the Beast."





Toevoeging: 02/12/2020, 17:50

Ik denk dat de +/+/- energie daarna wordt doorgetrokken op een bepaalde manier naar een elektrostatisch veld, zoals een davidsster of een duivelsster...Maar het kan ook anders, maar die methoden zijn wel de beste en voordeligste qua energiekosten...Zodra iemand is verbonden aan een elektrostatisch veld, hoef je weinig meer te doen, geloof ik, want deze mens zal voor altijd verbonden blijven...Dit is dus wat ik denk dat de boosdoeners doen bij sommige mensen, en dit hoeft nog niet bewijs te zijn over hoe en wat het inhoudt in verband met moderne technologie gebracht...Dus wat is het, is het een transistor, een capacitor, iets anders? Wat houdt deze oude techniek in en wat kan het vervangen in de moderne techniek?


Technische verklaring

Zonder stervorm is dit het:

Bovenste seriele radio combinatie is dus een ontvanger, die verbonden is met de zender, de zender stuurt dus een elektromagnetisch gebied, omdat het serieel geschakeld is, kan dit fenomeen ontstaan vanzelf...Zonder serieel niet! In ieder geval niet dat ik weet. Je moet namelijk N/S en N/S hebben = +/-, vervolgens als het lichaam is "uitgestraald," dit is een term uit de wetenschap, gaat het lichaam energieveld veranderen en daarna knopen ze deze aan een ontvanger, die dus een magnetisch veld aantrekt, dat zit via 3d technieken (via strategisch opgestelde ontvangers en zenders, of masten) in je hoofd...Dit veld is S/N en (+) polariteit...

De ontvanger trekt deze + ionen aan en stuurt ze direct terug en daarna ontstaat een stroomkring, de mens laten ze nooit meer los...

Overigens, goed om erbij te vermelden: ik ben 13 jaar lang schizofreen paranoide met dit soort "echte kanker stemmen," het zijn terroristen die dit doen, stelletje sadisten in het kwadraat, vijandig volk. Het is natuurlijk aan de landen en aan de wetenschap de taak om mijn theorie te toetsen, maar niet vergeten, het is de taak van de wetenschap, het volk dus, om ook de wetenschap te toetsen, die zogenaamd beter weet. Moetenen ze ook nog eens constructief zijn in hun denkwijze, daarmee bedoel ik, dat wellicht ik het fout heb, maar moeten ze vind ik, aangeven hoe het wel gebeurt :-)!





Inventaris van elk psychiatrische patient of potentiele patient, zie het als een advies...

1   Altijd een dure recorder opkopen van minimaal 200 euro, voor je het weet sta je namelijk anders voor paal, omdat je niet beseft dat de boosdoeners zo geavanceerd mogelijk jou stemmen kunnen overbrengen, het zijn wel "echte stemmen," maar als je geen bewijs hebt, dus geen recording, is het einde verhaal! Vaak is wat je niet kunt recorden, altijd stemmen, de regel!
2    Thermal imaging camera, kost wel duur, maar als je een financiele meevaller hebt, zoek dan eentje uit voor ongeveer > 900. Kan veel verdenkingen en twijfels wegenemen ivm psychoses en ook de technische gezondheid van je huis, steeds vaker hebben mensen het idee dat ze gecontroleerd worden, dit hoeft niet op de manier te zijn dat jij denkt..! Ik besef zelf dat duivels en andere boosdoeners die meedoen, dit vaker kunnen via je lichaam zelf...Dus stemmen hoor je wellicht vanuit je lichaam, uiteindelijk hoor je het in je gehoor, maar ik geloof wel dat het van buiten komt, dus er zit niets in je, je bent echt niet bezeten, hoogstens bezit je anders wel een microchip van een mm, als dat het is, goed dan! Tegenwoordig is dit geen fantasie meer, dus, vandaar...
3    Buffer, financiele buffer, valt weinig over te zeggen, soms kan het tegen zitten...Geldmiddel is dit.


Onderschat ook nooit de omgeving, waar je wil wonen of gaat wonen, vaak kun je navragen en zelf onderzoek doen naar de verstandhouding in de buurt.


Over deze kwaal een beetje op mijn manier:

Vroeger besefte ik ook niet precies hoe signalen werkten, maar het is toch het principe steeds van N/S en S/N...Als wij stemmen oppikken, moet ergens dus een stem worden gecreerd, daarna moet dit door het gehoor worden ontvangen...Het gehoor werkt organisch, dit houdt in, dat de hersenen alleen kunnen denken mbv receptoren, en die werken op basis van elektriciteit, dat is +/-, namelijk N/S en S/N = +/-
Zodra jij dus een N/S bent, zoals ieder ander mens, en de boosdoener bezit een S/N ontvanger, richtmicrofoon a la magnetisch, dan kan hij iemand aanhoren. Ik denk echter dat het zelfs andersom is, wij horen vanuit een S/N en de boosdoener bezit N/S, een echte normale serieel geschakelde radio zou zelfs wellicht genoeg kunnen zijn voor ontvangst van het S/N signaal...
Dat andere mensen niks horen is simpelgezegd, omdat zij allemaal N/S moeten zijn en wij toevallig andersom, of wellicht een soort tweede pool bezitten, oftewel een ontvanger, die moet echt wel S/N zijn...Een "jammer" zou alleen kunnen worden uitgevonden, die moet dan S/N signaal afgeven! Ik geloof niet echt dat je daar wat aan zal hebben!
U begrijpt zulk een "jammer" kan de boosdoener zelf ook ontvangen, overigens...Ik weet zelf dat sommige overheden een "jammer" hebben uitgeprobeerd, maar die kan dus alleen werken op de jusite frequenties en ook alleen S/N. Met alle risico's van dien op meer overlast en bijgeluiden.
Natuurlijk is suscces niet gegarandeerd als je je gaat "wapenen" tegen deze vorm van treiteren. Ik zou alleen enkele goede apparatuur willen voorstellen erbij:

1   Een kleine amplifier van geluiden, vooral vond ik de kleine witte radioshack amplifiers fantastisch werken...Die van een jack adapter voorzien en koppelen aan een soort passieve magneetantenne, als je die kunt vinden...
2   Wellicht is ook een goede geofoon een goede. Stel dat je echt met een onderzoek bezig bent, kan het.


Deze vindingen kunnen meer duidelijkheid scheppen voor jou!

Maar begrijp dat iets technisch dus meer gaat richting ontvangst van N/S en S/N. De basisprincipe is dit, maar al deze apparatuur zijn natuurlijk amateuristisch. Het kan dat je denkt dat het zonde van je geld is, na een tijdje...

Want de boosdoener kan het op gekke manieren, die de verbeelding meer te boven gaan, waarbij gedacht moet worden aan N/S en S/N, een combiantie ervan en daarna nog een combinatie ervan, waardoor het signaal juist niet meer wordt ontvangen..."Scrambled" signalen kunnen alleen worden ontcijferd mbv een decoder!

Toch moet ik zeggen dat de radioamplifier (dit is geen ontvanger) van Radioschack in combinatie met een magneetantenne, de basisgeluiden ontvangt, dus de "ruis in de ether," die dus wordt ontvangen alsof het een radiouitzending is van meestal een bestaande radio uit je land. Bij mij is dat vaak Radio 538 op ongeveer 133hz, en de rest zijn hogere frequenties, maar in Turkije waren het dus andere Turkse radio's en "ruis in de ether."

U begrijpt uit mijn verhaal, dat natuurlijk deze frequenties geen echte radiouitzendingen zijn...Maar het zijn een soort bijgeluiden.
Ik wil niet zeggen, ik hoor dit muziek, nee dat nog niet, maar wellicht wel als bijvoorbeeld een muziekje wordt afgestemd op het andere en erin wordt gesproken...
Laten we de theorie erbij pakken:
Signaal 1 en signaal 2 serieel geschakeld...N/S is dat!
Omdat ik als schizofreen S/N ben of bezit, hoor ik dit signaal nu wel! Dat anderen wellicht geen N/S bezitten, moet nog de wetenschap uitwijzen...Of het dus daadwerkelijk zo zit....


Anatomie van de mens

Als we de mens bekijken vanuit wetenschap of vanuit spirituele volkeren, dan beweren velen dat het lichaam links en rechts anders is gepolariseerd, dus een + en een -, maar hoe dat dan tot zijn recht komt is dan de vraag, want + en - vormen namelijk +/-, dat is N/S. dan zou je als ieder normaal mens niet een bijgeluidje moeten kunnen ontvangen...Pas als je dus S/N verkrijgt, dan pas kun je ontvangen en kunnen ze jou ontvangen...Wat zou dit aantonen dan? Zou mijn lichaam nu twee +/- polen bezitten en een + vormen..? Als we ervan uitgaan dat +/- bij een normaal mens dus +/- is, dan is + het omgekeerde, dat is S/N...

Anders gezegd, bij een bijgeluidje in het spectrum van 20 hz tot 20000 hz kun je horen en alleen hoor je eigenlijk als je dus links en rechts N/S hoort, namelijk links N/S en rechts omgekeerde N/S = S/N en dan heb je dus N/S en S/N = +/-, de receptor pakt dit op en vertaalt in een waarnemen.


Toevoeging, heel belangrijk: waarom schizofrenen beetje anders zijn, horen wel bijgeluiden en anderen niet...

Ik denk dus dat alle mensen links en rechts dus + en +/- bezitten, want anders sterf je! Dit is tevens onze levensenergie en ons sterrenbeeld, kracht...
Schizofrene mensen daarentegen bezitten volgens mij een extra veld...Op rechts bij de +...Wij bezitten een extra +/- veld, of wat dit effect ook mag veroorzaken, het blijft hetzelfde, namelijke en +/- veld op rechts, ervan uitgaande dat rechts een + is...
Dit betekent dat ieder mens een normaal gehoor bezit, en ook alle schizofrenen....
Echter het extra gehoor komt vanuit dit extra +/- veld...Want links en rechts +/- en +/- veroorzaakt een + veld, en als die in de +/- veld draait, dan ontstaat een +/+/- en dat is anders dan normaliter gesproken een normaal mens bezit alleen +/- veld, onze normale geest...En levensenergie...
Het is dus ook mogelijk met zulk een circuit/ionenstroom, waarmee dus een +/- veld een + veroorzaakt en vervolgens in de +/- doorstroomt en opbrandt in het lichaam....

Doordat dus deze + pool dient als zender en ontvanger van signalen, dus eigenlijk niet hoort in het lichaam en kan dienen als een receptor, die kan worden ontvangen, deze is namelijk S/N, dan kun je als boosdoener volgens mij heel makkelijk bij zulk een slachtoffer. Dit betekent eigenlijk dat iedereen een potentieel schizofreen kan zijn. Het gaat eigenlijk hier om wier ze willen opofferen en willen pakken, dat is mijn mening.

Dus:

N/S bezitten wij allemaal, alle mensen...Heel normaal, dat is namelijk een elektromagnetisch gebied in ons lichaam afkomstig van onze levensenergie, de +/-, dat is elektriciteit.
Echter, schizofrenen, hebben een +/- op rechts extra, daar ga ik vanuit...
Daarmee wordt de situatie geschapen dat deze mens +/- (N/S) en +/- (N/S = + = S/N gaat bezitten...
Dit brengt iemand stemmen in het hoofd, via een serieel geschakelde ontvanger voorzien van een magneetrails kun je deze stemmen in het hoofd ontvangen of produceren...

Ik geloof zelf dus niet in natuurlijke stemmen in het hoofd, in ieder geval bij mij zijn de stemmen erg vals en niet van nature aanwezig.
Dat toevalligerwijs mensen kunnen bestaan, die van nature een dergelijke mutatie zouden hebben, en daarna omgevingsgeludien gaan horen en proeven, daar heb ik toch wel respect voor. Ook kunnen wellicht bij die mensen deze stemmen worden gereduceerd met de tijd, door wellicht iemand die een goede theorie wil testen of zelf een meer kennis bezit en deze wil uitbreiden of verbeteren en dan testen, maakt niet uit.


Toevoeging, tweede: kruiskop

Het kan wellicht ook dat combinaties bestaan en varianten van schizofrenen, zoals KAFIR en MUMIN... Dat zou kunnen aangeven dat sommigen N/S en anderen S/N veld bezitten...
Een variant op mijn theorie zou kunnen zijn, dat je niet alleen rechts, maar bij de minus gedeelte ook, hoe dan ook een +/- veld bezit... Dit zou betekenen dat ze volledig onafhankelijk een +/- en +/- = S/N creeren...
Ook zou het dan kunnen dat ze hoofd dus kruisen van een +/- naar het andere... Dus het verkeerde veld, +/-, naar + origineel...En origineel - naar nep +. Als ze dit lukt krijg je het effect dat ze je kruisen en op een gekke manier een energie uitlokken in je lichaam.
Deze energie is oveirgens wel gewoon N/S en +/-, maar toch is het onder controle van de boosdoener, zulk een persoon kan als hij niet "tegenvecht" zijn hersenen kwijtraken...Hij moet dus niet kijken ind e psychoses steeds...

Hier zie je op de afbeelding eigenlijk dus dat ook een + is aangegeven, die als een soort ontvanger dient voor het systeem van de boosdoener...Namelijk S/N (+) wordt door hen ontvangen door N/S (+/-)...





Het regenboog effect

Stel dus dat de boosdoener een infrarood signaal verzendt, met een frequentie van zoveel hoog...Te hoog om op te vnagen mbv het gehoor.
Stel dat een tweede signaal dichtbij de regenboog wordt verzonden, signalen die op elkaar zijn afgestemd...
Zelfs deze combinaties zouden "bijgeluiden" kunnen genereren, die wel afgestemd zijn om op 20hz tot 20000hz....
Toch moet dus worden uitgegaan van twee signalen, die elkaar kruisen = signaal 1 + signaal 2 = N/S (ruis, heet dat)...
Als zij dus twee signalen zouden kruisen, zouden zij al ons kunnen bereiken, maar dan zou dit voor denk ik iedereen hoorbaar moeten zijn, dat is deze versie dan wel....Want N/S en S/N vormen +/- in het juiste frequentiebereik.
Dus nu ga ik er steeds vanuit dat het oor links en rechts anders werkt, namelijk spiegelend...Wat op links rechts is (N/S), is op rechts links (S/N) enz...


Toevoeging: 01/12/2020, 14:24

Ik vraag mij af op welke wijze de boosdoeners deze soort van methode gebruiken om een elektrostatisch veld, N/S, in het lichaam van de mens te plaatsen, of dit op deze manier mogelijk kan zijn? Ik denk zelf van wel, lijkt op 3d printen...
U ziet dat nadat een signaal wordt verzonden, deze in zijn totaliteit niet meer te traceren is... Er ontstaat namelijk een soort heksenkring, een N/S veld in het lichaam van het slachtoffer, als ik het goed heb.
Want de verklaring is zo dat doordat een signaal wordt verzonden naar het lichaam van het slachtoffer, deze ook moet haken in de ruimte...Doordat een elektrostatisch gebied dit haken kan verklaren, kan het dat ze wellicht iets, maar waarschijnlijk veel geavanceerder hiermee kunnen doen.





MANDALA van de aarde en de MANDALA van onze mensen, de kruisiging van de profeet tot vandaag de dag, spirituele godslastering, uitleg...Toevoeging: 27/11/2020, 17:30


Kopje Paganisme

Wat de mensheid dus fout doet, is het kruisen van onze ziel...Onze ziel wordt gekruisigd mensen...Dit is niet kloppend en niet leuk...

Dit is een schending van elke vorm van goedheid en het is in zijn volledigheid godslastering...

U ziet wat zij dus kunnen beneden: eerst zoeken ze iemand uit die zogenaamd bezeten is...

Vervolgens via een ingewikkelde proces sturen ze signalen op de mens en naar alles en nog wat waarschijnlijk...

Daarna creeren ze dus haken en ogen en verbinden ze je aan de kruis en vervolgens kruisen ze op een manier deze sterrenbeeld en daarmee zorgen ze dat de twee engelen aan de kant worden geschoven...Dus een manier om de Heilige Geest te misleiden en te ondermijnen, dat is Gabriel...

Enige wat de mensheid had moeten doen, is dus deze P weghalen en dus dat kan alleen door deze uit de lucht te schieten mbv een ontladende laser of iets in die richting...Dan moet je een zodanige positie creeren, dat je de laser van links onder naar rechts boven schiet, schuin dus! Door het midden van de kruis (?), tenminste wel door de P.


Wat is de betekenis van het symbool P?

Dit zien we in vroege Romeinse symbolen, de P, van Rome...

Dit is niks anders dan twee serieel geschakelde radio's, die dus een A vormen, dat betekent een signaal, N/S...

Vervolgens koppel je met een ontvanger, de A naar een andere A, dan verkrijg je dus een P, dus 2x AA = P.

Wat betekent dit dan? Dit is niks anders dan twee A, hangt er een beetje van af, maar laten we stellend at een seriele schakeling van twee radio's een A is.Ook een seriele schakeling van een normale signaal met de SinA is nog steeds een A.

Door nu deze signaal te ontvangen met behulp van een ontvanger, magnetisch, dus zoals hierboven afgebeeld, met een circuit van ionen ertussen, een S/N verkrijg je dan....Hierna deze te draaien in X, Y, Z en Z- en vervolgens terug te zenden, daardoor verkrijg je dus een continue kringloop van signalen...Nu pas is de mens bezeten met satanisten en dat is dus niet emt allerlei gekke andere gedachtes en de psychoses die je erbij krijgt zijn allemaal gratis en nep!


Wie zijn dit?

Het hoeven nog geen instanties of grote landen te zijn, die deze trucjes uithalen, het moeten charlatans zijn, maar ik geloof ook in sommige professionals, die dit zouden moeten kunnen...Vaak zijn ze zogenaamd van de hogere sferen en onder de Metselarij, figuren ook van de KKK, vooral die organsiatie vind ik hun boegbeeld van terrorisme!


Hoe kan het dat zij dit kunnen?

het is een techniek, die eigenlijk ouder is dan we denken, dat geloof ik, maar dat in deze tijd de duivel het voor elkaar krijgt iedereen te betrekken en te manipuleren, dat vind ik nog steeds niet aannemelijk!


Hoe kom ik ervan af?

Niet, als deze soort, wat ze ook mogen zijn, hun gang kunnen gaan. Enige wat rest is namelijk deze P weg te halen door deze af te schieten. Noem mij maar gek of een soort primitief, maar wat anders dan?

Dit betekent dat een dubbellaser of fotonelaser moet worden afgevuurd in deze richting aangegeven, dat is N/S, trekt +/- elektronen aan in een baan, in een fase...Richting de ruimte...Het simpelste wat er is, is om vervolgens een + zoals hierboven afgebeeld erop aan te sluiten, dan krijg je alsnog een kleine ontlading. Dit kan natuurlijk niet Jan en Alleman!


Het sterrenbeeld van de profeet Jezus

Wij moslims geloven dus, staat in de Koran, dat mensen sterrenbeelden bezitten...Ik geloof dat de profeten het sterrenbeeld "Ahmet" dragen, of droegen. De duivel en zijn metgezellen, doen er alles aan om deze sterrenbeeld gekruisigd te houden...Met behulp van technieken en veel energie, en geldmiddelen, die zij erin stoppen.

Wat wij als mensen moeten doen, is dus op basis van geografische ligging/locatie en de draai van de aarde, zoals afgebeeld met MANDALA's, de aarde bezit een draai in de vorm van een MANDALA, de draai van de aarde om zijn as en in het heelal, moeten we eigenlijk alleen voor de profeet bepalen wat zijn draai is, dus de MANDALA van Ahmet. Verder hoeven geen enkele mensen een MANDALA op kaart te brengen, want alle magie volgens de oude principes in ieder geval, zijn gebaseerd op het sterrenbeeld Ahmed, want dat heeft te maken met de kruisiging van de profeet Isa/Jezus...Dat is spiritueel gebeurt, denk ik, maar dus niet fysiek, anderen zijn symbolisch voor hem in de plaats gedood, dit is de islamitische blik, behalve dan de spiritule visie, die komt meer van mijn kant.

De draai van de aarde, daar heb ik enkele jaren terug iets van op tv gezien...Dan lieten ze dus een MANDALA zien, daar komt het op neer. Stel dus dat AHMED ook een MANDALA bezit, maar dat er ook nog iets tussen zit, dat tussen zittend object, moet eruit.

Tegenwoordig bestaan dus geen profeten, ook Jezus, is waarschijnlijk als ik het goed begrijp bij Gabriel, in zijn slaap...Er bestaan geen profeten op dit moment, in ieder geval niet met volledige gratie van God/Allah. De duivel en satanisten zitten ertussen.

Dus MANDALA van AHMED vinden, P vinden, dat is een soort gekoppeld via een kruis...P weghalen hoe dan ook...Alleen voor het sterrenbeeld "Ahmed" dus, laat alle andere mensen met rust!

Want in het jaar 0 is als ik het goed heb, deze AHMED gekruisigd en zijn Harut en Marut, de engelen die dus de taak hebben hun eer te herstellen en het sterrenbeeld dus, aan de kant geschoven. Omdat dit de eerste sterrenbeeld is die is gekruisigd, behoeft alleen deze sterrenbeeld ontkoppeld te worden...

Of we nou daarvoor Star Wars of Star Trek moeten spelen, of we daarvoor een "Piramides en Triangels" scenario voor moeten uitvechten, dat nog terzijde...Want het kand at door een slimme techniek deze kruis en P ook nog een s zeer ver de ruimte in zijn gebracht, waardoor onze apparatuur dit systeem nauwelijks of niet kunnen zien!

Dit komt erop neer dat je eigenlijk deze kruis kunt vinden door in een dimensie te kijken...Dus X, Y, Z, Z- signaal verzenden en vervolgens pas kijken naar de P en dan naar je toe trekken op een bepaalde manier en vervolgens dan pas is zoiets uit te schakelen. Dat denk ik althans. Ik geloof in handige aliens enzo :-).


Zwakke plek van het duivelse systeem is dus "the eye of the Tiger," zo wil ik het noemen...

Dit is een waarschijnlijk goed verdedigde satelliet of object met zulk en functie, die goed worden verdedigd...Gekoppeld aan het spirituele systeem, dus, aan Ahmed als eerste, dus hier is het hart...en de roos...Er staat volgens mij zelfs "hit me." Maar goed!

Op dagen zou wellicht de aarde dichterbij deze locatie kunnen komen, vanwege de draai.


Toevoeging: hoe ver of hoeveel jaar is de boosdoener verwijderd?

Dit weet ik niet zeker! ik weet niet of de berekening echt klopt en of je hiervanuit geredeneerd een conclusie mag trekken.

+/- 260 jaar!

60 seconden/7.77 seconden= 7,722007722 seconde blijft over per minuut…Dit is in lichtjaren het getal dat  aangeeft hoe snel de boosdoener zijn systeem opzet...
4058687,259 seconden per jaar…

Volledige berekening van hoeveel tijd de boosdoener overbrugt per dag en jaar en voor 2020 jaar.

7,722007722 seconde per minuut x 60 = 463,2 seconden per uur
:60 =
7,722007722 minuten per uur
x 24 = 185,3281853 minuten per dag
/ 60 = 3,088803088 uur per dag
x 365 = 1128,161235 uur per jaar
/ 24 = 47, 00671813 dagen per jaar dat de boosdoener overbrugd...Stel dat de antichrist of dajjaal over de aarde vliegt, denk ik dat dit 47 dagen duurt...Met vertraging dus...Voor hem gewoon een jaar, maar de overbrugging is 47 dagen van de 365....

47, 00671813 dagen per jaar, dit is dus hoeveel jaar voorsprong deze krijgt met 7,77 seconde vertraging, dus de boosdoener moet je voorstellen dat deze telkens een vertraging hebben van 7,77 seconden...Dat is dus steeds om de seconde 7,77 seconden vertraging als ik het goed beschrijf... Want ze moeten steeds licht circuleren om de aarde heen mbv reflectoren of anders...

x 2020 = 94953 dagen per 2020 jaar

= 260,1467688 jaar per 2020 jaar...

Wat betekent dit in theorie..? Dit zou moeten aangeven dat de boosdoener +/- 260 jaar heeft overbrugt sinds het jaar 0...

Het jaar 1760?





Technische verklaring voor de werking van de Iron Cross techniek, laatste kans!?

Richtmicrofoon...

Stap voor stap:

Kijk mensen, steeds meer uitvindingen brengen steeds meer kennis in me op. Ik ben namelijk van mening dat de boosdoener voor het stememn overbrengen mensen een S/N ontvanger moet plaatsen, hoe dan ook moet de mens of de kamer, ruimte, locatie, >>> waarin deze mens zich bevindt een S/N worden of zijn...

Stap 1: U moet het zo zien...Stel dat de boosdoener met ons communiceert via een N/S laser of lichtbron...Dit betekent dat twee frequentie sowrden gecombineerd en worden gestraald. Dus deze frequentie van twee frequenties wordt verzonden...Deze frequentie bezit overigens een lading, namelijk "ruis" = N/S = geluid...Trekt dus elektronen aan, een magneetveld trekt altijd elektronen aan...

Tot nu toe lijkt het erg op WIFI. De boosdoener kan dit al bereiken via twee serieel geschakelde radiotransmitters...

Dus een signaal wordt verzonden, maar nog geen echte ontvanger...

Stap 2:   Nu moet deze frequentie worden opgevangen door een ontvanger, die gekoppeld is aan deze systeem:





Dus de ontvanger moet gekoppeld zijn aan een stroming die + ionen aantrekt (S/N) en deze worden door de N/S frequentie opgepikt, ze reageren als het ware tot een +/-, dus N/S en S/N trekken aan en vormen een +/-...

Nu kun je al communiceren met deze mens...Waarom? Omdat elektrische signalen in het hoofd, worden omgezet tot geluid in de hersenen.


Conclusie:

Weet niet hoe ver de boosdoener is met deze techniek, het lijkt voor ons abracadabra en een vermogen dat ze hebben om veel te kunnen, maar ik denk dat als we samen goed over nadenken dat we deze boosdoener samen kunnen ontmaskeren. Dit kan technisch gesproken door een ontvanger te creeren van twee lasers (fotonenlaser/dubbellaser) en dan een + ionen stroom ergens te ontvangen...Via een richtmicrofoon techniek moet dit dus vervolgens kunnen dat deze stemmen worden opgevangen...

De frequentie doet er niet zo toe, maar dat weet ik ook niet zeker, omdat ik niet weet in hoeverre de boosdoener geavanceerd is.

Dus zodra van een plek naar het andere een signaal van N/S wordt verzonden en ontvangen, dit is dus serieel geschakeld, dan trekken elektronen mee met deze signaal, het betreft hier een lange magneetveld...

Als zij vervolgens een S/N ontvanger plaatsen, dus een N/S laser ontvanger met + (S/N) zoals afgebeeld erdoorheen...Dan ontstaat dus een +/- elektrisch veld, dat dus door onze hersenen kan worden omgezet in geluid!

Stel dat mijn buurman een ontvanger bezit, en iemand stuurt via een serieel geschakelde zender op de juiste frequentie, die zij van te voren afspreken, dan kan ik wellicht doordat een elektrisch veld in mijn huis ontstaat toch geluid horen!


De Iron Cross zender..?

We hebben gezien, wat ik denk dat de ontvanger is van het systeem, de vierhoekige ontvanger, nummer 350. Wat we moeten doen is de zender uitvinden, die is beetje anders...

Voor het beledigen van iemadn, in psychiatrisch opzicht, moet de boosdoener dus gebruik maken van een technologie, want ik geloof niet in stemmen in het hoofd. Noemd at maar een verzinsel van "de baas."

Ik weet dondersgoed dat mensen dag en nacht bezig zijn met deze "stemmen in het hoofd," te laten ontstaan.

Alleen weten de "Autobots" nog van "niks" in Cybertron, terwijl "The Decepticons" rad draaien...

Afbeelding van iemand thuis...





Bluetooth? Echt blauw of zijn er varianten, groen, rood, geel, want ik zie steeds deze bluetooth symbool in allerlei kleuren...Ik weet dat Bluetooth een Nederlandse uitvinding is, vandaar die kleuren.





Soefi's en veel moslims denken raar, alleen moslims in de hemel?

Zoals de Joden en christenen dus...Christenen denken dat alleen christenen in de hemel komen... De Joden weten zelfs hoeveel mesnen in de hemel komen, de hemel met vaste capaciteit, daarover moet toch worden gepraat met deze mensen...

Zo hebben wij de Soefi's, die denken dat niemand in de hemel komt behalve moslims...

Ik ben niet van deze mening, u begrijpt...
Ik weet wel dat christenen (heel de wereld zo ongeveer, behalve de islam) die actief spiritualiteit praktiseren, Metselarij genoemd, niet in de hemel kunnen komen...De rest, dus mensen die echt een goede leven lijden, dan bedoel ik ook echt goed, die maken kans...Of het nou een Boedhist is of een Atheist, of een Hindoe of christen...Als je deze praktijk tegen mensen verwerpt, en een goed leven kan lijden, wordt je volgens mij gespaard...Veel Soefi's zullen denken dat ik kafir ben nu (dat ze nu bewijs hebben) maar goed, so be it!

Wat is dan de plus van de islam?

De islam is zodanig opgesteld dat naast dat wij deze spiritualiteit niet mogen doen, wij rechtvaardig moeten zijn tegen mensen...Als u echt zou verdiepen in onderwerpen zou u zowieso tegenkomen dat rechtvaardigheid centraal staat bij de islam. Dat ook in de koran veel teksten wijzen op details, details die in de bijbel niet of niet meer voorkomen...

Zo is het natuurlijk het meest onrechtvaardig om bijvoorbeeld mensen te laten denken in waanideeen, door ze te laten denken dat engelen vals of gevallen kunnen zijn en dat mensen bezeten kunnen zijn...Zo heb je veel problemen met deze vorm van ideologie.

Over de hakenkruis...

Dat systeem moet zo snel mogelijk uit de lucht, zodanig dat Jezus terugkomt...

Ikzelf heb mijn hartstikke best gedaan om deze mensen wijs te maken dat uberhaupt deze technieken bestaan en dat deze in de ijskast moeten worden gestopt, of zodanig worden gebruikt dat er een product totstand komt, legaliseren e.d.

Dit ivm hakenkruis is eigenlijk vliegtechniek, je kunt door die rare 60 ogen transistor en de hakenrkuis toch echt vliegen...Noem mij maar gek, maar goed! Later wellicht zal de mensheid het begrijpen, N/S fotonenlaser op een S/N hakenkruis, dus met omgekeerde polariteit zodanig dat ze elkaar aantrekken. De kruis verandert de pool. Waardoor en het object zal stijgen en de fotonlaser het object wegduwt...

Toevoeging: 15/11/2020, 21:20
Net als bij magnetisch omdraaien van polariteit, oftewel 180 graden composiet, wat gelijkt op een UFO, noem het stabilisator...Anti gravity...Moet dus de frequentie zodanig worden omgebogen, 4 x, dus vier hakenkruizen = 4 hoeken, dus zeg maar dat 4 lasers worden afgevuurd en die opsplitsen in 4 andere delen en die vanaf die hoek weer terug worden gekaatst, dus zeg maar vuren en terugkaatsen...Je moet dus een cirkel realiseren, dat doe je door eerst in een hoek van 45 graden 4 lasers af te vuren, en vervolgens in de tegenovergestelde richting, symmetrisch deze 4 lasers op te vangen...Het gaat er wel om dat dus een X naar een Y as gaat lopen, zodra dat is bewerkstelligd, is 4 x 45 = 180 = anti gravity mbv frequenties...Zie beneden voor meer uitleg, hakenkruis...Het gaat erom dat je hoe dan ook mbv de SinA (backscatter signaal) en de ontvanger creert en deze terugkaatst in de fotonlaser...Dus een soort haken en ogen principe...

Dit alles kun je het beste realiseren met mijn eerste halve uitvinding: halfgeleider en meerlaags actieve isolatie element, het gaat erom dat je dus twee frequenties hoe dan ook koppelt, waarvan eentje backscatter...Je moet verder een ontvanger creeren voor deze gebogen frequentie en vervolgens terugzenden, haken en ogen...

Dit allemaal bereik je dus met 4 fotonenlasers aan elkaar, hier wil ik afbeelden, hoe de mens moet beginnen:









Omgekeerde narcisme? Wordt daar wel genoeg naar gekeken?

Soms hebben mensen een persoonlijkheidsstoornis waarbij ze denken hoog te staan als mens, maar lang niet allemaal zijn op dat moment narcist, soms zijn het waanideeen ook. Het is wel zo dat je wel iets hebt dan.

Velen denken dat ze hoger zijn en dat soort dingen, oftewel grootheidswaanzin.

Alleen vind ik dat onterecht te weinig aandacht wordt besteed aan omgekeerde narcisme...Oftewel het iemand speciaal vinden, dat hoeft nog niet negatief te zijn...Maar vaker hoort dit bij een negatief beeld, en dat kan gevaarlijk worden voor zijn slachtoffer. Zo zijn mensen, die denken dat anderen demonen zijn en allianties gaan zoeken om te oordelen over deze persoon...Oftewel het begrip "demoniseren."

Vaker komt dit bij religieuze mensen voor dat ze iemand aanwijzen...Ook in de islam en ook daarbuiten kan dit voorkomen.


Valse boodschappers? Alleen wanneer de profeet Jezus deze aanwijst, moet je in zo iemand geloven...14/11/2020, 20:10

De titel zegt het al, alleen geloven dat jezelf speciaal ben als de profeet je aanwijst, dit is voor sommige narcisten niet te harden maar goed...Het is wel werkelijkheid. Je kunt namelijk niet weten of je boodschapper bent, iedereen is speciaal, en velen zijn belangrijke mensen en we beleven allemaal gekke dingen, die "speciaal" zijn.

Maar als de profeet komt en iemand aanwijst dan mag je geloven in hem, voordat die tijd komt, mag niemand geloven in een boodschapper...

Ik merk bij de Soefi's gaat het helemaal fout, wat dat betreft, ze denken dat het nog 100 jaar duurt en dan wordt iemand in Medina geboren met de naam Mohammed en de vader heet Abdullah...De Soefi's denken dat daarna het einde van de wereld wordt aangekondigd, ze zeggen namelijk dat de boodschapper gaat komen met de profeet en dat daarna de wereld zal vergaan...Verder niet te veel op willen ingaan.

Gekte hoeft niet lang te duren, wil ik daarop zeggen...Ik denk dat de profeet Mohammed bedoelde dat zijn sterrenbeeld (Nur) "Ahmed," zoals in de koran wordt geschreven over de profeet, ook de boodschappers zullen deze naam (ismun (Nur) Ahmed) dragen. De vader Abdullah was ook profeet, ook Ahmed...

Pas als de profeet Jezus terugkomt, zullen de boodschappers allen profeet zijn en ook de profeet Jezus, allen hebben dezelfde sterrenbeeld.

De soefi's denken daarentegen dat zij "hoger" blijven dan een boodschapper, voor altijd...Omdat zij zogenaamd "evliya," zijn, oftewel mensen die dichtbij de profeet staan en die ook helderziend zijn. Zij denken daarom dat geen profetien meer zullen bestaan...Op de vraag en de profetie van Jezus dan? Hoe zouden ze dan antwoorden? Gekte, maar goed.

Hakenkruis, bestaat uit 70 prisma's, 2 zijn speciaal..? Een uitleg waar de boosdoener mee bezig is..! Fascisme...12/11/2020, 13:50


Wie dit project leidt is mij klein beetje de vraag, maar bij mij zijn continu hakenkruizen orde van de dag, ik heb gemerkt dat ze dit doen tezamen met het OHM teken wat zal wijzen automatisch naar Hindoestaanse spirituele terrorisme denk ik. Maar dit hoeft nog niet per se, het moet eigenlijk bewezen worden! Het zou net zo goed dichterbij kunnen zijn dan je denkt, Duits, Zwitsers of Engels gebied, wellicht meer! De infrastructuur die wordt gebruikt moet wel van Vodafone zijn, omdat die zeer uitgebreid is en ook dekking heeft in Turkije, ook belangrijk!

Wat is nou het probleem, hoe moet dit worden beschreven:

De boosdoener pakt dus een signaal en doet er iets mee, maakt een soort knoop in de vorm van een kruis: 10 prisma's. 3 eerst, 3 (de Z) daarna en vervolgens de echte 4...
Vervolgens plaatsen ze 20 stuks erbovenop, dat is in totaal 30... Dat is het plusje, rechtopstaand met vier stipjes ertussen...Bekend van de Rode Ster en de Oosterse kerk...
Vervolgens 28 prisma's op de 30 = 58 prisma's, dat heet de Iron cross... Namelijk de X met vier stipjes ertussen...

Nu moet je goed weten wat namelijk nu komt is moeilijk, want hierna komen 14 prisma's in actie...Waarbij 72 hakenkruis wordt gevormd, zodra de twee prisma's boven (van de 14) omlaag komen en een 58 + 2 = 60 ogen, oftewel transistoren vormen...De hakenkruis is ook gevormd, die is 60 + 12 = 72.

Een andere denkwijze is wellicht logischer te denken dat 58 wordt gevormd en een 12 prisma, vervolgens valt de 2 naar beneden en wordt 60 en 70 gevormd...Ik denk eerlijk gezegd dat deze beter klopt met wat ik zie/verneem!

Het gaat er dus om dat een haken en ogen principe steeds wordt gerealiseerd...Dus Iron cross is het oog, dat is een dubbele signaal overigens, met 1 rechte normale signaal en een krommende eraan vast...Dat heet de SinA...(Backscatter signaal, naar voren erachteren)...De hakenkruis, SadA, komt vervolgens na de 58 (Iron cross, SinA) en die wordt dus gevormd uit 58+ 10 + 2 = 70...

Wanneer de 12 valt zie je als psychoot de aanwijzing, die op het plaatje staat "in je hoofd," en op de grond of kamer...

De reden dat de 12 omgekeerd is, kan zijn dat het omgekeerd moet worden geplaatst, waardoor het systeem wellicht ook op zijn kop gaat staan beredeneren!

Zij doen deze praktijk als sinds 2008 als ik het goed heb, de praktijk met de hakenkruis, ik merk het want ze doen elke dag een nieuwe hakenkruis....Als we uitgaan van "zo gaat ie goed, zo gaat ie beter, alweer een kilometer," dan zouden we ongeveer kunnen bepalen hoeveel kilometer ruimtewinst ze hebben geboekt...Het gaat om een soort terraforming van de aarde, waarbij dus de St Wortel wordt opgehesen, dat klinkt dus gek, zo benoem ik dat...Een duivelse gedachte waarbij mensen worden gekruisigt en op de een of andere manier winnen ze dus terrein... Het systeem rust op haken en ogen, weet niet de exacte details...

Dus 5000 kilometer winst hebben ze gebeoekt, over de omtrek van de aarde...De rest volgt als wij zo stom meedoen of toekijken...Veel zullen aanwijzing vinden in een waanideee, maar laat dat hier terzijde, zelf weet je dondersgoe dat er iets niet klopt en heb je geen fundering op die mening van je....





De 60 ogen, links 24 en rechts 36, u begrijp ook links en rechts heb je links en rechts...





De stappen:





Ik had vroeger in een betonnen muur een professioneel aangelgd contrcutie gezien met een soort hakenkruis, die ik wellicht jammergenoeg heb vermorzeld, was aan de Utenhagestraat Rotterdam...Dit is zulk een chip, waarvan de functie onbekend is en die niet hoort tussen de muren, in een vierhoek opgesteld, zoals bij de Iron cross! Ik heb die dingen nog...





Stemmen overbrengen door de boosdoeners, een poging dit beter uit te leggen met behulp van een simpel oud voorbeeld...07/11/2020, 22:15


Ik heb lange tijd poging gedaan om dit stemmen horen te verklaren...Dat psychoses kunnen dat wil ik nog wel aannemen, maar dat alles valt onder psychoses, dat nooit van mijn leven...Hier is namelijk in theorie, niet gepraktiseerd, dit moet een manier zijn om stemmen over te kunnen brengen aan een slachtoffer...

U ziet beneden zijn afgebeeld twee zenders, en een ontvanger, die standaard moet ontvangen en terug moet echoen...Naar de eerste zender...
Vervolgens moet met de tweede zender, die parallel geschakeld moet zijn met de eerste zender dit signaal dubbel worden verzonden...


Verdere uitleg, een theorie:

Signaal 1: een enkele signaal, die door het huis raast, naar de overkant...Dwars door jouw huis...Nog helemaal niets aan de hand, dit betekent alleen wel dat een statisch veld is gecreerd in je gehoor, maar je hoort nog niks...Helemaal niks als het goed is...N/S ontstaat in je hersenen doordat links en rechts dit signaal doordringt in je gehoor.

Signaal 2: nu dat de ontvanger wordt ingeschakeld, wordt deze afgestemd en moet deze precies dat signaal terugsturen, vanuit een echo...Zoals aangegeven dus...Dan verkrijg je dat twee signalen zich combineren in de lucht en een N/S vormen...Hiermee heb je de basis aangelegd voor stemmenoverbrengen...Want je hersen kan N/S en N/S ontvangen in het gehoor, dubbel dus...Dan verkrijg je +/-. Deze +/- kan als de frequentie klopt, dus tussen de 20 en 20000hz worden ontvangen via receptoren in de hersenen...

Signaal 3: nu moet het signaal wat verzonden wordt dus dubbel worden verzonden zodanig dat dus 20 hz en 20000hz wordt bereikt in de lucht...Dat is niet hetzelfde en dat is waarschijnlijk het nodige afstemmen waardig...Het zou kunnen dat deze frequentie verandert naarmate de afstand van de ontvangers en zenders, dus naarmate de afstand dat wordt overbrugd groter wordt...


Voorbeeld:
U ziet duidelijk dat bovendien een blauwe lijntje loopt, precies evenredig met het eerste signaal...Deze blauwe lijntje en de uitkomst van deze twee signalen vormen de frequentie die wordt overgebracht...
Voorbeeld: 1 thz zender (2x) en 2 thz ontvanger...Stel dat in de lucht deze signalen een elektromagnetisch veld creeren en deze een frequentie van 3 hz creeren in de vorm van N/S. In dit voorbeeld hoor je dus niets...Het moet ten minste 20hz zijn, het geluid...

Stel dat dit wordt bereikt met 3 thz in totaal, dan spreek je wel van stemmen overbrengen via alleen signalen en trillingen in de lucht...


Waarom jij wel, ik niet?
Vragen die mij bij blijven zijn: waarom de een wel, de andere niet...En welke soort signalen worden ontvangen door het gehoor...

Alleen op deze stomme en oneerlijke vragen van psychiaters kunnen we als slachtoffer nog niet zo een twee drie op antwoorden...Wat ik wel denk is, dat de boosdoener op het eerste moment, dus eerste stap, wanneer ze beginnen met iemand voor de gek houden, iedereen in die ruimte wel wat moet horen, maar zodra "een knoopje" wordt gevormd...Daarna is het over en uit...Een knoop komt overeen met een signaal dat een link met het lichaam gaat vormen, een soort Neuralink dus...dit kan ook in de vorm van een sterretje, dus een vijf of zesster of een kruis...Ook anders wellicht, met kruis en omgekeerd (double cross) om het signaal te verankeren...

Wat ook wel kan is een fysieke "product" in het lichaam, dat in principe heel weinig hoeft te doen, alleen aangeven waar de persoon zich bevindt...RFID technieken "lopen mee" met de tijd en met deze gedachtevorming, alsof we allemaal gecontroleerd mogen worden...Opsodemieteren met alle uitvindingen die worden gedaan, en lollig doen ermee spelen, met mensen en dierenlevens...Dan verklaren als psychiater aan de patient dat dingen niet kunnen...Ik vind dat psychiatrie een ware inhaalslag moet maken in denken en doen...Aannames en meer aannames zullen nooit licht werpen op de zaak!



"Kafir" en "Mumin..." Masonry oftewel Musrik'un...

"Kafir," betekent in het Arabisch, de ongelovige. Dit woord wordt gebruikt voor het aangeven van de antichristenen, de dajjaal en de sufyan, de Islamitische antichrist...

"Mumin," betekent de gelovigen en die trouw zweren aan god of Allah...

De kans bestaat dat deze twee groepen, dus christenen en islamieten door deze twee in aanraking, tot een conflict, kunnen komen...Dat is enerzijds...

Laten wee eerst uitleggen wat islamieten willen aangeven met deze twee begrippen...Sommige imams beweren dat enerzijds de gelovigen worden bestempeld als "mumin" en een of 1 kafir wordt bestempeld als de grote antichrist...En elke goede "mumin" zou dit moeten kunnen opmerken aan deze antichrist...Dus via een soort spiritualiteit.

Dan zijn we er nog niet...

De islamieten beweren en daar geloof ik zeker in, dat een "Mark of the Beast," oftewel een soort verstrengeling of iets ind e dna gebeurt waardoor de duivel vat wil krijgen op alle mensen. Dat gebeurt voordat een baby wordt geboren, in de baarmoeder van de moeder. Er zijn wel vergelijkbare dingen zoals nanochips e.d. die worden genoemd als "Mark of the Beast," wellicht bestaat een ander verband...Een fysieke extra verstrengeling anders dan de natuurlijke...

Dus tijdens de geboorte verkijg je een "mumin" als ik het goed heb. En de duivel verkrijgt "kafir." Op zich zijn dan alle mensen "mumin," dus niks aan de hand zo je zeggen.

Maar wie is dan de "Kafir?" Want waarom zouden we van de duivel, de Dabbe, de SATAN, aannemen dat iemand een "Kafir" is?

N.B. Dit is overigens niet volgens de Koran, dat ter verduidelijking...Dit is volgens imams, die na Mohammed kwamen en die de moslims hebben geinfluenced tot vandaag de dag...Dit heet "Rivayet."

Iedereen beseft natuurlijkd at een ware kans bestaat dat de antichrist de rol van Jezus wil gaan spelen...In ieder geval die kans bestaat. En ook de Mehdi, de Sufyan der Alevieten, een "nieuwe Ali," hoop dat geen enkel moslim gelooft in de Sufyan straks...Alevieten denken dat de Mehdi (Ali) net als de profeet Jezus een lichaam zal gaan krijgen en zal neerdalen vanuit de lucht op aarde...Toevallig allebei van dezelfde soort!

Dus deze twee, uit de lucht vallende jongens gaan de wereld op zijn kop zetten blijkbaar...

Er is wel een verschil in denkwijze...De profeet Isa kan wel uit de lucht vallen, omdat de engel Cebrail hem waarschijnlijk ergens in een dimensie bewaart, veilig en wel. Volgens de Koran is "hij meegenomen door Allah/god."

Imam Ali is al dood, dus vrede met hem verder...

Dus hoe weten we wie de echte "Optimus Prime" is straks? Zullen we vallen voor de antichrist of voor wellicht een profeet, die zijn beste dagen niet meer kent?

Zie deze links naar wat ik bedoel...

The return of Optimus Prime

https://www.youtube.com/watch?v=AWrSiPBS_Dg

Optimus Prime vs Optimus Prime (deze scenario kan ook het geval zijn dus tussen de Sufyan en de echte boodschappers (muhtedin is meervoudig))

https://www.youtube.com/watch?v=FIhS0PqlZaw

Ik hoop dat jullie begrijpen wat ik met deze voorbeelden bedoel...

Het gaat er dus om, om op dat moment zeker van te zijn wie we voor ons hebben, de leider die wellicht terugkomt, een oude of wellicht jongeman? Iemand die zich niet meer goed kan beheersen na al die tijd wellicht? De profeet bezit het sterrenbeeld "AHMED," dus omdat deze is gebroken zou het kunnend at hij gekrenkt kan zijn...Net zoals alle boodschappers (Mahdi), die zijn komst zullen voorspellen...

Elke mogelijk sceneario moet worden bekeken...

Stel dat het dus waar is dat de duivel de antichrist moet bestempelen met "Kafir," dan zou daar een rare technische verlaring voor moeten zijn, die kan worden voorspeld, ikd enk dat het niet betrouwbaar is, door de praktijken, die Paganisme oftewel Masonry heten, dus "magische perfectie." Oftewel de Islamieten noemen deze mensen magiers en zij zijn de allerslechtsten onder de mensen, de Musrik'un.

Alevieten zijn net als de christenen meester in "de magie" overigens...De nadruk ligt zelfs op de Alevieten, de nakomelingen van de Zoroastriers, die dus een tweede leven lijden...Het werk van Alexander de Grote..? Of zou hij de fout begaan hebben om de "magische perfectie" in Europa in te luiden...Wat lijkt op het volgende: een vrouw in nood helpen en zelf met die vrouw ervandoor gaan met dezelfde intenties...

De brug dat verschijnt na de dood volgens vele moslims, die erin beginnen te geloven...Sirat...

Normaliter geloven alle Soennieten erin dat de Heilige Geest, Gabriel alle leven op aarde beheerst...Dus alle leven gaat via Gabriel...Wanneer de dood erop volgt, dan vertrekt het ziel via de engel Azrail, vindt zijn weg via je eigen sterrenbeeld, naar god...

Dit was de normale gedachtegang...

Totdat die sufi's en Alevieten er een stokje voor zouden steken...

Vandaag de dag geloven meer mensen in een soort brug, die ze moeten trotseren na de dood. Ze noemen het Sirat.

Wat ik denk, is dat moslims in de war worden gebracht met duivelse praktijken, een praktijk waarbij de ziel door de duivel wordt opgesloten...Dus eigenlijk vindt iemand dan de dood niet meer.

Het is eigenlijk een eng en meoilijk verhaal... De duivel is een lachemist en die is bezig met een soort werk die voor onze normale burgers niet begrijpbaar lijkt...

Want waarom zou iemand zoiets doen? Hij heeft vast een goede reden!

Eerst moet men begrijpen hoe de duivel in leven blijft...Want de duivel is als ik het goed heb niet gekoppeld aan zijn eigen sterrenbeeld, die hij vroeger dus wel bezat...Hij heeft dus niet twee engelen, hoogstens bezit hij er eentje...

Via een dwarslink naar Gabriel blijft deze gecontroleerd, via een eigen zelfgemaakt bron of sterrenbeeld in leven, gekoppeld aan een machine, een Human Genome computer...Dat is wat ik denk dus, sommigen zouden dit bestemepelen als waanideeen, ik noem het een theorie!

Duivels kunnen alleen leven als deze computer voortdurend aanstaat...Want zodra ze worden ontkoppeld, zal hun ziel vluchten naar de engel Azrael en zal het de dood onder ogen zien...U kunt eigenlijk beweren dat duivels hun dood uitstellen, maar ook na de dood hoeven ze dus niet naar god...Duivels proberen hun ziel op te sluiten via een soort pijp...

Wat ik wel denk is dat alle duivels tijdens een grote schrikkeljaar, dan bedoel ik dus 333, 666 en 999 dood gaan en worden geboren!

Omdat deze schrikkeljaar dus alle sterrenbeelden (alle kaarten) door de war schud!

Jammergenoeg, maar god heeft vast een goede reden, duren zulke schrikkeljaren veelal eeuwen...

Toch heb je dus het probleem dat de duivels via een soort bruggetje de engel Azrail te slim af zijn...

Als straks de wereld op zijn kop staat, volgens sommige christenen en moslims, dan zouden alle mensen dus via deze bruggetje zijn leven proberen te beeindigen...

Oftewel, in die situatie zullen mensen dus dood worden verklaard, maar eigenlijk toch niet dood zijn! Eigenlijk! Want je bent pas dood als je dus Azrail bereikt!

De duivel is een martelaar en een groot vijand van het leven, zie hem dus niet als een normale oplichter, hij is heel anders!

Noem hem een alchemist en een Necromancer of een soort vampier...

Hij bezit weldegelijk technologie, sommigen ontkennen dit! Deze techniek wordt toegepast veelal door de Masonry van de christenen en andere geloven ind e vorm van kruisiging van de geest van de mens en een soort controle en verdrijf van "gevallen engelen," waaronder dus Azrail! En waaronder de engelen, die de magie juist proberen uit te roeien, de engelen Harut en Marut genaamd, uit Babylon, de kans bestaat zelfs dat dit de engelen zijn van Jezus. Dat is ook mijn theorie, niemand beweert dit verder, maar dit staat wel in de koran zwart op wit, zij zijn dus engelen die de magische perfectie moeten uitroeien...

De magische perfectie wordt tegenwoordig uitgeoefend door grote masons, die alle mensen op aarde willen voorzien van twee sterrenbeelden, namelijk "kafir" en "mumin."

Deze twee sterrenbeelden zijn zo slim en behendig door duivels opgemaakt, dat deze in het lichaam een soort koppeling aangaan met elkaar. Dus het lijken zeer op antigenen...Dus zodra iemand het sterrenbeeld mumin in zich krijgt, koppelt dit met de "kafir."

Natuurlijk begrijpt u, de duivel geeft zelf aan wie kafir is of mumin, dat jullie hierin zullen stinken, is dus weldegelijk jullie probleem! "Imtihan," oftewel een "trial."

De brug is dus niks anders dan een duivelse techniek, waarmee hij de menselijke geesten zal proberen te misleiden, opnieuw... Deze "Sirat" ontstaat en is dus alleen geldig nadat de aarde zijn einde zal bereiken, namelijk door kopje onder te gaan, oftewel nadat de magnetische polen zullen switchen...Van Noord naar Zuid en andersom...

Mensen die in een normale tijdperk sterven zullen dus allen via Azrail hun weg naar god vinden, dat wordt dus een eerlijke en vreedzame dood, voor nu!

De druk die wordt uitgeoefend op de aarde, door menselijk toedoen, door de magische perfectie, dat moet dus zo snel mogelijk worden uitgezocht...

-------------------- De boodschapper en de profeet Jezus...

Dus is het de vraag waarom sommige moslims beweren dat de laatste profeet Mohammed is...De reden is natuurlijk dat AHMED de gevallen sterrenbeeld is...Het is niet meer intact, waardoor Jezus nu aan Gabriel direct is gelinkt en zijn sterrenbeeld moet worden hersteld, wil hij als echte profeet terugkomen...

Ook de boodschappers, oftewel wat meeste moslims aanduiden met 1 persoon, genaamd Mehdi heeft als sterrenbeeld AHMED omdat de profeet Mohammed zei dat de boodschapper van zijn naam zou zijn, dus zijn en zijn vaders naam zou dragen...Dus vader Abdullah en zijn eigen naam mohammed, beweren de meeste moslims...

Ik zou zeggen dat dat een beetje irrelevante denkwijze is, ik ga ervan uit dat de Koran 100% de waarheid schrijft, daarin staat de profeet heeft de naam "AHMED." Aangezien de profeet niet Ahmed maar Mohammed heet, kunnen we concluderen dat in de koran wordt beschreven en wordt bedoeld het sterrenbeeld!

Dan zou het kloppen namelijk!

Namelijk Abdullah was profeet = AHMED
Mohammed was profeet = AHMED

Dus boodschappers en de de profeet Jezus zijn AHMED, dus als het goed komt, dus als het sterrenbeeld intact wordt, dan moeten deze twee profeten worden...
U begrijpt sinds mohammed zijn er geen profeten meer geweest...Dat zal veranderen en ik hoop dat daarna de wereld niet zal vergaan zoals de meeste christenen en moslims in geloven...

Als de boodschapper nu zou leven, zou dat betekenen dat hij waarschijnlijk een soort gedegradeerd is tot VELI, dat betekent boodschapper...
En zoals vele moslims eigenlijk zouden moeten weten is vaak een veli, geneigd om "gek" te worden, maar niet voor altijd! Hij kan herstellen!

Hoe sommigen stemmen horen, nogmaals...Technische oorzaak...Voor de mensen die ermee zitten...17/07/2020

Ik wilde het kort houden, maar lukte niet excuses daarvoor, ik wil dat hierdoor meer mensen het begrijpen...


U begrijpt wel, ik ben van mening dat het een technische oorzaak heeft, het fenomeen stemmen horen...

Om dit kort uit te leggen, moet ik eerst uitleggen hoe het menselijk oor hoort...Het gaat erom dat we twee oren hebben, met links en rechts geluiden die worden omgetoverd tot ruissignalen, die bij elkaar komen en een geluid produceren...

Nog een keer...Nu langzaam...
Geluid bestaat uit signalen, die zweven in de lucht als het ware...Maar dit geluid bestaat uit lagen...U begrijpt, geluid is een signaal die passeert...En zodra twee signalen overelkaar heen bewegen, ontstaat geluid...Dus een signaal kun je nooit horen, maar zodra twee signalen over elkaar heen bewegen ontstaat al resonantie...Dit kun je ook aandudien met N/S, oftewel ruis, oftewel polariteit...Dat is nodig, ook de mens maakt hier gebruik van...
Nu kun je dit geluid horen, alleen het gedeelte dat dus 20hz tot 20000hz...Ons hoorvermogen...
Om te kunnen horen, moeten bovendien de twee oren afgestemd zijn op elkaar...Oftewel N/S op N/S, de twee oren horen dus het zelfde geluid, van links en rechts, en de twee N/S signalen worden samengebracht in de hersenen, waar zich een +/- vormt en die uiteindelijk wordt omgetoverd door god in hoorvermogen...Zie het als twee resonerende oscillatoren die bijelkaar worden gebracht...Kijken wat voor muziekinstrument je dan krijgt...

Nu is het de vraag hoe iemand wel en iemand niet stemmen ontvangt? Het gaat erom dat we moeten denken dat deze resonatie gewoon simpelweg ontstaan is en bestaat, of wordt voortgebracht met behulp van een resonator...Die resonator veroorzaakt een N/S polaire signaal, die normaliter wel gehoord kan worden...Want er is ruis...En als twee oren dit horen, dan hoort iedereen dit geluid!

Stel dus dat een signaal wordt afgegeven, die voor het menselijk oor niet hoorbaar mag zijn...Zoals 2,4 ghz...Ik hoor veel mensen zeggen dat ze trouwens bluetooth wel horen piepen...

Nou is dus de vraag waarom de ene deze frequentie wel opvangt en waarom de ander niet!?

Eigenlijk hoort men 2,4 ghz niet te horen, omdat het een normaal signaal is...Het is dus niet resonerend...Als het goed is...

Dat betekent dus dat het oor deze signaal ontvangt of niet, maar hij brengt geen geluid totstand, namelijk: signaal + signaal = N/S en dat is nog geen geluid! Pas als N/S en N/S bijelkaar komen in de oren, dan is er geluid...Ik kan me wel voorstellend at als 2x wifi ergens staat dat door bepaalde omstandigheden, de oor gevoelig is, en dat dan N/S en N/S voor een piepje in de oor kan zorgen...

Maar hoe verklaar je nou psychotische stemmen?

Dat is het hem nou juist...Overal in de wereld en ook in Nederland ben ik dat tegengekomen, bestaat de zogenaamde "ruis in de ether" situatie, oftewel illegale uitzendingen die een doel hebben die neimand begrijpen zal, of kon tot vandaag wellicht?

Zo hoorde ik steeds via een zogenaamde "amplifier," telkens tonen, die duidden op ruis in de ether, radio 538...Toen ik dat liet horen zeiden ze dat dit zo moest zijn...Ik kan natuurlijk niet de wetenschap sturen, in mijn eentje, daar is onderzoek voor nodig door wetenschappers...

Hoe dan?

Deze signaal van radio 538 is geen resonerende signaal, maar u begrijpt onze oren horen dit wel, zit rond de 400hz...Of minder en meer...400-400 =N/S

Maar doordat wij twee oren hebben ontstaat in onze brein resonantie...Namelijk signaal + signaal = N/S, toch is dit niet hoorbaar!

Wel is het hoorbaar als een N/S resonator ergens draait! En deze signaal opneemt...Dus zodra deze twee signalen met elkaar communiceren in jouw brein, zul je dit heel waarschijnlijk merken...Dan hebben ze volgens mij echt wel contact!

Een resonator is bijvoorbijld een Schumann resonator, ik denk maar weet niet zeker of deze voldoet hoor...Het moet dus laten resoneren, maar het is niet de bedoeling dat de buurt het kan horen...Het gaat hier om een resonator, die twee signalen combineert, dus zeg maar twee oscillatoren...

Dan zou je moeten testen of deze frequenties die worden opgevangen resoneren in het hoofd...Waardoor vreemde stemmen kunnen worden gehoord...

TESTEN!


Toevoeging:

Je hoeft niet per se een resonator te hebben...Zodra je koppelt aan die "ruis in de "ether,"" stel dat is 400hz...
En stel dat signaal resoneert in mijn hoofd (nog geen geluid hoorbaar, ook geen piepje)...
Stel dat nu muziek wordt afgespeeld, dan zou je het moeten horen...Omdat ruis in de ether = 400 en muziek = 400 ontvangst en zenden tegelijk...= geluid in het gehoor...
Omdat een normaal signaal van 400hz, inde oren resoneert en als twee normale signalen op elkaar afgestemd in de oren resoneren, dan ontstaat wel geluid!

Dus normaliter hoor je nooit signalen...
Dus twee signalen op elkaar hoor je normaliter ook niet...

Wel kun je twee signalen horen als wellicht allebei zijn afgestemd op 20hz - 20000hz...En tegelijkertijd zenden en ontvangen...

Hoe ze dat geluid in je huis krijgen begrijp ik nog niet! Wellicht is dat nog ingewikkelder, met antennes en x, y, z as antennes... Ik kon het dus waarnemen met een simpele Radioschack mini amplifier, met een antenne eraan...






De kenmerken van duivels en de praktijk!
Gevallen engelen, wat de islam uniek maakt in denken is dat islamieten geloven dat engelen niet gevallen kunnen zijn...
Dus dat duivels niet behoren tot de engelen soort! Ook "the Beast" niet.

Dit betekent dat het fundament voor "sirk" en "musrik," het zogenaamde godslastering in de vorm van Metselarij, door de islam verboden is...

Vroeger, voor de renaissance was het ook strict verboden door de kerk, tegenwoordig niets meer van over...Wel bestaat nu een vreemde "moderne technologie," voor het praktiseren. U begrijpt met de jaren is veel veranderd.

Wat ik denk is dat de duivelse insteek van metselarij gebied wint overal in de wereld, zoals Moses had aangekondigd zouden alle landen hieraan meedoen als de tijd zou komen...Een paganistisch, oftewel een vreemde soort technologisch vraagstuk, die de mensheid tracht op te lossen...Waardoor veel mensen ervan de dupe kunnen worden...Veelal psychologisch...

Naar mijn mening gaat het de duivel uiteindelijk om het bouwen of klaarmaken van een Human Genome computer, waarmee hij de mens wil verbinden via KAFIR en MUMIN. Onder en boven op elkaar geplaatst! De kafir en mumin zijn een soort spoorelementen, die de duivel creeert en aan een mens toewijst...Waarna deze de elementen verbindt, Dus kafir op mumin...Waarna iedereen onder invloed raakt, uitiendelijk wil hij iedereen met een druk op de knop omleggen...Daarna volgt slavernij...Einde van de wereld...En van vrijheid blijheid...

Dit is de enige goede tactiek van de antichrist...Betere list heeft hij simpelweg niet!

Het gaat erom dat links op je hand, 81, verbindt met, 18 op rechts, dat daartussen een soort link gaat ontstaan, die buitensporig is...Dus in je geest zit een soort verstrengeling in de vorm van energie, een soort duivelse spoorelement...Er zit dus absoluut geen duivel in je! Geloof daar niet in...Dat kan namelijk niet!

De link tussen 81 en 18 en de hakenkruis...Een combinatie van kruizen, die een soort vreemde letters laten zien, die lijken op kafir en mumin, ik weet niet eens of dat hetzelfde is, wel zijn ze zo gemaakt dat ze koppelen, wat gelijkt op de vorming van antigenen in het lichaam, die koppelen aan elkaar...

De duivel bezit 12 kenmerken, die in de koran worden genoemd:

(Dat zijn soms voor mensen confronterende kenmerken, als je een van deze kenmerken bezit, neem dan van mij een "break." Zorg dat je jezelf goed inschat!)

1 Liegt vaak en is een gluiperd, in die zin dat hij iets in zijn schild uitvoert...Ibrahim sura 22...
2 Laat mensen leven in angst...Al-I imran 175...
3 Probeert onrust te veroorzaken in de maatschappij onder de goede mensen...Isra sura 53...Maide sura 91...
4 Probeert mensen te overtuigen dat hij goede dingen voor hen doet, en te overtuigen dat ze goed bezig zijn wanneer het niet goed gaat...Araf 20-21...
5 Laat mensen in zichzelf geloven door zich voor te doen als iemand, die wordt geleid door GOD...Waarmee hij grip krijgt over deze mensen en deze kan negatief beinvloeden...Fatir sura 5-6...
6 Geeft mensen valse hoop...Ibrahim sura 22...
7 Geeft mensen valse ingevingen en probeert hen te doen nadenken over slechte zaken...En die goedpraten...Nisa sura 119-120...
8 Probeert mensen te doen leven in angst voor armoede...Blijkbaar probeert hij hen een soort materialisme aan te praten...Bakara sura 268...
9 Geeft mensen het gevoel beter te zijn dan anderen, door valse ingevingen te doen ontstaan...Sad sura 74 en 75...
10 De duivel spoort zelf aan tot een soort aanbidding, dit om saamhorigheid te scheppen onder zijn eigen volk en om de andere mensen te doen denken dat zij goed bezig zijn...Nisa sura 38
11 Psychologische inbreuk op het geweten veroorzaakt door steeds te doen alsof het slachtoffer is geworden van anderen...Isra sura 64, Mumtehine sura 1-3...
12 Laat mensen letten op details, zonder een soort overzicht of een gemeenschappelijk belang te doen zien...Bakara 67-71...



Wat zijn engelen, volgens de islam, de christenen en alevieten, boedhisten en hindoes? Gevallen engelen? Nakomelingen ervan?

Engelen worden over het algemeen aangemerkt als dienaren van God, direct gecreerd door god.

Er is echter een wezenlijk verschil in denkwijze, die (straks) allesbepalend zal zijn voor het uiteindelijke doel dat de mensheid streeft, namelijk: overwinning ten opzichte van de duivel! Dat is ten minste zwart op wit, waarschijnlijk wat 99% zou willen...Verwacht niet anders...Maar je weet maar nooit hoe hoog dit getal is...

Maar de rode loper gaat uit en de grenswaarde wordt bepaald door geloof. De kans dat de duviel maakt op overwinning is veel groter dan men denkt, puur omdat grote volkeren met grote legers, anders doen en laten dan dat ze zouden moeten...

Zo bestaat een verschil in denkwijze, de grenswaarde, is door de christenen, alevieten, boedisten en hindoes anders opgesteld dan in de islam...

Waar maakt Murat Tanta zich zo druk om..?


Wat zijn engelen eerst...

Engelen zijn ieder ontstaan, doordat sterren en planeten ontstaan...Zo bezit een mens of een alien een sterrenbeeld, dat bestaat uit twee engelen, die dus een sterrenbeeld vormen...Op deze maneir geredeneerd ziet u waarschijnlijk in hoe ver en hoe dichtbij zij staan tegenover de mens, dus en dichtbij en ver...Je kunt beweren dat engelen god dienen door "de tijd" goed te houden of te zetten zonodig... U begrijpt het heelal is een soort uurwerk van biologische oorsprong...Tijd is ontstaan door god...Uiteindelijk...


Duivels

Ooit zijn er wezens of levenden geweest, die een stokje voor deze tijd hebben gestoken, zich hebben gehaakt aan de tijd en hun eigen dimensie en tijd hebben gecreerd. Duivelse soorten...Zij zijn erin geslaagd een ruimte voor hunzelf te creeren, waarmee zij hebben bereikt engelen aan de kant te schuiven...

De cinwereld...Is wellicht een benaming voor een van deze dimensies...

In de islam wordt beweerd dat vaker engelen en duivels gevechten aangaan en soms sterven duivels, weet neit zeker hoe dat zit met engelen...Hoe dat zich dan manifesteert...


Waarom heeft de dajjaal/antichrist hogere slagingkans op aarde dan elders?

Omdat de grootste groepen/religies op aarde van mening zijn dat (gevallen) engelen moeten worden verdreven...Uit mensen, uit het heelal, uit de hemel e.d. Zo ver gaat het nu...Als mens bezit jij overigens niet de gave om zo ver te reiken! Laat de hemel met rust! Zo kunnen zij in het kader van duiveluitdrijving iemands geest uit de zevende hemel verdrijven...Als voorbeeld...

Ik weet wel dat de haknekruis ontworpen is om twee driehoeken in de vorm van elektromagnetische velden te haken aan de hemel...De hemel moet je zien als 81 links, en 18 rechts, dan is 18 de hemel...Als je daaraan haakt, ben je eigenlijk of eigenlijk zeker satanistisch bezig...Op zijn zachtst gezegd.

Zo heb je de Alevieten binnen de glorieuze islam, die openlijk doen aan dit soort praktijken...Doen mee met de rest van de wereld...De echte islamieten doen niet mee!

De islam is een geloof, die vreedzaam is en die weet dat engelen onschendbaar zijn...Het is ook het geloof dat leert hoe de duivel zich openbaart en dat het een levende wezen is, een cin of drie cins, is nog onduidelijk. Zo heb ik in mijn boek laten zien dat de duivel ontkomt aan de dood, door te proberen in zijn eigen dimensie te bewegen...

Toch wordt die onschendbaarheid door culturele invloeden en leugens vanuit veel bronnen, zoals Wikipedia, die leugens over de islam als waarheid aangeeft, aangetast...

Kortom, volgens de islam bestaan gevallen engelen niet en volgens alle andere religies inclusief de Alevieten bestaan deze gevallen engelen, die met mensen allerlei kattenkwaad uit hebben gehaald, vroeger en nu nog... Zie Nephilim...

U kent het waarschijnlijk wel, als u mijn site heeft gelezen of mijn boeken, geloof ik in een zwarte magie praktijk in deze wereld, dat hoe dan ook, the bigger picture, mondt uit naar de duivel...Hij heeft baat bij deze technologische hoogstandje, de paganistische praktijk kun je het noemen, menselijke offers in de vorm van spirituele praktijken, die dit mogelijk maken...Vroeger werden mensen afgeslacht hiervoor, nu doen mensen een nieuwe vorm, het spirituele offer, oftewel de geest aan de demonen voeren...Of ze beseffen wat ze doen is natuurlijk de vraag, denk van niet!

Ik denk dat 99% van de mensen niet mee wil doen met de duivel, maar op een gekke manier, door de jaren heen een verkeerde standpunt heeft ingenomen, dit heet godslastering mensen!

Of je nou islamiet bent of christen, laten we stellen dat hindoes en boedisten ook een soort christenen zijn, we willen allemaal winnen van de duivel, maar het is de vraag of we hem niet te veel hooi voor de vork geven...

We moeten eigenlijk af van de praktijk... Dit betekent dat wij af moeten van de gedachte dat, de engelen Azrael, Harut en Marut, en nog andere engelen gevallen zijn... De gedachte gang klopt niet met de wetenschappelijke benadering...Je kunt zeggen nogmaals, dat de engelen zijn verdreven uit een gebied, waardoor de duivel vrijspel heeft in zijn dimensie...Maar om te zeggen dat een engel gevallen is...Zijn sterrenbeeld, zijn ster..! Dat klopt echt niet!

Ik kan wel begrijpen dat een deelv an de tijd, stel dat is 0,000001% vvan de tijd tegenwoordig verbonden is aan de duivel...Die wellicht zijn "eigen" planeten en sterren bezit...99,99999% behoort nog tot de Heilige Geest >>> Gabriel!

Wij, onze planeet behoort nog tot deze 99,99999%. Nog wel...


De profeet Jezus en het sterrenbeeld der profeten herstellen...

De mensheid moet zich bekommeren om de vragen, waarom ondanks de praktijk, waarom kunnen we de profeet ISA niet terughalen? Dit betekent herstel van zijn sterrenbeeld en pas op de plaats voor zijn engelen, wellicht zijn dat Harut en Marut, dat weet ik niet zeker...Het sterrenbeeld moet terug naar zijn oorspronkelijke vorm, in de vorm van AHMED.

De islamieten geloven dat de profeet Mohammed de laatste is van de verkozen profeten, de reden daarvoor is dat na een tijdje, blijkbaar rond die tijd, het sterrenbeeld Ahmed is gebroken, en nu geen profeet meer kan bestaan. Dat is de wetenschappelijke hypothese...

Het sterrenbeeld, daarvan moeten we nog uitmaken of zien, waar in welke richting van het heelal we dat moeten zoeken, welke sterrencombinaties e.d.

Pas nadat dit sterrenbeeld en de engelen hun normale werk kunnen doen, dus zodra het magnetisch evenwicht, de tijd, e.d. hersteld zijn, kan de profeet terugkeren...

Ik ben niet voorstander van een "slappe islam" zoals Gulensiten dat aan Turken en de rest van de wereld toebedelen...Ik vind dat de mensheid moet vechten tegen de duivel, en niet mag aannnemen dat na de komst van de profeet de aarde zijn ondergang zal kennen. Dsu we moeten strijden tegen de duivel om deze ondergang van de mooie planeet aarde te voorkomen!

Voorkomen dat de aarde gaat behoren tot de 0,00001 + 0,00001 = 0,00002%


Nephilim

Zo wordt beweerd dat engelen mannelijk zijn en dat ze met menselijke vrouwen gemeenschap hebben gehad en allerlei schepsels op de wereld zijn belandt...

---------
317   Waterstof produceren uit water...Warme methode...10/06/2020, 22:51 (Deze methode bestaat al, zie link)

Er bestaat een oude manier van mij, van waterstof produceren door geioniseerde water te "laten vriezen..." (Wat overigens niet echt gebeurt, ten minste niet op 0C)

Dit is een warme manier...Gebruik wordt gemaakt van de stoffen H+ en HS- en HO- en CO+...Vervolgens laat je deze over aan een kathode en een anode, voor Co2 wellicht een katalysator nodig...Voor zwavel kan een anode worden bedacht bekend van de nieuwste batterijen van lithium en zwavel...

Ik weet niet zeker of het al bestaat, lijkt op een simpele methode van produceren...

En of dit ook werkelijk kan, kan ik niet garanderen... Vooral moeilijk lijkt het om H2S, waaruit waterstof moet worden gehaald met behulp van een kathode...

Deze methode lijkt wel te bestaan:

https://www.stjornarradid.is/library/02-Rit--skyrslur-og-skrar/H2S%20to%20%20H2%20and%20gaseous%20S.pdf


Toevoeging: 10/06/2020: 23:25

Desgewenst kun je HO- omzetten naar ammonia.




8118 = 99, human genome...Hoe ontstaat een (geestes)ziekte? Corona als voorbeeld!

Omdat ikzelf ook geestesziek moet zijn, schizofreen, is mij altijd een raadsel gebleven wat nou de oorzaak is van een geestesziekte en wanneer je nou medisch gezien geestesziek moet zijn...

Het gaat om het zoeken naar een verklaring, een medisch en toetsbaar gegeven, van hoe en wat de oorzaak is van een psychose en geestesziektes..?

Dan bedoel ik eigenlijk, niet de mensen die vanaf de geboorte al down zijn, maar die meestal later in de leeftijd een geestesziekte krijgen...

Geestesziektes zijn waarschijnlijk het gevolg van een mutatie, wel door een ziekteverwekker...Deze mutatie is waarschijnlijk blijvend...


De verklaring?!

Ons lichaam is gebouwd uit een skelet met aders en cellen...Het genereert energie en verbuikt energie...God heeft het lichaam opgebouwd uit links 81 elementen of delen...
Rechts 18 delen, dit is afgebeeld op onze handen, in de vorm van Arabische cijfers, die wij althans op deze manier hebben becijferd en een waarde daarover hebben gevormd...Waarschijnlijk, de kans is groot dat dit dus klopt, maar kan wel getoetst worden...

De manier waarop de Beast deze evenwicht verstoord, is dus het echte onderzoek waard...

Laten we stellen dat het lichaam volledig in evenwicht is met de volgende elementen in het lichaam
81 rechts...
18 links...

De verstoring vindt plaats nadat iemand of een ziekte deze evenwicht gaat saboteren...Hoeft niet per se een manipulatie te zijn van een duivelse soort, het kan ook een parasitaire ziekte zijn. Wel erger is dat een parasitaire ziekte door de duivel wordt misbruikt...

Stel Murat heeft genoom blabla extra en heeft een geestesziekte waardoor zijn 81 en 18 in conflcit komen met elkaar. Dat kan zijn omdat bijv 33 links en 14 rechts elkaar raken, van de elementen in het lichaam.

Daardoor krijg je dus een energie en een mutatie, die blijvend is, deze 33/14 zal zorgen voor een geestesziekte omdat "de energie," bioligische kringloop, die ontstaat in de vorm van +/- of levensenergie in het lichaam zich anders gaat gedragen, deze werkt dan voor deze parasiet...Of andere mutatievorm...


Een voorbeeld uit de praktijk:

Stel je hebt een virus, die zich entert in het lichaam via het deeltje ACE2...Laten we dit enzym een noemer geven met 33...Net als in het vorige voorbeeld...
Nu entert de virus zijn DNA via deze deeltje, en de ziekte komt in de bloedbaan via de aminozuren of de ammonia, in ieder geval via een peptiglycan gaat het de bloedbaan binnen en de RNA wordt meegenomen, net als bij elke andere ziekte...

Nu ben je echter nog niet ziek...Nog niet zeker is het...De RNA moet zich namelijk bewegen naar de zenuwstelsel en een link vinden met de nummer 14 enzym, anders zal het niet kunnen nestelen...

De 14 bevindt zich dus virtueel in het rechtergedeelte van het lichaam, oftewel, het moet een biologische kringloop veroorzaken, wil het in leven kunnen blijven...Stel dat 14 de verbinding is met het zenuwstelsel...

Dit betekent dat ergens in het lichaam een proces van + naar - moet ontstaan en een verbinding van leven, die een soort energie tevoorschijn brengt...

Het allergekste bij dit soort verbindingen tussen links en rechts (+ en -) van het lichaam, is dat deze "anker" meestal bestaat uit een zeer geavanceerd deeltje, die dit toestaat. Voor zijn formaat, een virus, of een bacterie, is dit welzeker zeer ingewikkeld ontstaan...Dokters hebben het ook moeilijk, maar hebben laatste tijd veel computer en AI technologie tot hun beschikking, die passen en meten toestaan.

Bij Covid noemen ze het eerste deeltje, dat is Spike glucosamine...Dat moet je voorstellen, die verbindt aan het linkerdeel van het lichaam, er moet nu vanuit een biologische kringloop echt een tweede verbinding ontstaan, wil het iemand ziek maken...Dit RNA raast naar de longen, en hersengedeelte, ontstaat waarschijnlijk deze nieuwe deeltje...Of Spike 2, zullen we het noemen... Er moet volgens mij iets anders in het lichaam bestaan, een tweede anker, Spike 2 dus...

Deze anker, vermenigvuldigt zich, door cellen over te nemen, dit doet het bij Corona op een zeer snelle manier, het lijkt we op een versnelde celdeling, mutatie als bij de ziekte van kanker...


Hoe vermenigvuldigt een ernstige ziekte...Dit is een theorie van mij...
Dit is een oude theorie van mij op basis van de ziekte van kanker...Heb het mensen verteld en er zit een soort logica in, maar dit is nooit onderzocht door wetenschappers...

Er moet een link bestaan met het zenuwstelsel van de mens, wil de ziekte zich kunnen verspreiden in het lichaam, of wil het cellen kunnen overnemen...

De vraag rijst meteen of de ontsteking in de longen bij Corona bestaat uit verschillende cellen of uit bepaalde specifieke cellen, zoals bij een tumor...

Wat bedoel ik hiermee?

Stelt u zich een cel voor...
De virus entert zijn RNA...
Cel wordt na een tijdje na terugkomst van de receptor, vanuit "rechts" overgenomen...
De cel wordt nu gevoed door het lichaam van de mens, en virus kan makkelijk zijn weg vinden...Zonder dat het opnieuw gestoord wordt door de T-cellen...

Wat is nu gebeurt, waardoor dit mogelijk is geworden?

De tweede cel wordt nu aangevallen, maar de vraag rijst in hoeverre de Corona lijkt op kanker...Er zijn twee manieren om namelijk te vermenigvuldigen voor de meeste ziektes:

1 door de overgenomen cellen te schaduwen, waardoor vanuit het zenuwstelsel van het lichaam, een seintje wordt gegeven een nieuwe cel aan te maken...

Uitleg: wanneer de cel is overgenomen, kan de virus het idee geven aan de hersenen dat de cel niet meer functioneert, of niet meer bestaat...Door deze te schaduwen of te "kapen..." Dit ebtekent dus in de praktijk, dat een seintje wordt gegeven zodra de receptor tussen de cel en het lichaam wordt verbroken...Dan komt een nieuwe zelfde cel erbij, maar omdat van beide zelfde cellen, de sleutel is gebroken door de virus, is het natuurlijk denkbaar dat ook deze nieuwe cellen worden "bewaard." Hierdoor krijg je een soort stolling of een tumorachtige verschijning in het lichaam. Goedaardig!

2  een echte slimmere virus is eigenlijk veel gevaarlijker dan deze ziekte/virus...Eentje die dus elke nieuwe cel kan ontcijferen en steeds nieuwe cellen kan overnemen...Deze vorm van ziekte kan ernstigere complicaties veroorzaken omdat de afweer snel in de war kan worden geschud...Het kan dat je hierdoor meerdere tumoren of ontstekingen krijgt op meerdere plekken...

Mening: ik weet niet welke type Corona is, maar denk dat bijvoorbeeld de ziekte kanker wel een eerste vorm is...

3   Het kan ook dat sommige ziektes alleen het lichaam gebruiken om zichzelf te vermenigvuldigen, veel bacterien hebben deze neiging, om de menselijke cellen te grbuiken als tool om in leven te blijven en hun eigen biologische kringloop te creeren, waardoor zij uiteindelijk erin slagen een ammonia kringloop in het lichaam te creeren...Hierna is het een kwestie van tijd een mutatie plaatsvindt... Ook gevaarlijk! Met allerlei potentiele gevaren die het met zich meebrengt...


Waar bevindt zich de "anker?"

De vraagstuk rijst dus, welke RNA materiaal veroorzaakt deze verankering in de hersenen of in het zenuwstelsel, waardoor een energie, een biologische kringloop ontstaat, waardoor een levenscyclus ontstaat, waardoor mensen ziek worden...

Door wetenschappers wordt dus beweerd dat de cellen worden "gekaapt" door de Corona...hierdoor is het mogelijk voor de virus om zichzelf te voeden met suikers en andere ingredienten, waarmee het lichaam zichzelf voedt...Daardoor blijft het in leven...

Ook zeker niet onbelangrijk is de anker, dus dit kan naast een suiker, ook een zout zijn...Welja, zout...een bepaalde receptor, en zout kan als bruggetje dienen...

Bij bacterien verdenk ik ze dat ze het lichaam dwingen om ammoniumsulfaat en ammoniumnitraat te maken, waardoor zij zich verder kunnen nestelen in het lichaam...

De vraag is dus, welke element is het tweede "anker" in het lichaam, is dat een zout, een suiker, een ander RNA enzym..? Dat soort idee...


Mbv honing antigenen stimuleren te groeien tegen virussen...23/02/2020, 19:35

(Voor laboratoriumonderzoek)

Wat je nodig hebt voor deze methode:
  • honing
  • virus
  • bacterie, die tegen lage temperaturen kan
We gaan nu de bacterien en virussen met elkaar combineren, waardoor de bacterien drager worden van de virus...
Die stoppen we nu in de honing...Waardoor deze bacterien gaan fermenteren...Hoe dan ook we moeten zorgen dat de bacterien fermenteren met de virus eraan...
Nu de virus opgesloten is, gaan we de honing verkoelen tot ver beneden wat het aankan eigenlijk...De virussen moeten dood...De bacterien moeten deze kou kunnen doorstaan...
Nu zullen de bacterien zich ontfermen over deze virussen en zullen antigenen produceren, die wellicht ook wel toxisch kunnen zijn, let daar wel op...Dit zijn dus antigenen, die dan deze virus kunnen killen, oftewel de bacterie maakt zich immuun en overleeft...
De antigenen, mits ze niet toxisch zijn, kunnen worden gebruikt tegen de ziekte...

Ik ben geen dokter, maar vond dit wel een goed idee...Weet ook niet zeker of dit technisch kan...


Toevoeging 05/03/2020: Corona (???) Ik zou deze methode niet gebruiken voor deze ziekte ivm dat virussen kunnen goed overleven...Dan wordt je wellicht opnieuw aangestoken...Wel is het altijd goed om honing te eten tijdens ziekte...

Voor Corona geldt dat het bij warme temperaturen dood gaat...Dit zou best boven de 40 graden kunnen zijn... Bij vleermuizen en bij mensen blijft het in leven op ongeveer 40 graden temperatuur, dus... Dan zou je het andersom kunnen proberen...Door nog een stap toe te voegen door uiteindelijk de besmette bacterien tot 40 graden (niet meer!) te verhitten (na de koeling) en ervoor te zorgen dat de Corona wellicht dood gaat...Maar ik geef weinig kans, beter verder koelen dan -20... Vervolgens de honing een tijdje laten staan, gewoon op normale kamertemperatuur...Daarna "kijken" of antigenen worden geproduceerd... Honing blijft zo honing...

Normaliter moet zoiets natuurlijk in een laboratorium gedaan worden en moet men kijken welke antigenen welke bacterien produceren...En welke toxisch zijn voor de mens, en waarom longontsteking ontstaat e.d.


TOEVOEGING 1:
Hesperidine i.c.m. vitamine C het natuurlijke middel bij uitstek tegen Corona>>>Lees link...Dus koop extra fruit en eet. Let wel op Vitamine C 75 mg per dag en Hesperidine weet ik niet zeker, maar ik heb gezien dat tussen de 100 en 150mg wordt voorgeschreven bij bepaalde ziektes... Ik zou dat aanhouden. Capsules zijn meestal 500mg, dat is wellicht te veel.

https://www.sciencedirect.com/science/article/pii/S2211383520302999


Link toegevoegd: https://www.preprints.org/manuscript/202003.0333/v1

Sinaasappels bevatten meer hisperidine dan vitamine C!


Toevoeging 2:

Uit deze artikel begrijp ik dat Aloe vera en Hesperidine koppelen aan de virus en ACE2 verbinding...En dat de stof Sinigrin, van brocolli en spruitjes bekend, een soort blocker is...Die voorkomt dat peptiden vastkleven...Aan de virus lijkt mij...

Ik zou toch wel uitkijken met aloe vera, omdat weinig informatie bekend is. Maar de andere stoffen (spruiten, brocolli en limoen en vooral sinaasappel) zijn goed en hebben directe werking op het levensverloop van de virus in goede zin voor de mens.

https://www.ncbi.nlm.nih.gov/pubmed/16115693
https://pubmed.ncbi.nlm.nih.gov/23813341/


Toevoeging 3:

Bij nader inzien:
Zeg maar jammergenoeg, hebben we in ons lichaam naast aminozuren, maakt niet uit essentieel of niet essentieel, ook de zogenaamde ammonium en bijbehorende combinaties...Door bijvoorbeeld brocolli of spruiten te eten voorkom je wellicht dat peptides, combinatie van amino en allerlei andere stoffen en DNA en RNA, worden gehaakt...

Maar er is een maar (een knelpunt) in ons lichaam...Ammoniumverbindingen zullen nog wel blijven DNA en RNA vervoeren van zowel bacterien als virussen. Ammonium wordt aangemaakt door werking van bacterien in het lichaam...Ammonium kan worden geneutraliseerd door melk te drinken, overtollige ammonium wordt daarmee afgevoerd...Melk of zuivelproducten bezitten melksuiker dat dit proces ondersteund, lactulose heet dat. Toch zul je altijd ammonium blijven behouden...Maar het kan verschil uitmaken tussen bijvoorbeeld 20% ziek en 40% ziek...Je kunt je afweersysteem versterken op een soort indirecte manier.

Ammonium is een raar lichaam dat de werking heeft dat gelijkt op een aminozuur, en dat bijna helemaal "compatible" is met ons lichaam. Wat mij opvalt bij ammonia is dat naast relatief weinig studies erover, deze aminogedragingen in ons lichaam resulteren in opname van alles en nog wat, die eigenschap bezit het, vervoert alles. En dat alles vervoeren betekent allerlei "troep," dat door het bloed gaat, vanwege deze ammonium.

Ook kunnen methyltransferases virussen goed op weg helpen.


Toevoeging: 09/06/2020, 23:15

Deze link is een nieuwe studie, die aangeeft dat een bepaalde suiker zeer goed reageert met de virus...Dus SARS van toevoeging 2, met sinigrin, aloe vera en hesperidin, nu nog een erbij dat is: gamma-glutamyl-s-allylceisteine...Dit stofje bevindt zich in planten onder de noemer: Allium sativum...

In de studie staat dus verder niets over de werking, alleen wel dat nieuw onderzoek nodig is voor de effecten en gebruik als medicijn...

https://www.researchsquare.com/article/rs-23206/v1


Recombinant DNA, de methode bij uitstek zonder dierproeven...07/03/2020

https://nl.wikipedia.org/wiki/Recombinant_DNA

Deze methode is te mooi om waar te zijn en bij uitstek geschikt voor vinden van nieuwe geneesmiddelen, zonder dierproeven te hoeven doen wellicht...

In deze zin zou je bijvoorbeeld: menselijke eiwit, ACE2, die Corona gebruikt, kunnen combineren met de bacterie, die zorgt voor de longontsteking nadat het drager wordt van de virus...

Vervolgens wanneer via de honing methode of vanuit een laboratorium een nieuwe antigen is geproduceerd, kan men deze inzetten...De antigen is zowel geschikt voor de mens als voor de bacterie...Ivm recombinant DNA, je laat nu niet muizen, varkens of apen het werk doen...Je laat het over aan een geimplanteerde bacterie(groep) met menselijke eiwitten!

De antigenen werken dus ook voor de mens, de mens kan ze direct inzetten, dan heb je meteen een remedie...

Met behulp van melk zou je deze bacterien kunnen uitbreiden, laten groeien om meer antigenen te produceren...

Als ontvangende receptor zou de in het lichaam aanwezige ammoniumnitraat of ammoniumsulfaat kunnen worden gebruikt als ezelsbruggetje...

Toevoeging:

https://www.prosci-inc.com/covid-19/


X, Y, Z, Z- as voor het menselijk lichaam...09/02/2020, 14:00

Het menselijk lichaam bezit een frequentie van ongeveer 10 a 25 hz... Vooral het breingedeelte laat verschillen zien.

Energiestroom in ons lichaam veroorzaakt de frequentie...

Ook ontstaat dus een elektromagnetisch veld hierdoor, oftewel X, Y, Z, Z-.

Dit betekent dat onze ogen of ons lichaam in zijn geheel zich in de X as bevinden...

Alles bevindt zich eigenlijk op de X as...

Maar alleen de magie bevindt zich op een andere as...Ik denk de Y as...Daarom is het ook veelal onzichtbaar...

Door met je ogen rechtvooruit te blijven kijken en door de Z+ as naar beneden te trekken, kun je al merken dat dit wat met die wereld doet. Dus rechtvooruti blijven kijken en niet in je psychoses, want dat is de verkeerde as. Ook niet in je ooghoeken kijken. Je mag wel rechtvooruit kijken en van boven naar beneden trekken, oftewel denken dat je iets naar beneden trekt...


Toevoeging: als ik het goed heb, is het menselijk lichaam dus, X, Y, Z, Z- gewoon straightforward, dus rechtop. Om aan de mens een signaal te geven dat je kunt horen, moet je waarschijnlijk niet 90 graden maar 180 graden buigen, wil het een duidelijk hoorbaar signaal zijn, dan zul je merken dat dit geluid uit alle apparaten hoorbaar kan zijn. Alsof het als het ware uit de meterkasten komt...Als wij niet rechtop zijn gemagnetiseerd, dan kan een 90 graden composiet helpen...

Voorheen dacht ik andersom, maar 180 graden si waarschijnlijk the must have...Een soort ufo wordt het dan...Dan vallen de X- en X+ samen, van beide, namelijkd e zender = X- en de ontvanger, zijn wij, is X+, en ook voor de Y en wellciht zelfs voor de Z+ en Z- komt het uit...Voor de X, Y zeker, voor de andere twee niet zeker...

Toevoeging: waarom schizofrenen stemmen horen en anderen niet kan verklaard worden, doordat wellciht iets niet klopt aan deze mensen...Magnetisch...

Stel namelijk dat alleen schizofrenen 180 graden zijn gebogen, magnetisch veld, dan hebben deze mensen het rpobleem dat ze een normale frequentie, mits goed afgesteld, en ikw eet echt niet hoe en wat, maar dan moet het toch zo zijn, dat als een mageneetantenne wordt gericht op een patient, deze gaat horen...Omdat de 180 graden precies samenvalt met de normale as...Dus X+ op X- en Y+ op Y- en Z+ op Z- enz...

Waarop te letten bij communicatie mbv XYZ


Wat ik tot nu toe heb gezien bij deze "zwarte magie" van derden, is dat zij openlijk gebruik maken van een soort "other dimension." Deze dimensie bevindt zich ergens tussen wal en schip, meer kan ik er niet van maken. Noem het maar de "cin wereld." Oftewel "The planet of the cins."

Wij leven allemaal op onze aarde, maar de duivel wil ons en onze planeet... Daarvoor heeft hij een slimme list bedacht. Elke huis en elke straat is op dit moment ingedeeld in X en Y assen.

De X stellen we op groen en de Y, is dan de keerzijde, van 90 graden hoek, de Y is geel. Stel nu dat elke huis bezit een groene en gele gebied, dus X en Y.

De Y is dus de "cin wereld..."

Op de planeet aarde heb je hoge gebouwen en torens, die de Z vormen, die kunnen door duivels willekurig worden uitgekozen, het kunenn ook kleine gebouwen zijn of huizen. Het gaat erom dat het een soort antenne functie moet vervullen, deze vormt de Z+ as. Deze toren is + gepolariseerd, als ik het goed heb.

Dan is het simpel om te raden, dat er een boring naar beneden moet plaatsvinden, van onderaan de Z as, dat is de Z- as. Deze is minus (-) gepolariseerd. De YZ is geel en de XZ is groen.

Door deze constructie ontstaat het effect dat probleemloos deze kunnnen communiceren naar verre afstanden. Maar hoe precies, kan ik nog niet zeggen. Daarvoor moet dit nog worden uitgevonden.

Mijn vraag is dan, hoe onstaat de XY as? Laten we stellen dat de toren in de cinwereld, geel is van kleur en hier groen is.

Als je mijn motor bekijkt, dan zie je een koperen plaat die dit veroorzaakt, hoe doen zij dit? Dus dat koperen spoelen of stators "bewegen," met elektriciteit worden gevoed en dat deze elektromagnetisme veroorzaken en dat dit wordt gereflecteert aan beide kanten door de koperen platen, maakt de koperen cirkels een XY as.

De Z - is de donkere toren in dit geval...


De antichrist en de Beest...In de islam...

"Ka Fir," zogenaamde islamitische geleerden, hebben vroeger, na de profeet Mohammed in hun "Rivayet" besloten dat de Beest, de antichrist gaat verminken...Sommigen denken zelfs dat de Beest (Dabbetul arz) alle mensen van twee vormen van tekst gaat voorzien: namelijk Ka'fir en Mu'min...

Dit is natuurlijk niet zomaar een tekst, dit is een spirituele tekst, en valt onder een soort professionele "zwarte magie..." Het gebeurt met de in mijn boeken beschreven "plant van vuur." De bron is de Koran, Yasin sura, vertaling van Elmalili Hamdi Yazar.

De "plant van vuur," is een soort geestesverstrengeling...
Onze normale geest bevat een "sterrenbeeld" en daaruit putten we "nur," oftewel een soort elementen, een soort energie.
Deze dabbe, de Beest, gaat ons voorzien van twee dingen, die onze sterrenbeeld gaan verminken...Eigenlijk worden we met zijn allen gemuteerd, zonder dit echt te beseffen, hoogstens merk je dat je psychotisch wordt.

Laatste tijd heb ik het idee dat sommige groepen proberen de techniek achter "ka'fir" en "mu'min" te weten te komen, en dat ze daarin lijken te gaan slagen. Of ze zijn er al in geslaagd om de mensen nu te voorzien. Iets doet mij vermoeden dat zij hiermee bezig zijn en succes hebben op dit moment.

U denkt vast bij uzelf, wat gebeurt er nou als de Beest erin slaagt alle mensen van een sterretje oftewel een geestesverstrengeling inde vorm van een valse NUR, dus "ka'fir" en "mu'min," te voorzien.

Ze zeggen overigens dat het de Beest is, maar het kan net zo goed de antichrist zelf zijn, die dit gaat bewerkstelligen...

Sommigen hebben het over het bestaan van een A.I., oftewel artificial intelligence...Daar lijkt het wel op. De antichrist wil het leven vernietigen zoals u weet, of ten minste wil hij een soort slavernij op aarde creeren. Dat kan hij en zijn metgezellen alleen als hij iedereen kan voorzien van deze valse sterrenbeelden, waarna hij met een druk op de knop, of via een soort instrument waarin hij moet blazen, iemand of heel het volk lam kan leggen.

Het gaat erom dat hij ooit gaat verschijnen en dan blaast op zijn hoorn en dat daarna de mensheid in een soort "trance" gaat leven. Onder zogenaamde islamitische geleerden, wordt gesproken over de dood en de opleving na de komst van de antichrist. Iedereen wordt wakker, maar de wereld is nu anders, de antichrist zal verderf zaaien en een schrikbewind kan nu van de grond komen. Omdat hij met een druk op de knop alle levens op het spel kan zetten.

Of dit in de werkelijkheid echt mogelijk is en of het iedereen kan omvatten, weet ik niet. Alle mensen zijn uniek en we hebben allen een unieke samenstelling, het kan zijn bijvoorbeeld dat Henk en Murat dezelfde engel hebben, maar dat toch eentje afwijkt, waardoor het sterrenbeeld niet hetzelfde is. Volgens mij zijn namelijk alle sterrenbeelden ongeveer uniek.

Hoe en waarmee hij het voor elkaar gaat krijgen om zoveel mensen te voorzien en vervolgens te beinvloeden...

Wel zijn er op dit moment satanisten en andere zogenaamde spiritule groepen in de wereld, die openlijk deze vorm van geweld plegen. Het is en blijft een series spelletje, die zij spelen met de mensheid. Dat satanisme is geen grapje, en het haalt weldegelijk wat uit. Dus satanisten die mensen voor "mu'min" gaan uitmaken of andersom, vind ik een ernstige zaak en daar moet toch echt wat aan gedaan worden.

Bovendien, de keerzijde van het verhaal, de krachtbron van de antichrist, de donkere toren, daar doet niemand wat mee, wel probeert iedereen te onderzoeken, hoe die groene toren werkt... Groen lijkt mij toch echt een master systeem, maar donker is zijn master.

Voordat mensen grappig erover gaan doen...Dit verhaal komt ongeveer op deze wijze, maar dan wellicht totaal anders beschreven ook voor in de Bijbel, er wordt gesproken over "the Mark of the Beast," maar er wordt weinig uitleg gegeven over hoe en wat, dus de praktijk ervan. Het lijkt dus op magie, het heeft een keerzijde. Dus telkens als magiers iets "uitvinden," gaat deze uitvinding direct in het arsenaal van de antichrist.

U begrijpt, de nuance van goed en slechtheid in deze wereld is vreemd, zo geloven de zogenaamde islamitische geleerden er nu heilig in dat de Beest uiteindelijk de antichrist zal doodmaken.

Ik weet ook dat sommige mensen, er niets van aantrekken, en dat sommigen het gooien op psychoses. Maar o zo hypocriet zijn ze wanneer het aankomt op beledigen van mensen, psychiaters die denkbeelden hebben, die denken te kunnen verklaren waarom wij psychotisch zijn, denken dat wij "bezetenen" zijn en daardoor eigenlijk hun geloofsovertuiging aan wetenschap willen binden.

Alle psychoten van de wereld, of ze het beseffen of niet, er zijn namelijk mensen die niet eens beseffen dat ze anders zijn, worden verstrengeld met de geest van de profeet Isa. De profeet is direct verbonden aan de engel Gabriel. Alle mensen hebben twee engelen, maar alle psychoten en gelooft u mij, straks is dat iedereen, of wellicht is iedereen al zo ver, hebben een geestesverstrengeling straks met de profeet. Dat staat wel in de Bijbel overigens, dat nu iedereen "god" is. Een soort zelfde lot gaat beleven.

Dus twee engelen inderdaad en een hogere verbintenis met de engel Gabriel, maar ook het Bijbelse systeem wellicht, als dat klopt, wat ik in mijn boek "de St Wortel" heb genoemd. Gabriel, is benoemd met de "heilige geest," de Wortel van het leven.

Dan bezit dus straks iedereen in de wereld, een verbintenis met de engelen en een verbintenis met het duivelse A.I., wat ook valse Nur oplevert...en dat dit een gevaar betekent voor de gehele mensheid.

Sticky: zie nummer 87 hier onderaan, het belangrijkste van de hele site...



1 = 1,2,1,2,3,1',4
2 = 1,2,1,2,3,1',4,1,2,3',4
3 = 1,2,3',4,1,2,1,2,3,1',4
4 = 1,2,3',4

 

Dus je plaatst eerst de paganvierkantje op de hakenkruis, dat is:

1234
1234
1234
1234

Vervolgens heb je de basis voor de NATO ster dat is:

Oud!

3213
                2142                
1431
4324

Nieuw, weet niet of dit beter is maar deze klopt logischerwijs wel en de oude niet:

3214
2143
1432
4321

Daarna plaats je de 70'en, deze vind ik dus moeilijk af te leiden...

Wijziging hierin:

Oud: Fout!

3213243
14214321
324321
3243214
2132143

Nieuw:

3213243
1431421
3213243
1431421
3213243


Vervolgens plaats je de 5 ster, dat is van de drietand, usb!

Oud!

32142
21431
14324
43213

Nieuw:

32143
14321
32143
14321

Hierna komt nog een 70 voor de plaatsing van de zes joden davidsster:
Dit zijn er 8 stuks keer vijf:
Gelijkend op de drietand, deze is een viertand, bluetooth:

Deze moet nog. Oud!

32142132
43213243
14324314
21431421
32142132

Nieuw:

32143214
21432143
32143214
21432143
32143214

De zes ster jodenster: oud!

321431
214324
143213
432142

Nieuw!

321432
432143
143214
214321


Weet niet zeker meer of dit de juiste volgorde was. Denk het wel. Dus legenda: 321431, betekent: loop eerst de 3, dan 2 dan de 1 enz. zoals hieronder aangegeven.

Het gaat erom dat je bij alle posities draait naar rechts behalve bij 2 naar links als dit de laatste twee is, de eerste twee is ook naar rechts. Dus van 2 naar 3 is altijd links draaien.

Het huis (posities hangen van je huis af en hoe ze alles hebben neergezet):





1 = 1,2,1,2,3,1',4,1,2,3',4

2 = 1,2,1,2,3,1',4
3 = 1,2,3',4,1,2,1,2,3,1',4
4 = 1,2,3',4

Door bijvoorbeeld een zon 40 te lopen, het zijn posities in een elektrische stroomkring. 

Downloads aangaande hakenkruis:

https://www.dropbox.com/s/v1zquyghhezjzld/hakan4.pdf?dl=0
https://www.dropbox.com/s/skfrt48h0oqssbb/star.pdf?dl=0
https://www.dropbox.com/s/rqrplx0mmlpje56/hitler.jpeg?dl=0
https://www.dropbox.com/s/li0o8m15rkveubp/hokon5.pdf?dl=0


Toevoeging: code Tuareg... Zie voor legenda hierboven...

1,2,3,1,4,3

Optioneel is het dubbel 1,2,3,1,4,3,1,2,3,1,4,3

----------------------------------------------------------------

Nephilim...Kinderen van gevallen engelen? Maar engelen zijn genderneutraal..!

Dat is dus volgens de Koran, de engelen zijn dus genderneutraal en hebben nooit seks gehad met ons mensen...

Dus de Bijbelse verhaal is foutief.

Ik zie dat satansiten en paganisten, maar ook zionisten e.d. een waar praktijk hebben overgehouden aan "ons." Zij proberen met man en macht "gevallen engelen" neer te halen. In dit verband zijn gevallen engelen, zo redeneren ze, engelen van slechte mensen.

Stel dus dat de paus beweert dat ik slecht/bezeten ben, dan heb ik foute engelen. Dan moeten die worden bestreden...Erg he!

De twee lijnen van de Israelische vag zijn belangrijk hierbij...Ik zag laatst een echte engel en het was geen gevallen engel, die zij dus voor mijn oog haalden...

Echte engelen herken je aan de vleugels, die zijn ind e vorm van Libelle vleugels, en de foute engelen, de vlase of wat ze ook zijn, soldaten van een andere beschaving wellicht, zijn dus anders, die hebben ook vleugels, maar worden telkens afgebeeld met vleugels van vogelveren...

Zij zijn dus extreem langzaam in vergelijking tot echte engelen, die supersnel kunnen rondbewegen...

 Waarom ik en jij schizofreen moeten zijn..? Een theorie...

U begrijpt dat Jezus direct is verbonden aan de Heilige Geest. Van hieruit geredeneerd denk ik dat Jezus de twee engelen mist. Daarom is hij direct verbonden aan de Heilige Geest, Gabriel. De engelen Harut en Marut moeten het sterrenbeeld van Jezus in ere herstellen en de duivels proberen in de tussentijd zoveel mogelijk zielen te vergiftigen, eigenlijk gebeurt dit per toeval. Dus ze keizen niet zelf uit wie ze willen "pakken." Het gaat om de engelen die ze willen pakken, daarom pakken ze ons. Wij zijn onderdeel van dat sterrenbeeld!

Dus de twee engelen > sterrenbeeld van Jezus > is Ahmed > stel dat deze worden gevormd door Harut en Marut > iedereen die is gekoppeld aan Harut en Marut, spiritueel dus een onderdeel vormen van het sterrenbeeld dat is beschadigd...Worden gepakt > Om te voorkomen dat Jezus terug kan keren naar de wereld > de duivel wil het einde van de wereld zien.

Veel mensen ervaren stemmen in het hoofd en realiseren dat soms nadat ze opnames, recordings van het voorval hebben gehoord. Dus advies koop een goede recorder en doe hem af en toe aan en luister terug!

Waar we ook voor moeten uitkijken als mensheid is de opkomst van het Zoraisme, het werk van Alexander de Grote tegen dit geloof wordt door de flikkers van tegenwoordig tenietgedaan! Deze volkeren die zich noemen: de vier, Zionisten, Zigeuners, Alevieten/ Zoraistrisme en Yezidi, maar ook extreem rechts en satanisten en paganisten doen mee. Veel culturen zoals Hindoes en Chinees doen mee!

The war on terrorism met een Islamitische nadruk, moet worden genegeerd. Als het de Westerlijke leiders lukt om de moslimlanden in de grond te boren, dan komt meteen Het Zionisme...Het Zoroastrisme...Daarna volgt natuurlijk spijt als men gaat merken dat het nog vele malen erger is geworden, de wereld.

De Koran en de Bijbel zeggen hetzelfde ongeveer over bezetenheid, maar hetzelfde wordt niet geleerd aan de mens...Mark of the beast...

Ik heb in mijn boek, de piramides en triangels, uitgebreid geschreven over de "plant van vuur." In de Koran beschreven als een letterlijk een plant van vuur, spirituele wortel, dat een verbinding maakt met de mens en de geest van de mens kan verdringen.

De bijbel schrijft dat nu alle mensen eigenlijk "goden" zijn geworden, dus hetzelfde ervaren als Jezus, toentertijd. Dit heeft verband met verbintenis aan Jezus en dus aan de Heilige geest, Cebrail, van alle mensen. dus via Jezus zijn wij allen gekoppeld aan Cebrail/Gabriel...En dat hoort eigenlijk niet! Jezus en alle andere mensen horen niet direct of indirect, via een mens, aan Cebrail verbonden te zijn.

Dus dit betekent dat elke mens twee engelen hoort te hebben, er bestaan geen slechte engelelen. Gevallen engelen zijn niet echt gevallen omdat zij weggestoten zijn, dus aan de kant geschoven door de duivel, waardoor bijvoorbeeld Jezus, een directe verbinding met Cebrail, Heilige geest Gabriel, verkrijgt.

Ter verduidelijking, Jezus is de enige persoon, die 1 engel bezit. Alle andere mensen zijn 2, bezitten nog steeds 2 engelen. 

De Koran zegt dat de Duivel in de baarmoeder van de moeder de mens injecteert, waarschijnlijk via dna mutaties, dus bij geboorte is de huidige mens al bezeten. En dus niet een singularity ofzoiets dergelijks...Maar echt iedereen is geinfecteert, alleen sommigen kunnen dus als slaven en metgezellen gebruik maken van deze "techniek." De slachtoffers, veelal schizofrenen genoemd, kunnen, mits zij niet samenwerken met de duivel, niet gebruikmaken van de "techniek," zij worden elke dag beledigd.

Veel mensen berijpen er niets van en kunnen er niets mee, laten we stellen deze mensen zijn een soort neutraal.

Laten we het hebben over Satanisme en paganisme in het land, waarom wordt dit toegestaan en in wiens nadeel gebeurt dit? Dat is de enige vraag!

-----------------------------------

 Een elektrostatisch veld tussen accu en motor of een ander stroomverbuikend object...20/11/2019, 23:20

Stel je bezit een motor, dat 2000 elektronen per seconde verbruikt bij 500 watt. Stel dat dit perfect wordt afgestemd...

De accu levert 100 watt aan het magneetraster. De vraag is nu hoeveel elektronen trekt het magneetraster aan?

Uiteraard is het elektrostatisch veld voorzien van 4 spiegels en een laser. Een elektriciteitskabel is getrokken vanaf de accu naar de motor, en een deel van de kabel is dus voorzien van magneten, die eroverheen worden getrokken...

Stel dat de magneten zo afgestemd worden dat bij 333 watt precies 2000 elektronen per seconde door het koperen kabel van de accu naar de motor gaan...Dan hebben we in principe winst...Maar hoe krijg je dit voor elkaar?

In principe is er stroom, gewoon stroom vanaf de accu naar de motor, alleen wordt nu een mindere wattage dan normaal gegeven...Maar toch wordt full power bereikt, doordat de magneten ook elektronen aantrekken...Dus dan moet je dat afstemmen...Een deel van de elektronen gaat dan in het elektriciteitskabel en vindt zijn weg naar de motor...

Een voorbeeld:

Of je moet stroom geven aan het magneetraster...
En direct stroom aftappen vanaf het magneetraster...
We tappen elektronen van de magneetraster af met een kabel van koper, met magneten eroverheen in een magneetraster...

Wat nu ontbreekt is dus, dat we wel elektronen hebben, maar geen fase, dus frequentie, waardoor nog geen elektriciteit is totstand gekomen, dat moet dus via een soort omvormer nog gebeuren...Dan heb je bijvoorbeeld 2000 elektronen per seconde...Die verkijg je met de magneten, in een fase van 7,5 hertz, de fase van de magneten in theorie, maar die moet 60 hz worden...Stel de accu levert hiervoor 333 watt energie...Dan heb je wel een flinke besparing...Of de omvormer verbruikt meer dan 166 watt?

Wellicht kan dit wel beter met Witricity?




-------------------------------

 Opwekken van warmte, hoe moet dat en hoe gebeurt dat tegenwoordig? 11/11/2019, 14:40

Om warmte te creeren moeten we dus een energiebron vinden, stel we nemen elektriciteit...De huidige generatie kachels voldoen niet echt omdat ze teveel zuipen...Dat is odmat een uiterst primitieve versie van verwamren wordt gebruikt. Metaal warm maken wachten tot je het warm krijgt, dat is eigenlijk niet van deze tijd...

We moeten als eerste beffen of weten hoe je warmte kan creeren...De lucht bestaat uit atomen en moleculen en deeltjes enz...Elke atoom of molecuul bezit protonen en elektronen...En dus bevatten deze allemaal een elektronenschil. En juist daar gaat het hier om...Als de mens het voor elkaar krijgt om deze elektronenschil te resoneren dan verkijg je warmte...

Voorbeeld:

Stel je hebt waterstof, om nu van waterstof warmte te maken, moeten de proton en de elektron in elkaar bewegen, zodat de elektronenschil een nieuwe frequentie opent...Dat wil zeggen: 1 frequentie is de elektron, maar als de proton erlangs gaat bewegen met snelle wendingen, ontstaat warmte...Je verkrijgt namelijk dan twee frequenties die in elkaar gaan bewegen...Dit brengt N/S, oftewel polariteit met zich mee. En dat resoneren is dus warmte...

Tegenwoordig wordt deze theorie niet gebruikt...Sterker nog deze theorie is van mij, denk niet dat het al bestond. Denk wel dat het klopt met de werkelijkheid.

Stel we hebben bijvoorbeeld "licht vangen," oftewel een elektrostatisch veld.

Als we mijn theorie erop loslaten...Dan kunnen we bijna niet snel concluderen dat zich deze situatie snel voordoet? Maar het kan wel! Kijk als je 1 frequentie van licht hebt, dan zul je merken dat niets gebeurt, oftewel geen polariteit, gewoon een frequentie...Maar als we licht vangen, dan stroomt het licht over elkaar, dus dan gaan twee of meer frequentie sover elkaar heen en dat creeert warmte mensen...Dit is de ultieme warmte generator, en dan hebben het niet alleen over de warmte die de laser veroorzaakt op de spiegels.

Als je geen magneten gebruikt, dan is het vrijwel stralingsvrij volgens mij en dit hoeft niet met lasers, kan ook met zonlicht of een lamp...

Zodra je een magneetraster gebruikt, van begin tot eind...Dan zul je merken dat de composiet iets anders is geworden, het trekt elektronen en ionen. Is niet stralingsarm en bezit eigenlijk een heel andere functie nu...Namelijk het aftappen van elektronen en ionen uit de ruimte en deze wegleiden dmv een magneetraster, een kabel van magneten voorzien...Daarmee kun je bijvoorbeeld radon verwijderen e.d. Je kunt ook expliciet een andere functie toevoegen zoals dat van een PPC, uitgelegd in "mijn uitvindingen."

 Stemmen overbrengen via lasers/frequenties? Een nieuwe poging tot verklaren ervan...

Ik heb dus zogenaamd stemmen in mijn hoofd...

Ik geloof er dus heilig in dat stemmen worden overgebracht omdat mijn stemmen totaal niet werken volgens mijn denkvermogen en denkwijze, ze zijn totaal anders...Ze kunnen commentaar leveren en een onderwerp beginnen terwijl ik aan iets anders denk, ook gedachtenlezen zit erbij. Maar ook kan ik opeens muziek horen, echte muziek...Niet zingen dus, wat ook is gebeurd een tijdje...etc etc waarom ik dus weet dat dit geen stemmen in mijn hoofd zijn, zoals zogenaamde wetenschappers kunnen aannemen, in ieder geval niet bij mij!

Aangezien ik recent erin ben geslaagd licht te vangen, kan ik ook meteen zeggen dat ik denk een methode te hebben gevonden om mensen van stemmen te voorzien...Ik denk dat ze dit dus wellicht zo doen, of heel anders wellicht, maar zo zou het kunnen zijn!

Wij mensen van het goede leven gaan door foute aannames en foute wetenschap de mist in straks...Dat ze elkaar cadeautjes willen geven vind ik best, maar als ze door bepaalde rapporten te schrijven, die deze wetenschap ondersteunen, miljoenen vangen, vind ik dat absoluut wel over onze rug...

Een voorbeeld van licht vangen:




Stel ik ben in de plaats van de bluetooth, nu komen twee signalen vanuit mijn geest naar buiten, als we bedenken dat het lichaam bestaat uit twee helften, links en rechts...Daar geloven de meeste culturen ook in, ik ook, wij ook. Dus stel dat ze op een bepaalde manier mijn frequentie kunnen ontvangen...Vanaf mijn geest...Laten we stellen, dat dit 20hz is ongeveer, breinimpuls frequenties...Of van mijn stem, die is rond de 100hz...Stel je ontvangt deze frequenties...Je laat het rondtollen...En geeft de frequentie af een kilometer verderop...Heb je telefonie/een communicatiemiddel eigenlijk...Je kunt met een microfoon vanuit de andere kant inblazen...Kijk het plaatje maar, vanuit nog twee posities kan het...

Laten we het toch simpel houden, stel ik bevind mij in een kamer en een ander bevindt zich in een aangrenzende kamer...Hij heeft een ontvanger...Hoort mijn stem en laat het tollen door deze frequentie op te nemen...100hz...Als hij op een bepaalde manier deze frequentie terugblaast, mbv eeen microfoon, kan iemand zich zeer beroerd voelen, omdat deze dan het idee krijgt dat deze wordt "bezeten."

Het lichaam ontvangt en zendt namelijk impulsen, impulsen zijn brainwaves, die produceren we maar kunnen ook ontvangen...Als die persoon deze signaal van 100hz ontvangt en hij combineert deze met 20hz, een brainwave te noemen, en zorgt dat deze stem terugkomt, dat kan omdat hij al een ontvanger heeft, gaat het echoen...Een soort "burst' signalen verkijg je dan...Zeer snelle signalen, die eigenlijk alleen door de hersenen kunnen worden omgezet in geluid.

Hoe deze hoerenzonen dus in eerste instantie contact maken met mijn lichaam is de vraag die deze zogenaamde wetenschappers moeten oplossen. Het is dus alsof ik telkens overal kan worden ingefluisterd en gevolgd, over heel de wereld en de stemmen zijn niet altijd hetzelfde...Zo was ik met de auto richting Turkije vroeger, toen hoorde ik Servisch praten, een klein beetje. Dat soort rare gebeurtenissen...Zo waren de stemmen in Turkije op vakantie ook heel erg anders...Zo had ik een keer last van een gebrom, alleen dat, geen stemmen, vervolgens jaar daarop, had ik last van alleen muziek in mijn oren...Geen stemmen. In Nederland aangekomen wel "gewoon" stemmen. Dat muziek en gebrom was ook tijdens het slapen, en was het ergste wat ik heb meegemaakt.

Dat niemand dit wat aantrekt, is dus het logisch gevolg van verkeerde aannames en arrogantie van zogenaamde professoren, die zich psychiater kunnen noemen. Arrogant is de Nederlandse psychiatrie als in 2019 nog altijd standaard geen controle, MRI, wordt toegepast op het lichaam, cq brein en borst. Ten minste moet dit wel gebeuren op verzoek van de patient!


Dus laten we het samenvatten, technisch:
  • Een signaal moet worden ontvangen vanuit het lichaam...Contact is er met het lichaam...Maar hoe krijgen ze dit voor elkaar, is het de kruis?


  • Deze moet worden overgebracht, naar een systeem, die deze signaal opslaat en elk moment kan terugsturen...Koekie eigen deeg? Dus je krijgt je eigen signaal terug? Dit kan ook wellicht mbv een geavanceerde recorder? Stel ze doen het op deze manier, lezen af wat ik denk mbv een computer...Vervolgens geven ze dit signaal terug dmv een eigen microfoon...
  • Ik snap dat niemand het hoort, wat zij terugschreeuwen...Het zijn burst signalen, die door de hersenen worden geproduceerd in geluid...Als deze signaal wordt verzonden naar mij en iemand is heel dichtbij stel, dan zal het nog niet lukken deze te horen...Want mijn breinfrequentie is wellicht veel sterker dan die van Jan Alleman, of heel anders kan het in elkaar steken...Wat ik ook merk, is dat ze altijd hun bek dicht houden als ik met mensen praat...
-----------------------------------------------------------------

Vodafone, en cellular inplants... Na de brand bij Vodafone in 2012... Zit ik met vragen...

Sommige organisaties in Nederland willen mensen wijs maken dat bepaalde dingen, technieken, niet bestaan e.d. Maar de wereld, vooral Amerikanen nemen grote stappen en maken zelfs cellular brain inplants mogelijk, die 1mm groot zijn. Dus moeilijk op te sporen...

Wat mij dus opviel, in de periode dat ik ziek ben verklaard, is dat mijn stemmen vooral gedachtenlezen zijn en continu "menselijke geouwehoer" aan mijn hoofd, meestal commentaar op mijn gedachten en mijn leven, maar alles wordt gepraat...

En wat gebeurde in 2012 toevallig...Ik heb rond die periode ervaren dat mijn stemmen waren verdwenen...later pas jaren later heb ik vernomend at een brand bij Vodafone is geweest rond die tijd....Sindsdien vraag ik mij af of ik niet een cellular inplant bezit en of de brand ermee te maken heeft of ik die stemmen niet meer hoorde, dat duurde 6 maanden, de pret.

Daarna begon alles opnieuw tot deze tijd...

U weet het waarschijnlijk wel, iedereen kan zulke inplants opkopen, iedereen kan een "dier" ermee benaderen en iedereen kan dan ervoor zitten en dat dier dus bekijken of volgen. Dat soort dieren verschillen, je hebt inplants voor o.a. slangen, apen, walvissen, orka's...Dus veel soorten dieren.

Cellular inplants maken gebruik van het telefonienetwerk om te communiceren met de master.

Cellular inplants bestaan al sinds het jaar 2003/2004 denk ik, in ieder geval staat dit in dit document...
https://www.dropbox.com/s/rl53u9y2tkvk5fg/alle%20informatie%20benodigd%20about%20rfid%20en%20andere%20inpalnts%20en%20cellular%20radio.pdf?dl=0

---------------------------------------------------------------

 Alien signalen, "burst," die wetenschappers uit aarde ontvangen, niet van alien origine..?

De zogenaamde "burst" signalen, hoogfrequente signalen, die niet door "iedereen" kunnen worden waargenomen...Dit zijn een soort geluiden eigenlijk, deze kunnen gemaakt worden via lasercommunicatie naar voorbeeld nummer 213, twee lasers bundelen en je hebt als het ware "geluid." Deze signalen, burst, oftewel scrambled signals kunnen wel vernomen worden via satellieten e.d., maar de vraag is of je het kan ontcijferen? En waar komt deze signaal vandaan? Dit soort signalen komen volgens mij voor op aarde en worden hier geproduceerd, express door geheime netwerken op aarde, die mensen het zogenaamde "stemmen in het hoofd" laten beleven. Hoe dan ook, hoor je deze signalen uit de ruimte in je hoofd en deze signalen worden door je hersenen vertaald in stemmen...

En niet iedereen hoort ze, dat is duidelijk, vaak is de boosdoener ook uit op het brengen van stemmen naar een persoon. Of bepaalde personen. En wel hoe kan dat dan? We hebben allemaal twee engelen, volgens de Koran althans. Boven deze engelen zweeft Gabriel, de Heilige geest. Elk mens bezit een uniek sterrenbeeld. Dus stel ik = rahman sterrenbeeld, twee engelen vormen "rahman." Dus een engel is Ra, en de andere is Man, bijelkaar vormen deze je sterrenbeeld. Als de duivel nu engel Ra verzwakt, kun je stemmen ervaren, doordat bijv het sterrenbeeld wordt bereikt, of je engelen worden bereikt, waardoor je precies zulke stemmen begint te horen.

Voorbeeld:

Stel dat Ra is bereikt, en dan hoor je dat, doordat je sterrenbeeld wordt gemuteerd naar Rahsinman, terwijl die sin daar niet hoort...

-----------------------------------------------------------------

 Verschil tussen de duivelse "plant van vuur" en de heilige geest van god...

Mensen zijn volgens d eKoran aan elkaar verbonden en worden beschermd door engelen die verbonden zijn aan de mensen en aan elkaar. Oftewel een soort crypto van god, die moeilijk te doorbreken is, alleen weggelegd voor demonen.

Zoals u beneden ziet probeert Satan dmv electromagnetische velden dit systeem van god te ontregelen, waarna hij en zijn metgezlelen een soort dimensie verkrijgen waarbinnen zij vrij kunnen bwegen. We weten inmiddels allemaal dat Satan overal en nergens zich in een mum van seconde kan verplaatsen, dat komt beetje door de "domheid" van de mens.

We zien het verschil, rechts onze Heilige geest die bestaat uit echte birtsigns, die zijn met Arabische letters, maar meeste hebben geen betekenis, of zijn een soort van onleesbaar. De verbindingen via Satan lopen op deze manier met electromagnetische velden, maar kunnen ook een soort Arabische tekens omvatten, let daar dus op, dat Satan steeds vernuftiger wordt, en zijn plant van vuur verschilt in dat dat deze is gemaakt en wordt gevoed met vuur, de engelen worden gevoed vanuit de geest. Twee engelen bezitten mensen, en deze twee veroorzaken een birthsign, sterrenbeeld of "nur" dat de kracht is van de mens...Elke geest heeft een verschillende wat het moeilijker maakt voor demonen om te "bodyhacken."

Alle "nur" of sterrnebeelden tezamen vormen de Heilgie geest. Christenen denken hier anders over, maar de Islamitische is volgens mij de juiste. Dat Jesus via via is verstrengeld aan de Heilige geest is het gevolg van Satans ingrepen...U weet waarschijnlijk dat Jezus maar een engel bezit, hij is direct verbonden aan de Heilige geest, Cebrail. Waarom is de vraag...Omdat alle mensen op aarde twee engelen bezitten. Demonen bezitten volgens mij geen engelen. Die sterrenbeelden hebben ze "verschoven."




---------------------------------------------------------------

 Verplaatsen in de dimensie van "de duivel" ???

Laten we paar aannames doen eerst...Stel we bevinden ons in een ruimte, in een schip, met aan de zijkanten geladen met een pluspool, vollledig, de onderzijde en de bovenzijde zijn +/-.

Nou lukt het je om via het schip een magnetische pool van + te creeren via het schip, dus stel, schip en de zijkanten zijn +, die stoten elkaar af en het schip stijgt op...Tot aan het denkbeeldige driehoekje bovenin, waar zich het +/- elektromagnetisch veld bevindt...Het schip blijft nu boven zweven in een pluspool en plusmin wordt = plusmin (+/-)...

Om te zakken zal het schip weer in een denkbeeldige driehoek moeten bevinden met dit keer een + beneden... Dus wordt het schip naar beneden getrokken...Heel simpel eigenlijk.

Dus in principe zou de mensheid nu al moeten nadenken over het creeren van een "+ schip," oftewel een magnetisch veld dat + geladen is...

Als men naar boven wil, dus wil wegvliegen, dan moet men het plusje bovenin inschakelen en niet naar beneden toe...Dus denkbeeldig creeren we een cilinder linksboven, waar het schip nu uit "de dimensie" of wellicht een soort warp, verschijnt...

Anderzijds kun je waarschijnlijk ook versnellen dmv deze techniek, door namelijk een cilinder te creeren over het schip, met + en + eromheen en vervolgens aan de twee uiteinden een +/- veld, waarbij de ene veld iets sterker moet zijn dan de andere voor acceleratie, bijv boven +/- = 500v en achteraan 1000v... Wellicht een idee voor latere generaties!




--------------------------------------------------------------

 Mensen die een soort telepatisch kunnen communiceren...Spionnen!?

Naast de vele schizofrenen denk ik, en ik ben hier serieus op ingegaan in mijn science fiction boek, dat er mensen bestaan die zich express laten muteren door sommige organisaties en die nu verbonden zijn aan allerlei netwerken die eigenlijk bestemd zijn voor spionage doeleinden.

We kunnen zo vaststellen dat dit kan... Let maar op...Youtube... Mensen die in hun hand een beeld kunnen vormen, voor anderen niet opmerkbaar. Dat is puur uitgevonden voor spionagedoeleinden. Je gaat echt niet jezelf laten implanteren met dit soort computers voor fun.

Naast de mensen die dus voor fun/geld zich laten implanteren en de vele schizofreen lijkende mensen onder de mensheid, zijn er dus ook mensen die zich wel laten muteren door organisaties en die dus telepatisch kunnen communiceren met elkaar.

Vooral in Turkije heb ik dit gemerkt, dat dit kan. Ik zag vroeger in Nederland Turkse moslimgemeenschap, een soort overste, die zogenaamd met zijn meerdere een soort telepathie voerde en die daarna rustig de verzen van de koran ging uitspreken.

Maar de techniek is niet van oorsprong uit Turkije. De techniek komt uit Japan, Zweden en Amerika voor zover ik weet, en denk dat vele andere landen er ook in geslaagd zijn deze techniek te kunnnen bemachtigen. Zodra een persoon is geimplanteerd kan deze stemmen ervaren, maar het zijn niet normale stemmen zoals een schizofreen dat hoort. Het zijn gedachtelezen, radio luisteren, muziek luisteren, ervaren van verschillende stemmen met talen uit verschillende landen, zoals Duits, Frans, Turks, Engels e.d. Meestal in de taal die je wel kent. Maar ook andere talen kunnen deze opnoemen, en dan moet je toch bij jezelf denken van waar gaat dit naartoe?

Stemmen in het hoofd, ok, mooi, maar er moet een grens bestaan...

Deze technieken zijn niet heel nieuw, maar worden wel steeds geavanceerdere. In de beginjaren van deze eeuw (2000>) zijn zogenaamde wetenschappers erin geslaagd miniscule implanten te maken die bedoeld zijn voor mens en dier. Miljoenen dieren zijn geinjecteerd met een implant. Voor fun doeleinden? Zie gewoon de grap er niet van!

En bij mensen kunnen ze dit dus ook, die chips zijn overigens te moeilijk op te sporen, wnat sommige zijn 1mm groot.

En andere implants, als je ze vindt, zijn ze omgeven door een tumor, of mogen ze niet worden verwijderd, bij grotere implants, dan verliest het slachtoffer zijn leven.
In een officiele document van de HAL (organisatie) kun je alles over het bestaan van dergelijke menselijke implants lezen...

Hier een dropbox link naar het document:

https://www.dropbox.com/s/rl53u9y2tkvk5fg/alle%20informatie%20benodigd%20about%20rfid%20en%20andere%20inpalnts%20en%20cellular%20radio.pdf?dl=0

---------------------------------------------------------------

 Volgens de Islamieten kan de Antichrist of dajjaal mensen laten doodgaan en weer tot leven wekken...Necromancy...

Dus het staat er al, dood en leven, via een bepaalde techniek realiseren, dat moet het kunnen... Dan moet het zo zijn dat alle mensen worden beinvloed, en dat alle engelen kansloos gaan toezien hoe hun "kinderen" worden doodgemaakt en weer tot leven worden gewekt zonodig... Een soort god zal het zich daarom noemen en zal ook ervoor zorgen dat het aanhangers krijgt onder de mensen, en slavernij wordt de toekomst van de mensheid... Als het Jezus en de andere sterkere mensen niet lukt om hem kopje kleiner te maken.

De techniek...
Ik verdenk de duivels ervan het Human Genome te bezitten. En wel hoe, zij kunnen en zij besmetten alle mensen met een bepaalde DNA, daar zit nu automatisme in. Met de jaren raakt de DNA steeds meer geintegreerd in de mens. De islam zegt dat de duivels, kinderen tijdens de zwangerschap al infecteren met een bepaalde ziekte...Dat staat letterlijk in de Koran. Of je dat accpeteert of niet doet er toe! Toch zou ik als Westerling dit goed bedoelde tekst onderzoeken...

Waarschijk en naar mijn mening gaat het om een soort ziekteverwkker geintegreerd aan ons DNA. Dat van moeder naar kinderen wordt overgebracht...

En de kans bestaat dat dit "kanker" is. Alle mensen lijden er onder, en alleen 1/3 krijgt een tumor. Dat is nu zover dat het onze beschaving bedreigt, een wereldweide epidemie.

Maar wat bereikt de duivel hiermee?

Zodra het lichaam afhankelijk wordt van deze mutatie in het lichaam, dan kan het dat door te "blazen aan de knopen," Tegenwoordig is dat volgens mij drukken op de knopen, kan hij mensen laten inslapen, doodgaan, creperen of weer tot leven wekken door deze lichaam te stimuleren...

In de Koran wordt gesproken over een "plant van vuur," dat is volgens mij wat ons dus bezighoudt, de mensheid iet het gevaar nog niet eens... Het plant van vuur geintegreerd in ons lichaam en geest, kan de mens ernstig doen lijden en laten tekortschieten... "keer op keer steken zij de plant van vuur aan, staat letterlijk in de koran..."

Als ik het goed heb is het een zwart witte substantie, met roze aderen, en niet alles groen, zoals bij een "echte" plant.

----------------------------------------------------------------

 23-7-2019, 20:46, Magnetisme en supergeleiding...

Hoe een supergeleider vervaardigen...
We hebben de methode nodig, waarbij gassen van een bepaalde soort met elkaar een molecuul vormen.

Als voorbeeld: argon en fluor, edelgassen, die samen de molecuul ArF vormen.

Stel we hebben deze twee gassen, als ze al kunnen verbinden dan kan dat alleen als de polariteit dat toelaat, naar mijn idee. Ze gaan niet vanzelf fuseren, daar is een laboratoriumonderzoek voor gedaan. splitsen zullen ze wel vanzelf.

Laten we stellen dat mijn methode waarbij gassen worden gecentrifugeerd, in twee aparte centrifuges, stel dat is argon en fluor, stel dat daardoor de elektronenschillen zodanig vervormen, onder druk, dat de elektronen over elkaar heen bewegen, een elektromagnetisch veld creeren en vervolgens ontstaat ruis, oftewel N/S gepolariseerde atomen, stel we brengen deze atomen samen en vormen ArF, dan is een molecuul gevormd met een andere smeltpunt en deze moeten we doen stollen, deze wordt vloeibaar en vormt wellicht dan wel een supergeleidende vloeistof.

Hoe we het voor elkaar kunnen krijgen dat we een chemisch vaste stof krijgen, moet ik nog uitzoeken, dus een vaste molecuul ArF in korrelvorm. Als het namelijk zijn polarisatie behoudt tijdens de vloeibare fase, dan kunnen we best spreken van een supergeleidend materiaal als blijkt dat de moleculen, waaruit deze is opgebouwd nog steeds hun N/S bezitten.

Dus vloeibaar wel een supergeleider, een makkie, maar weet niet hoe lang deze supergeleiding duurt.

Maar vaste stoffen: dan moet het waarschijnlijk verder worden gekoeld, en dat kost meer tijd en daardoor kan het dat we deze materiaal nog niet kunnen vervaardigen. Het kan worden gestold, maar dan zul je kunnen merken dat de polariteit is verdwenen, simpelweg betekent dit eigenlijk dat  P.S. AfF kun je (nog) niet vast krijgen.

Welke gassen zijn wellicht wel geschikt? Dat is waarschijnlijk nog vandaag de dag een punt van wetenschap en ontwikkeling.


Toevoeging: 24 - 7- 2019,10:30

Laten we een andere gas vormen: zoals

H en CO vormen HCO gas...

Stel we centrifugeren deze twee gassen en laten ze samenkomen waarna ze deze molecuul vormen... Nu is het de vraag of deze molecuul in vaste toestand aanwezig kan zijn, kan niets vinden op internet. Maar anders kun je proberen het te combineren met een stof als Calcium of Natrium om een vaste stof te genereren. Maar dan nog is dat geen supergeleider naar mijn mening omdat Natrium of Calcium niet gepolariseerd zijn omdat vaste stoffen denk ik niet gepolariseerd kunnen worden. Gassen wel, door ze te centrifugeren, warmer kouder en daardoor drukverschillen creeren...

Je hebt ook het proces van desublimatie of rijpen genoemd. Een gas vormt ineens een vaste stof. Dat komt volgens mij weinig voor of er is weinig onderzoek naar gedaan. Alleen de voorbeelden van water en koolstof zijn genoemd op internet. Dan vind ik koolstof een zeer interessante...

C combineren met een andere gas en deze proberen te desublimeren, een moeilijke kwestie, maar dan zou theoretische supergeliding een feit zijn. Dan heb je namelijk een Carbon verbinding molecuul, die zijn meestal geleidend en de N/SN/S magnetische binding zou supergeliding kunen betekenen. Gewoon met behulp van een vaste stof.

--------------------------------------------------------------

 Hemellichamen

Kort zal ik dit proberen uit te leggen...

We hebben het hier beneden, bij "hoe jesus is gehaakt aan Gabriel," gezien hoe Ha en Ra naar voorbeeld wordt verbonden met elkaar en een sterrenbeeld vormt. Ha en Ra zijn dus de hemllichamen.

Hoe die ontstaan is een moeilijker verhaal, het heeft te maken met energie in je lichaam, je lichaam produceert een energie, die is bij elke mens anders. Andere engelen.

De hemellichamen die wij produceren, de enrgie heet zo ontstaat als antwoord op de energie, oftewel, vuur in het lichaam. Laten we het maar vuur en alev noemen.

God heeft het lichaam zo opgebouwd dat het in voortdurende interactie is met de natuur, met behulp van de ze hemellichamen.

Een hemellichaam is op zich een sterk iets, maar wordt dus pas echt sterk als het een sterrenbeeld vormt.

Dat de duivel oprijst en vervolgens zomaar iedereen kan omleggen en laten oprijzen is dus niet mogelijk zonder dat er een techniek, een zeer uitegebreide techniek aan vooraf gaat, dat natuurlijk voor iedereen eigenlijk zichtbaar is en wordt aangemerkt als een psychose.

Ja inderdaad ik zie dingen in mijn hoofd, ik hoor stemmen in mijn hoofd, ik weet dat ik een van de weinigen ben, maar het worden er wel steeds meer!

Let op: in de islam is het verboden enig vorm van magie toe te passen en erin te geloven e.d.
Maar dit was vroeger, het mooie islam is verdwenen, lijkt het, nu heb je overal in de wereld klootzakken, zacht uitgedrukt, die het zogenaamd voor moslims opnemen, die allemaal musrikun zijn. Bekende is Fethullah Gulen, die er heilig in gelooft en zijn klootzakken, die dus mensen zogenaamd kunnen genezen e.d. Dat is nog niet de ergste, dat mensen genezen shit is openlijk onzin natuurlijk maar goed, laten we zeggen dat nu landen een soort Iron Cross systeem aan het onderhouden zijn, mbv de zogenaamde Masonry. In alle landen zijn deze georganiseerd en hebben clubjes, waar ze met elkaar "praten."

Wie nou de echte magische perfectie gaat realiseren is de vraag...Dat volk krijgt waarschijnlijk de grootste bonus...

 Hoe Jesus is gehaakt aan Gabriel...

Ik probeer met wikken en wegen deze onderwerp over te brengen... Weet niet of het past bij deze wetenschappelijke theorien...
Een normale mens bezit twee engelen. Wat in jaar 0 is gebeurd, weten we niet precies, maar ze hebben een god gemaakt van een mens of andersom hebben ze een mens gevangen genomen of iets dergelijks, waardoor hij waarschijnlijke rgens zijn rust pakt. Maar die rust is niet voor eeuwig. En het heeft te maken met een duivelse praktijk naar mijn mening. Jesus moeten we terughalen, daar zijn we allemaal over eens, oftewel hij heeft een plek naast ons op aarde.

Maar de praktijk bestaat nog...

Laten we kijken naar een normale mens hoeveel engelen deze bezit... Twee engelen die direct haken aan de mens... laten we nemen engel links = Ha, engel rechts is Ra, maar doordat ze bij elkaar komen ontstaat Harun... dit is maar een voorbeeld. Andere voorbeelden vans terrenbeelden zijn Ahmed en Amen.

Dus de engelen links en rechts, zijn wel sterk, maar vormen in een combinatie een kracht, een sterrenbeeld....

De sterrenbeeld is gekoppeld aan de Heilige geest, oftewel: Cebrail/Gabriel.

Er is dus geen directe link met de grootste engel, de aartsengel Gabriel...





U ziet beneden hoe Jezus is verstrengeld aan Gabriel... En dat hoort natuurlijk niet, Jezus heeft eigenlijk al zijn "power" verloren, zijn spirituele energie verloren aan een duivelse macht.

De twee engelen, waarvan ik denk dat dat Harut en Marut zijn verdrongen, zij leven nog maar ook zij hebben hun macht grotendeels verloren... De sterrenbeeld, welke dat ook is, is gebroken. En dat is wel een gemis! Indirect beinvloed dat de natuur en de biologie.

Volgens de Koran is Jezus meegnomen door GOD. Dat hij zodanig zijn power en sterrenbeeld kwijt heeft geraakt, dat is dus mijn theorie. Moslims zeggen gewoon, meegenomen door god. Dat is ook zo omdat Jezus, zonder de twee engelen niet een menselijk leven kan lijden en waarschijnk dan in het mooiste geval in de hemel leeft en ooit zal sterven...

Wat moeten we nu? Dat weet ik dus niet, we moeten de Heilige geest en de geest van Jezus in ere herstellen. Dat betekent dat een praktijk van haken en ogen en kruisiging van de geest moet worden afgebouwd, dat betekent ook dat de Iron Cross moet worden afgebouwd... Ik hoor sommigen al schreeuwen: never ever....

Ok het zal wel zin hebben om Murat en andere mensen die zogenaamd bezeten zijn van haken en ogen te voorzien..?

Een theorie, dat wordt opgesteld door hele grote viezeriken en vervolgens wordt beloond met de Nobel prijs, zulke theorien kun je moeilijk omver werpen. Daar is het ook voor soms.

Bijv de stelling: je bent bezeten heeft een nieuwe naam gekregen: je bent schizofreen, je hoort bovendien stemmen in je hoofd, die produceren je hersenen...

Geloof me al zou mijn hersen zoiets produceren, dan weet ik dondersgoed dat dat niet mijn geest is, die dat doet. Wij moslims geloven eigenlijk of geloofden eigenlijk dat deze stemmen worden ingefluisterd, via de geestesverstrengeling, doen heksen en andere hoerenkinderen hun best en werken zij soms verplicht voor de duivel.

Wat denk jij?

Zitten in hoofd of zitten ergens anders? Ik weet dat je helemaal wordt gebrainstormd door allerlei psychiatrische klinieken met allerlei workshops. Maar denk je nou echt dat iemand je naam roept en dat dat iets is dat dus je eigen geest of hersenen produceren..?

Nee dus! Dat je oren het horen en dat je hersenen er wat van maken, dat is juist. Maar het komt van buitenaf.




 Hoe stemmen/geluid overbrengen via radio... Een theorie, 27 - 2 - 2019, 11:11

Mensen wetenschappers hebben bewezen dat de lucht om ons heen geioniseerd is en + deeltjes bevat.
Wij zijn een negatief geladen mens volgens hen. Zoals afgebeeld:




Omdat wij twee oren bezitten, ontstaan er in de oorschelp twee signalen, die in elkaar bewegen waardoor ruis ontstaat en ook jammergenoeg magnetisme, oftewel N/S.
Omdat N/S niet kan reageren met N/S moet een radio worden voorzien van een koperplaat, hoe dan ook moet het N/S signaal worden gemaakt en deze moet worden omgezet in een S/N. De radio waves zul je zien, zullen interactie tonen met de mens. Omdat simpelweg zij in elkaar gaan bewegen omdat N/S op S/N.

Een elektroamgnetisch veld ontstaat daarbij van +/-, wat voor een soort stroomschok kan zorgen.

Hoe de duivels dus iemand stemmen overbrengen, p.s. ik geloof echt niet in stemmen in het hoofd, dat onzin daar krijgen ze tegenwoordig veel geld voor, miljoenen en miljarden tegelijk, maar voor zulk een technisch onderzoek worden nog vrij weinig tot geen reserveringen gemaakt.




Gecombineerd met isolatie en halfgeleider concept radio dan verkrijg je dit:





Toevoeging: 3 - 3 - 2019, 20:00

Het valt mij op dat je mbv een goedkope, dus 20 euro ongeveer bij bol.com, recordertje het beste resultaat verkijgt als het aankomt op vreemde geluiden recorden, die er dus wel zijn, maar waar wij minder gevoelig voor zijn, althans dat denken wij. Want met een simpele techniek kan de boosdoener dit tegen de mensheid gebruiken volgens mij.

Want in mijn woning record ik dus een radiozender, dat continu house muziek draait. Daarom kan ik ook geen goede opname maken mbv mijn goedkope recorder zonder ruisfilter.

Wat ik probeer uit te leggen is dus het volgende: geluid we weten allemaal hoop ik nu wel dat dat N/S polariteit is, elke speaker elke geluid heeft/bezit een N/S, ook geluid uit je mond is een trilling, het moet wel dat het een N/S bezit. Stel we nemen aan dat dit signaal een N/S is.

Stel de boosdoener ^^ bezit een soort apparaat waarmee hij of deze signaal kan gebruiken of dat deze wordt verhoogd in geluid. Dan kan het dat stemmen worden ervaren die eigenlijk helemaal niet in het hoofd zitten... Als iemand dit geluid kan verhogen, wanneer deze dat wil, dan zou dat kunnen worden ervaren.

Wat ik ook hoor mbv het recordertje is af en toe een psssss geluid, ik dacht al te weten dat het geluid wat in onze hersenen rammelt een snelle niet hoorbare ruisgeluid is. Dus je hoort een pssss en ervaart stemmen... Omdat brainwaves simpel gezegd, kunnen worden vertaald door de hersenen.

Pesterijen bestaan! Ze hebben al eeuwen bestaan, Jezus is gepest door deze boosdoener, Moses is gepest, de meeste profeten van de islam zijn gepest door de boosdoener. Sommige schizofrenen denken soms dat ze daarom wellicht belangrijk zijn. Ze moeten uitkijken dat het niet overgaat in narcisme en/ook waanideeen kunnen daardoor ontstaan.

Laten we zeggen signaal = N/S
We hebben een radiozender, die is S/N
Deze signalen in elkaar kunnen al stroom veroorzaken, dus meer iets in de richting van pssss... Vooral als deze frequentie een lage is, kunnen we spreken van een frequentie, die het brein hindert.

We kunnen in deze video zien hoe magnetisme elkaar aantrekt, als het gaat om ongelijke polen, dus bijv S/N en N/S. Je vrkrijgt een stroom tussen de twee polen en bij gelijke polen, dus N/S en N/S gebeurt er niets.

https://www.youtube.com/watch?v=9mtShfmTA3s

Dus normaliter hoor je dus niks! Alle signalen gaan we stellen op N/S en onze hoofd is N/S en heeft een lage frequentie van maximaal 50hz. Je hoort echt niet hoe een radio werkt of dat signaal van je recordertje hoor je ook niet! Maar die is wel belangrijk! Moet onderzoek naar gedaan worden.

 Hoe kan de antichrist iemand voor het leven markeren 666... 16 - 2 - 2019, 12:00

Ik zal een ietswat ingewikkeld maar toch simpel, te begrijpen verhaal opzetten hoop ik.

Het gaat erom dat in eerste instantie een mutatie plaatsvindt in het lichaam, de geest moet immers gekoppeld worden aan een computer/mainframe, die ons stemmen en psychoses geeft, via via wordt dit geregeld, maar hoe..?

N.B. Dit kan overigens met alle planeten en manen, we hoeven dus geen kernbom op de maan te gooien... :-). Ik denk ook dat het op aarde kan, maar dan duurt het volgens mij precies een jaar.

Stap 1
Nu speelt technologie een rol daarin, ik weet niet hoe het vroeger kon, maar tegenwoordig bestaat het begrip "Digitale gen technologie," iets vergelijkbaars moet het toch wezen, waarmee een koppeling naar het lichaam wordt geforceerd.

Stap 2
Vroeger hebben ze dit volgens mij met een soort bakens, dus zenders gedaan, maar tegenwoordig is technologie bijna eindeloos, het kan ver gaan. We bezitten satellieten, bakens en zenders, alles eigenlijk wat diegene wenst.

Maar wat nodig is, is dus een zender op de maan! JA OP DE MAAN! Ten minste dat of een satelliet eromheen, die vanuit de maan naar de aarde kan zenden. U begrijpt de maan is ideaal voor de situatie, het draait zijn rug niet de aarde toe en bezit precies een ingewikkelde tijdsschema met de aarde. Dus wat bedoel ik nou met tijdsschema: een sterrenbeeld is het. De aarde en de maan hebben elk een eigen sterrenbeeld, wat zich voordoet is dus dit:

http://www.mandalakleurplaten.nl/

Een mandala ontstaat in het lichaam een stroomkring. Wat uiteindelijk ertoe leidt dat je eigen sterrenbeeld verandert. Voor moslims: je sterrenbeeld, "nur," wordt anders. En als zij ertussen zitten met geschreeuw en praten dan ontstaat een soort telepathie.

Stap 3

Nu we dus een zender of satelliet op de maan hebben geplaatst, denkbeeldig, moeten we het signaal instandhouden totdat de maand rond is. Dus dit betekent dat de antichrist een maand nodig heeft om een mens van een verbinding te voorzien. Een mutatie, hoe snel dat gaat, weet ik niet.

U moet zich dit zo voorstellen dat dus wordt begonnen met de mandala en dat deze uiteindelijk in 29 1/2 dagen voltooid. Dan ontstaat er vanzelf een levenslijn en een kringloop van energie in het lichaam, daarna wat ze doen is volgens mij dat ze het continu praten en het signaal op aarde hoog houden... Wat ik ervan merk is ten minste dat er continu "op mij wordt gelet." Continu gedachtenlezen en influisteren e.d.




 Hoe kun je met behulp van zonlicht wind (+/-) laten ontstaan...

Het principe is simpel, maar de praktijk zal moeilijker zijn, dus het vervaardigen van een werkend product. Met name is dit belangrijk bij windtunnels...

We nemen twee reflectoren, die plaatsen we op een cirkelvormige reflector, met 360 graden invalshoek. De twee reflectoren schijnen naar voren...
Twee andere reflectoren in de windtunnel schijnen terug, recht terug op de reflector die schijnt.

Wat hebben we nu bereikt en waarom ontstaat nog geen wind en wanneer wel?

Door twee signalen aan elkaar te kruisen, ontstaat weldegelijk polariteit, dat wil zeggen, geluid/ruis, dat betekent dat we N/S verkrijgen door dit te doen. Is wel moeilijk eiken, maar het is mogelijk.

Doordat nu twee N/S reflectoren naast elkaar schijnen of doorlichten, dan ontstaat het effect dat zich een N/S/N/S gaat vormen, omdat biede poeln elkaar aantrekken. Dit zorgt voor stroom en voor warmteopbrengst.





Tuareg/Berbers: magische object code... Afrikaanse magie.


Legenda:
40   1 = 1,2,1,2,3,1',4
40   2 = 1,2,1,2,3,1',4,1,2,3',4
40   3 = 1,2,3',4,1,2,1,2,3,1',4
40   4 = 1,2,3',4


Code:

1,2,3,1,4,3, 1,2,3,1,4,3,

zoals u ziet is het dubbel... De 1,2 is de halve maan of X.

Te combineren met elke ster mogelijk, ze beginnen bij 3...

Als u wilt kunt u opzoeken wat een Tuareg is...





Er bevindt zich een "chakra" in deze plaag, het is bekend onder heksen, denk ik, maar deze is toch iets anders: 
aangegeven met "een breuk."
De eerste twee zessen worden geplaatst aan de St Wortel, plant van vuur, een zes recht naar beneden (afbeelding is wel correct, maar stelt niet diezelfde voor) dat is volgens mij 60 (van de hakenkruis), de andere 6 is aan de schuine zijde, rechts. De derde 6 komt in je lichaam ergens in je metabolisme. Meer kan ik ook niet weten.

Wat ik dus zag was dus een rechte lijn naar beneden met een Arabische 6, rood en een schuine lijn ernaast met nog een Arabische 6, rood. Later volgens mij de volgende dag, zag ik een witte 6 ergens in mijn ooghoek, maar waar in mijn lichaam, weet ik niet.




Met wijziging:

Laten we elkaar niet neppen...
De antichrist is geen islamiet, maar een echte rooms katholiek kan het eerder zijn dan iemand uit de islam. Het kan wel dat hij zich verschanst binnen de islam en daar zijn praktijken uitvoert. Heel goed mogelijk met alle kafirs en musriks van tegenwoordig, bijvoorbeeld duiveluitdrijvers/cinciler.

De Bijbel schrijft voor dat het een Jood zal zijn met Rooms katholieke opvoeding, bovendien stellen velen dat het een zwarte Afrikaan moet zijn. Wijziging: het moet ook een Aziaat zijn, met een zwarte huidskleur, dan zal het waarschijnlijk een Joodse Hindoestaan moeten zijn, die ook echt openlijk dit soort chakra's praktiseren. Dat klopt ook wel denk ik, omdat hij zal arriveren en komen met een praktijk, dat heet masonry. Dat zal hij zeggen, is tegen de duivel, maar dat is niet zo, het is zelf verheerlijking. Of hij Afrikaan is of Hindoestaan, kan niemand nog stellen.

Omdat bij zijn praktijk de kruisiging, spiritueel, en de hakenkruis spiritueel hoort, zal deze onder de christenen veel invloed kunnen krijgen. En dat heeft hij al volgens mij. Volgens mij is namelijk heel de wereld nu bezig met een Armageddon, dat is met wapens elkaar uitdrijven, dat is een spirituele bewapening met verkeerde wapens.

Ik maak het persoonlijk mee, de Mark of the beast. Dat is beneden afgebeeld, welja de zwarte Ottomaanse vlag, dat de 600 volgens mij (Sad/Dad) en de 60 is de Turkse (Sin), de 6 weet ik niet, waar dat op slaat.

Dan zou je denken in de richting van de islam... Niet doen. Wij islamieten zijn erg aan het dunnen en verliezen tegen dit soort volk, die openlijk magie praktiseren, aan een soort alevieten en duiveluitdrijvers. Wij mogen deze praktijk niet, we kunnen er niet aan deelnemen, satanisme is voor ons verboden terrein, diegene zullen als ergsten worden gestraft en zijn de laagsten onder de mensen, lager dan Satan zelf. Het feit dat ze lager zijn, is dus als ze zeggen islamiet te zijn, leven als islamiet zogenaamd en vervolgens gaan haken en ogen en blazen aan de knopen van de machines, die daarvoor bestemd zijn.

Maar het feit dat Sad/Dad en Sin islamitische symbolen lijken... De Turken bijvoorbeeld zeggen dat dat de maan en ster vertegenwoordigd, met bloed van de doden e.d. Laten we dat erbij zeggen.

Maar de christenen zeggen anders... De KKK uit Amerika en verspreidt zich over Europa, die heeft maskers en wapens en die dragen de Turkse rode vlag met trots. Ze weten en kennen de techniek ervan volgens mij, alleen zo wil ik het verklaren. Als dat niet zo is, excuse moi. Maar dan wil ik wel weten als Turk waarom wel.

Ik weet namelijk dat eerst een Z wordt aangemaakt, een elektromagnetisch veld, vervolgens wordt de kruis verheven dmv een 60 (ogen), Sina. Pas vervolgens wordt de hakenkruis opgezet en komt de Sad/Dad in werking en daarna worden de pagankruis en de sterretjes gezet.

Laten we nog eerlijker doen... Hoe willen sommige domste en narcistische christenen verklaren dat de islam nu het probleem is in de wereld? WIJ ZIJN TEGEEE. Wel zijn er eerlijke mensen op Youtube, die duidelijk het volk proberen uit te leggen wat het probleem is.

Het rpobleem van vandaag is waarschijnlijk dat de knopenmachines steeds verder zijn verbeterd en nu in onze handen als speelgoed worden verhandeld en gebruikt...




 Stemmen tussen de oren en psychoses tussen de ogen...


Wanneer je je ogen dicht doet en naar de zon kijkt, dan zal een niet psychotisch iemand rood zien. Zo was ik vroeger wel, helemaal "beeldschoon." (:-) Je ziet immer shet bloed en je hoort niet te zien, roze wit. Dus iemand die psychotisch is, ziet roze wit als het in de zon kijkt en zijn ogen dicht houdt.

Niet alleen op die manier te controleren: het kan zijn dat je een zwart vlekje voor de ogen ziet telkens die springt van her naar der.

Maar ook dat is nog niet helemaal klaar. We hebben nog een alatste manier om dit te controleren: namelijk de donkere kamer test :-(. Ga in een donkere kamer liggen en doe je ogen dicht, raak met 1 hand je ogen aan de buitenkant aan en doe dit voorzichtig, ga klein beetje je ogen naar elkaar toe brengen. "And watch the birdy." Je ziet dus een roze/witte vlek in je ogen, daar moet je aandachtig naartoe kijken. Als je dus ook maar een enkele psychose opmerkt. Dan bent u waarschijnlijk ook slachtoffer van een ziekte/kwaal.


Licht helemaal opsluiten, kan dat? Een poging doen? 23 - 10 - 2018 1:53

Het is een moeilijke... Ik heb het zo gedaan, maar uiteindelijk gaat toch licht terug en schijnt het heel indirect toch terug in de laser waardoor de laser kapot zal gaan. Het doel is dus de laser beschermen.

Je kunt het verder uitbreiden tot aan nowhere, als dat nodig is.

Wellicht als je de laser snel vervangt door een spiegel, dat je toch licht hebt gevangen?




Hoe licht terugkaatsen?

Volgens deze schema komt licht in kruisvorm in vier prisma's omgeven en licht schijnt door de driehoekvormige pisma's en kubusvormige lenzen met vier zijden worden erachter geplaatst. Met kleine spiegels erachter die het licht terugkaatsen. U zult zien dat alleen spiegel niet werkt, maar dit denk ik wel! Als lict wordt afgebogen als ik denk, en laat zien, dan wel. Ik heb het niet gepraktiseerd, dus wie weet?



 Zie de theorie over "Elektronenschillen van atomen 27 - 9 - 2018 1:26" (5 - 10 -2018 toegevoegd)


Polaire bindingen en van der Waalskrachten...


Als we aannemen dat we links O2 en rechts CO2 centrifugeren, zullen Van der Waalskrachten polaire bindingen laten ontstaan tussen O2 en O2 en CO2 en CO2, waardoor zich in de centrifuge zich O4 en C2O4 vormen... Eerder hebben we laten zien dat een centrifuge de elektronenbanen van de moleculen of atomen zodanig rangschikt, dat vanderwaalskrachten moeten ontstaan, doordat twee of meerdere signalen over elkaar heen bewegen, de zogenoemde N/S polariteit.

Door deze beide gassen samen te voegen en te centrifugeren, verkrijg je de volgens mij goed brandbare stof C2O8...

Veel meer andere combinaties zijn mogelijk. Maar de voornaamste gassen die zich in de lucht bevinden zijn O2 en CO2.


Toevoeging:

Wat ook kan worden gedaan is dat gekeken wordt naar mogelijkheden van koude fusie met deze gassen... Door de C2O8 kouder te maken tot - 78 K kan het dat de koolstofverbinding vast wordt en dat de zuurstof loslaat waardoor een bliksemschicht ontstaat, oftewel energie!


Toevoeging 2, 6 - 10 - 2018:

Ook zou de C2O8 naar rechts kunnen worden bewogen, waardoor de van der Waals krachten niet zullen afnemen, waardoor het mogelijk wordt dat deze door ze koud te maken minimaal met - 78 K, kan men ervoor zorgen dat C2O8 als vaste stof neerdaalt en niet meer zichzelf ontbindt... Dan kan het altijd als brandstof worden aangewend.


Toevoeging: 9 - 10 - 2018 00:08

Jullie merken vast dat ik niet goed ben in chemie, want het kan beter met NO2, stikstofdioxide.
Stel je neemt NO2 aan de rechterzijde... deze smelt bij - 11,2 K, dus heel gemakkelijk uit te voeren, zelfs onze standaard koelkast kan dat.
Als je dus O4 verkrijgt links en rechts NO4 en deze komen bijelkaar door Van der Waalskrachten, dan moet men de derde, dus de centrifuge beneden donker oranje gekleurd koud maken tot minstens - 11,2 graden K, waardoor de NO4 verbinding gaat smelten, de Van der Waalsverbinding laat los en er ontstaat bliksem, of elektriciteit.

Stel dat de gassen niet samenkomen in de eerste composiet dan verkrijg je: O2 en NO2 die wel bijelkaar komen en NO4 vormen. Zelfde proces geldt dan voor deze molecuul.


Toevoeging: 9 - 10 - 2018 00:24

Anders is met water, je doet rechts water in de centrifuge en verhit het tot 100 C tot H2O gas. Links doe je Ozon O3.
Vervolgens laat je ze bijelkaar komen en vormt H4O8. Ervan utigaande dat van Der Waalskrachten al in het proces H4O2 produceren. Maar stel dat dit niet gebeurt krijgen we...
H2O + O3 = H2O4 Ik denk dat deze stof zal ontstaan bij water omdat toch water anders is dan stikstof en koolstof verbindingen. Maar alles moet worden uitgewezen door tests.

Stel we hebben H2O4, dan doen we de ketel zachter op een gegeven moment, al dan niet een vierde ketel, dus nadat ze bijelkaar komen, laten afkoelen, en tijdens dit koelingsproces, zal water druppelen en ozongas zal ontsnappen. Dan breekt dus de ion af per direct nadat deze gassen onder de 100 C komen.

Onstabiel:

O2 kan ook gebruikt worden uiteraard, dan vormt zich de molecuul: H2O3! Deze is trouwens onstabiel! Wellicht iets voor een motor, die direct input nodig heeft.
Zo is ook H4O2 onstabiel.


H2O4 motor:


Als we een waterstof motor willen bouwen, gebaseerd op H2O4 dan moeten we dus alle vier de centrifuges naar rechts draaien. Dus eerst van der Waals krachten laten ontstaan en dan verkrijg je H2O4, vervolgens blijven naar rechts draaien zodat de van der walaskrachten niet verloren gaan. Plus de derde composiet moet boven de 100 C blijven. In een vierde gedeelte kan men dan dit gas verbranden, of anders.


Hoe maken we alweer deze stoffen tot vaste stoffen:
Ook zou de H2O4 of NO4 naar rechts kunnen worden bewogen in de derde centrifuge, waardoor de van der Waals krachten niet zullen afnemen, waardoor het mogelijk wordt dat deze door ze koud te maken, kan men ervoor zorgen dat ze als vaste stof neerdalen en niet meer zichzelf ontbinden... Dan kan het altijd als brandstof worden aangewend, als vaste stof.

Dus:
H2O4 wordt gekoeld tot < 0 C, wordt vaste stof.
NO4 wordt gekoeld tot < - 11, 2 K wordt vaste stof.
C2O8 of CO6, wat ook ontstaat, doet er niet zoveel toe, volgens mij beide namelijk. Die moeten worden gekoeld tot < - 78 K. Wordt vaste stof.


Nota Bene:
Let bij allemaal op dat dit eigenlijk geen fusie heet in wetenschap, het heet dus Van der Waals verbinding. En het plots laten ontstaan van en laten verdwijnen van deze krachten, daar is heel veel energie mee gemoeid. Bij het splitsen kunnen we wellicht wel spreken over een soort "diffusie," waarbij de samengekomen elementen uit elkaar worden gedreven. Dan ontstaat energie in de vorm van elektriciteit en een ontlading volgt.


Toevoeging: 10 - 10 - 2018, 19:38, met thorium elektriciteit produceren:

  • Met Thorium elektriciteit produceren is veel heftiger en complexer dan met andere moleculen. We hebben eigenlijk niet thorium maar thorium dioxide (THO2) nodig.
  • We creeren in eerste instantie links en rechts vooraan een potentiaalverschil terwijl we allebei de centrifuges naar een zelfde zijde draaien. Het potentiaalverschil kan gevormd worden door temperatuurverschillen van de gas, door drukverschillen e.d. Zo ontstaat een verschil in energie tussen de gassen links en rechts.
  • Door de centrifuge ontstaan van der Waals krachten links en rechts, die veroorzaken volgens mij een polaire binding. Door N/S op N/S te binden, ontstaat tijdelijk TH2O4.
  • Door te forceren dat deze binding weer loslaat, door deze polaire binding minder sterk te maken, door naar tegengestelde richting te draaien... Kan de polaire binding sneller loslaten. Bij het loslaten, ontstaat een ontlading... Je hebt twee soorten ontladingen, voor en hoofd, maar door snel in tegengestelde richting te draaien, gaat het lukken een voorontlading te creeren.
Stel potentiaalverschil heeft energiepercentage:
links 100 - 50 rechts
90 - 40 N/S/N/S
80 - 30 N/S/N/S
70 - 20 N/S/N/S
60 - 10 N/S/N/S
50 - 0 N/S/S/N = ontlading...


40 - -10 N/S/S/N
30 - -20 N/S/S/N
20 - -30 N/S/S/N
10 - -40 N/S/S/N
0 - -50 S/N/S/N

U ziet dat de percentages steeds kleiner worden omdat de derde centrifuge waar ze samen komen naar links beweegt. Bovendien bestaat ook hier een temperatuurverschil. Bijv stel temperatuur THO2 links = 3500 K en rechts 4400 c. Als we de derde centrifuge, dus nu kouder maken waarbij thorium tot < 3300 c komt, dan zullen de gebonden moleculen THO2 - THO2 = TH2O4 loslaten en twee keer THO2 vormen, een gasvorm, de andere vloeibaar.

Dan hebben we al twee methodes waarmee het kan, beide worden hier getoond...
Ook deze theorie moet getoetst worden...


Toevoeging: 1 - 2 - 2019, 20:23

Th+O-  combineren met H2, als dit zou kunnen, moet getest worden, dan zou makkelijk elektriciteit kunnen worden gewonnen.

Namelijk: dan verkrijg je Th+ en H2O. Dan moet je dus wel al thoriumoxide en waterstof genereren, dan pas in dezelfde opstelling laten samenkomen en eentje laten smelten...


Titaniumdioxide 10 - 10 - 2018 21:24

Toevoeging: Idem zelfde methode als met thorium. Alleen weet niet of de ontlading even sterk is. Wel is het volledig neutraal, dus veel minder radioactief. Volgens mij is het ook niet gevaarlijk.

Ook deze theorie moet getoetst worden...





Toekomst:

Wellicht wordt het ooit mogelijk om brandstof vanuit de lucht op te halen...

Je zou O2 en CO2 kunnen scheiden door de centrifuge sneller en langzamer te laten bewegen, plus door temperatuurverschillen, bij een bepaalde koude toestand verandert koolstof in vaste toestand. Bij - 78 K gaat CO2 al over in een vaste toestand. Dan zou je bijv links de temperatuur tot - 78 K kunnen zetten waardoor geen koolstofbindingen kunnen binnendringen en rechts wel. Zuurstof zou je bijv. kunnen weg branden... Het maakt verder niet heel veel uit of er rechts zuurstofbindingen ontstaan, per slot van rekening, zal zich geen O8 kunnen vormen, maar wel bijv een gedeelte C2O8...

Wat nog overblijft is Nitraat in de lucht. Volgens mij zal nitraat niet kunnen combineren met O4... En nitriet ook niet.




----------------------

Schrikkeljaren op aarde, de echte volgens berekeningen: 4 - 10 - 2018.


De cijfers zijn door mij heel vroeger berekend, ik ben er niet meer echt thuis in. Maar de berekeningen zijn vrij volledig. Beter dan in het boek: de triangels.

In het gedeelte is aangegeven dat een 999 schrikkeljaar 3267 jaar omvat.

Een 333 omvat 495 jaar.

Om de 33 jaar missen de moslims 396 of 363 dagen in de kalender.

Een berekening voor 12 dagen afwijking:

3267/495 = 6.6

Bijvoorbeeld 3267/2.2 uur =1485, maar ook 2745/2,2 = 1248

495 * 3 = 1485

495*2.2 = 1089

Verschil = 396 jaar

Maar ook:

915,5666667 = 363/396 *454 =         416 *3 = 1248 – 915,2 (* 2,2) = 332,93333 komt eruit, bijna 333!


3267 - 495 = 2772 een getal van de Joden zoek maar op. Zij denken dat dit 666 is. Het gaat om het verschil 2.2 en 6.6 (2.2 = 495 en 6.6 = 3267 jaar)

Conclusie is als volgt:

Gedurende 396 jaar is een periode van schrikkeljaar, deze vindt plaats na 12 periodes van 12 dagen verschil: dit komt neer op een totaal van 4752 (396 * 12) dagen verschil, als deze wordt behaald ontstaat gedurende 396 jaar een schrikkeljaar. De 12 periodes bereken je 396 jaar/33 jaar.

Ik weet echter niet wat ik er verder mee moet :-).

Nu volgt de tweede reeks met 11 jaar herleiden:

363/396 = Ans * 1485 = Ans /3 = 454 jaar * 396/363 = 495 maar ook 454 * 363/396 = 416

363/396 * 1485 = Ans * 2.2 = 2995 jaar * 396/362 = 3267 maar ook 2995 *363/396 = 2745 verschil met 2745/416 = 6,6

----------------------

 30 - 9 - 2018 00:40, Zoals "Energie opwekken met membranen die worden getriggerd door zonlicht en geluid"

Het gaat erom dat elke kubus een signaal produceert, het zijn halffabricaten die dat werkelijk zouden kunnen, met behulp van een membraan worden trillingen opgevangen, vervolgens wordt een signaal geproduceert en via een echo wordt een tweede signaal gegenereerd. Nu ontstaat ruisvorming en dat is N/S gepolariseerd. Dat is het eigenschap van twee signalen die geluid prodceren, creeren emf.

Als we nu twee van deze N/S signalen aan elkaar binden, onstaat letterlijk stroom, +/-.

Als we nu deze twee +/- binden ontstaat een + pool klaar voor lancering...

Als we die in een kring willen binden, moeten we deze schema onthouden: (5 zijn benodigd)





Kan ook met lasers overigens...

Door N/S op N/S op de prisma te schijnen zie nummer 131 van de uitvindingen, Als je vervolgens een +/- laser hebt kun je verder kijken...
Door deze twee +/- lasers op elkaar te schijnen, verkrijg je een +, die straal dus ook echt richting naar boven als deze vanuit een bepaalde hoek vanaf de zijkanten wordt gecreerd... Zie beneden...
Vervolgens ontstaan er een +/- door + en + = +/-





Met lasers:

Tussen de lasers bevindt zich een derde prisma...

Dus +/- laser +/- laser komt bijelkaar in een derde prisma, wordt + licht.

Kan wellicht beter, geprobeerd althans. Let op dat in dit model vanuit links en rechts twee signalen in het zwart worden verzonden, vervolgens verkrijg je gele signalen, die zijn + gepolariseerd, deze worden gespiegeld en opgevangen precies op de plek waar de twee prisma's zich bevinden. Dan verkrijg je het effect dat twee keer een + signaal wordt opgevangen in deze prisma in het midden, waarna - lichtstralen ontstaan.

Let op dat naar beneden alle stralen op - komen te staan, wat weer de kwaliteit is van deze constructie.





Variant:





Iets andere variant, wat simplistischer, maar wellicht beter, omdat + stijgt en - naar beneden...





Variant:





Variant op de laser, geschikt voor verwarming:

U ziet dat het licht of wordt geabsorbeerd of wordt totaal wordt geisoleerd tussend e gekleurde spiegels, het fenomeen licht vangen.



----------------------

 Elektronenschillen van atomen 27 - 9 - 2018 1:26






Boven ziet u de planeet Uranus en een willekeurige atoom met elektronenschillen...

De reden dat ik hierover heb willen schrijven en denken eerst, is het volgende:

De elektronenschillen kun je volgens mij dus ordenen... Dat was te zien in octrooiaanvraag "magnetische propulsie" en octrooiaanvraag fusie reactor.

Let op een atoom die vrij in de lucht beweegt... links aangegeven, die bezit dus schillen die "vrij" bewegen in een ruimte. Ze hebben alleen last van de aardse atmosfeer.

Maar bijvoorbeeld in de ruimte is er geen atmosfeer, heb je alleen de draai van de Melkweg, ook dat zal effect hebben.

Nu moet men kijken naar een atoom die in een centriguge wordt geplaatst, dat ziet eruit als de planeet Uranus met zijn kringen om de planeet, door de draai van de planeet, ontstaat weldegelijke en soort energie die de kringen op zijn plaats dichtbijelkaar houdt. Ik vind het ook lijken op de regenboog, maar dat zegt niks.

Nu was mijn theorie dus, dat je deze elektronenschillen in een centrifuge rangschikt, waardoor je inderdaad ook echt kleuren verkrijgt. Dat is op te zoeken op Youtube. Binnen een centrifuge verkeluren de gassen, om een verklaring af te geven, dan is dat dit effect dus!

Volgens mij, doordat deze elektronenschillen dicht bijelkaar en om elkaar heen bewegende elektronen, die elkaar passeren, creeren een energie aan te duiden met "ruis" oftewel geluid.
Je moet het zien als twee signalen die in elkaar bewegen, die creeren ruis, dat is dus N/S gepolariseerd, de ruis!

Hier ontstaat ook ruis en duidelijk worden polen zichtbaar in de atomen, waardoor je ze dus wel kunt polariseren ens chikken volgens een bepaalde volgorde.

Omdat dit verregaande wetenschap blijkt te zijn tot nu toe en nog steeds geen aanhang vindt bij menigeen, heb ik deze twee octrooiaanvragen verwijderd uit de indexpagina, wel zijn te verkijgen in de boeken en te lezen.

Het gaat daarbij om het volgende principe:

Door de elektronenschillen te rangschikken creeer je een N en Z pool op de atomen, waardoor als in twee draaiinrichtingen 2x naar rechts wordt bewogen, je dus twee N/S En N/S atomen verkrijgt... en als je deze laat binden in een derde draaiinrchting naar rechts bewegend (is heel belangrijk) Dan kan het gebeuren dat een polaire binding zal ontstaan tussen deze twee atomen en daarna deze binding nooit meer zal breken, als deze atomen in de draaiinrcihting naar rechts worden bewogen, dat is heel veel energie en heel geschikt voor een zeer zuinige motor.

Als men de derde draaiinrichting naar links beweegt, dus tegenovergesteld, dan krijgen we het effect dat N/S gaat veranderen in S/N. Die tendens bestaat.

Om nu gebruik te willen maken van een dergelijke composiet moet men beseffen wat men eigenlijk wil bereiken... en dat is dus het creeren van bliksem!

Maar eerst moeten we wel een potentiaalverschil creeren, anders zal geen bliksem ontstaan, niet een met voldoende energie in ieder geval.

Daarvoor gaan we de draaiinrichtingen ook nog eens voorzien van magneten, dus N links en Z rechts opgesteld, en dit 3X, bovendien maken we een van de voorste linie draainrichtingen warm en de andere koud, we gebruiken witricity voor samenhang en we gebruiken drukverschillen e.d. alles wat met atmosfeer verschillen te maken heeft kan worden gebruikt...

Stel daardoor hebben we deze atomen bereikt met een energie die we indexeren naar 100 en naar 50.

N/S-N/S verbonden en nu graag terug naar 0

We gaan terugdraaien, naar links, dus dat wordt S/N straks.

Kijk maar:

100 - 50
90 - 40
80 - 30
70 - 20
60 - 10
50 - 0

U ziet dat de energie is gereduceerd en dat de N/S - N/S verbinding wil loslaten bij 0.

Want we krijgen N/S - S/N, dat stoot af en met een energie van index 50 ontlaadt deze op de grond!

Fusie!!! Veel beter dan Tokamak, want dit is direct stroom (AC).

---------------------

Energie opwekken met membranen die worden getriggerd door zonlicht en geluid, 1:30 7 - 9 - 2018 (backscatter) (drietand/usb) (hakenkruis)


1   Je zet electromagnetische bedrading strak in de groene en paarse rondjes, deze ebdrading trek je naar achteren en weer terug naar de paarse en groene rondjes. Deze paarse en groene rondjes zijn van gekleurd glas.
2   Die groene en paarse rondjes zijn alle voorzien van holtes die een rondte bezitten van 3,14 graden
3   U ziet drie kleine rondjes, die bezitten holtes van 3,33 graden voor Casimir effect, van 0,19 graden. Deze kleinere rondjes zijn boven groen, geel en boven paars, rood, van kleur.
4   De groene en paarse ronde vormen bezitten een membraan, die het geluid opneemt. De electromagnetische bekabeling is strak gespannen.
5   De elctromagnetische bedrading moet groen en paars 444 keer gewikkeld worden, voor 444 hz en de electromagnetische draad vanaf de kruis naar nergens moet 388,5 hz worden.
6  De draden zijn 1,11 graden hoger gezet. Dus deze wijzen naar boven in een hoek van 1,11 graden.

Dan verkrijg je dus dit effect: een kubus met draden op deze manier gewikkeld:


 


Let op de X en de kruisvorm.

Hoe het werkt:

1   !!! Dit is tevens een radiozender, doordat een backsscatter ontstaat, naar achteren bewegende energie, vanuit achteren, onstaat ook in kromme vorm een signaal vooruit.
2   Energie verkrijg je als volgt: doordat de membraan een geluid of via zonlicht trillingen ontvangt, en deze doorstuurt naar achteren via de elctroamgnetische draad, in 444 hz, dit 4 X.
ontstaat het effect dat deze draad ook nog eens terug is gewikkeld, dus het signaal echoot. En dat is niet niks. Want het signaal is dubbel en vervrongen hierdoor, er ontstaat ruis. Het signaal is dus dubbel, twee signalen in elkaar = ruis. Ruis is polariteit, polariteit is N/S.

1 x N/S (groen) en 1 x N/S (paars)  = onderzijde
1 x N/S (groen) en 1 x N/S (paars)  = bovenzijde.

Dus 4 X.

Wat hebben we nu >>> nog niks.

Maar wel als we ze verbinden... Dat doen we via de x en de kruis (+), we noemen het + voortaan.

Het hangt er nu vanaf elke stroom je wilt... We hebben hier gekozen voor een 4 X composiet, dat betekent dat:

N/S + N/S = +/- aan elkaar verbonden via de plus, zoals afgebeeld.

Idem nog een keer = +/- en +/- = + pool! Oftewel een hakenkruis! (gelijkend)

Als we stroom/elektriciteit nodig hebben, dan doen we: N/S + N/S = +/-, een laag is voldoende.

De stroom verkregen is dus 388,5 hz. We kunnend at veranderen in 60 hz of 50 hz, zoals iemand wil eigenlijk.







---------------------

   Jammer dat niemand een idee heeft van wat hier wordt uitgelegd. Oneindige stroomkring 19 - 8 - 2018 Een leuke link om te bekijken, heeft een klein beetje relatie met wat ik beschrijf. Wel leuk om te bekijken.

https://www.youtube.com/watch?v=a7_8Gc_Llr8 1      Het gaat eigenlijk om het plaatje beneden. Aangegeven is dat het hier gaat om een magneetveld, "magnet" staat aangegeven.
2      De input is een bron dat elektronen aantrekt, dat kan door 1 magneet onder sterke stroom te zetten. Staat aangegeven met +/-, telkens waar electriciteit wordt gegeven staat +/-.
 3     Doordat stroom wordt gezet op die ene magneet trekt het elektronen aan met een +/- lading. Dus 1 enkele magneet krijgt +/- en drie 2 stuks magneten, een combi.
4      Nu is het de bedoeling dat deze +/- elektronen, een lading moeten krijgen en door moeten worden gelanceerd, door een magnetisch veld uiteraard, dus moeten steeds 1 stuks magneten achterelkaar worden geplaatst, deze worden niet onder stroom gezet! De magneten moeten elkaar aantrekken.
5      Nu moeten we regelen dat de +/- een + wordt en door de magneten trekt, vanaf de input bekeken, zien we dat +/- wordt + en wordt bij een punt vernadert in - om een soort kortsluiting te voorkomen is dat. Als de + teruggaat, naar de input, verbrandt de composiet. Zie bij plaatje beneden A.
6     Vanaf de input gezien, zien we dus dat na de min (-) vorming, deze overgaat in +/-.
7                 De magneten die 1 stuks zijn en onder stroom staan, nemen het geheel mee naar een magneten combiantie waar de +/- elektronen opnieuw worden omgezet in + ionen.
8      Vervolgens worden de + ionen geleidt naar de input en naar boven mogen ze gaan om terug te keren in het systeem van elektronen, een oneindige stroomkring realiseren... Een natuurlijke stroomkring betekent namelijk oneindig veel energie, je kunt energie opsluiten en opslaan.

Hoe krijg je nou de +/- elektronen zo ver dat ze + worden?

Daar ben ik nog niet helemaal over uit, maar denk dat dit met een magnetencombinatie kan.

1      De 1 stuks magneten worden opgesteld met N op Z telkens elkaar aantrekkend, de allereerste  magneet staat onder stroom, deze bepaalt de richting. Namelijk elektronen gaan in de magneet en stromen door de magneten die elkaar aantrekken!!!!!!!!
2         De twee aan elkaar opgezette magneten moeten elkaar ook aantrekken en staan beide onder stroom. Nu krijg je dat +/- en +/- wordt +.
3     Wat u wel direct kunt opmaken, is dat + en - vloeiend in elkaar opgaan.





Nu heb ik het opnieuw bedacht en volgens mij moet de schema iets anders:

>   =   enkele magneet
 ( )   =   dubbele magneet

1 Wat is verandert is de input en de eerste magneet, eerst wordt stroom gegeven aan de eerste magneet, waarna elektronen stromen door de gehele magneetveld. Dus een magneet onder stroom en het stroomt elektronen omdat ze allen elkaar aantrekken.
2 Nu zetten we de input waar 2 magneten zijn opgesteld, een combi aan, waar de pijltje staat aangegeven, achter een lijntje. Waar dus de input zat. Dan gaan +/- elektronen nu een + ion vormen en stromen alle richting de +/- veld.
3 En door vervolgens de twee ander ecombi's aan te zetten, ontstaat het effect dat alles in een richting opgaat, oftewel een stroomkring.





Vervolgens als je een stroomkring hebt, kun je die opsluiten ergens en kun je de enrgie nuttigen, een batterij bijvoorbeeld. In dit voorbeeld hebben we dus een + stroom, maar een - moet ook kunnen.

----------------------

 Tweede poging stemmen horen uit te leggen:


U ziet beneden dat links en rechts twee signalen elkaar kruisen, oftewel in beide oren moet je "ruis" hebben om geluid te horen.

Ruis = geluid.

Als een van deze geluiden in de oor ontbreekt, hoor je geen stem.

Ook is de draairichting van belang. Als beide geluiden gecreerd door de twee signalen naar rechts bewegen, is er geen geluid. Als ze beide andersom zijn, dan wel.

Ik heb getracht, scroll hiervoor naar beneden, nog eens deze vinding te bespreken.

In een schema staat hoe iemand dus wel stemmen hoort en hoe iemand dat niet doet, of hoe het wel mogelijk is dat iemand wel stemmen hoort en de ander niet.

Ik denk dus dat ergens een zendertje aanwezig moet zijn, en de persoon moet "ingesteld" zijn op dat zendertje. Met een tweede geluid, eigenlijk voor niemand hoorbaar in principe, kan het dan dat stemmen worden overgebracht.

Dit kun je zo voorstellen:

2,4 ghz niet hoorbaar voor iedereen.
met tussenkomst van een tweede geluid, stel 5 hz,
gebeurt het dat de twee signalen in elkaar opgaan en een derde signaal vormen, die wel hoorbaar is. En die kan varieren... in sterkte. Het is de kunst om deze signalen te vinden, die de stemmen veroorzaken.

Volgens mij is het signaal dat we horen, als geluid, circulair gepolariseerd.


Afbeelding: het hoofd met twee signalen die zich vormen tot 1, die we horen.




----------------------

Hoe de duivel van portaal naar portaal kan springen. Het systeem van de duivels, duivelspad.


De kruis, als die gevormd wordt, bezit een Z - vorm en deze Z - vorm, een differntieel in magnetisme is dat, aan deze wordt een kruis aangemaakt en verheven.

Deze elktromagnetisme bezit de polariteit +/- = oftewel electromagnetnisme.

Wanneer deze Delta de lucht in gaat dan blijft het haken, en dan heb je volgens mij de hakenkruis nodig. Daarmee creer je vanuit de backscatter een tegenenergie, die het syteem van SINA (zender) en SADA (zender + ontvanger van SinA) in stand houdt.

Met een + polariteit veld wordt de kruis omhoog geheven, via een SinA.
Vervolgens wordt boven een electromagnetisch veld op slot gezet door de driehoekvorm van de toren.
De hakenkruis komt erop en zorgt voor een stroomkring.

Dit is natuurlijk geen "aardse" technologie, dit is puur buitenaards, of was ooit van "ons" dat weet ik niet, volgens mij is het puur duivels.

De + polariteit energie gaat door het magnetisch veld: denk aan ionen, die het electromagnetisch veld passeren en vervolgens - worden aan de uiteinde... Dit is broeikas overigens, zwaartekracht is hiermee getrotseerd en ooit zal het de mensen lukken...

Toevoeging:

Om nooit te vergeten voor alle mensen:

De hakenkruis, stel deze bezit 72 onderdelen, dan =


58 (onderzijde, inclusief de kruis (10) = +
14 = - De twee haken links boven en rechts onder
14 - 2 = 12 - en 2 +/- = 1 +
2 +/- = electromagnetisme = 1 +

En wanneer de 2 +/- vallen in de ruimte dan vormen ze een geheel met de kruis, dus:

Kruis verheven = 10 = Delta verheven, is erin geweven, dus +/- is gehesen. Hoe dan ook is binnen de + ook een +/- aanwezig. Volgens mij bestaat een stroomkring van elektronen zie boven.
Als nu de 2 +/- onderdelen vallen op de +/- van de kruis boven, dan heb je een haak gekoppeld aan een kruis. 1 + stijgt dus op naar de +/- en haakt.

Waarom probeer ik hier duidelijk over te scheppen:

Omdat dit kan worden of wordt misbruikt!





----------------------

Hoe het menselijk islamitisch sterrenbeeld wordt gevormd en hoe jezus is verbonden met de heilige geest.


De linker en rechter engel zijn een combinatie, die een mooie sterrenbeeld vormen. Stel je sterrenbeeld is "sukran." Dat bestaat uit arabische letters. Stel je bezit engelen die deze combinatie vormen. Dan bezit je dus een soort uniek sterrenbeeld. Maar ik denk dat wellicht ook anderen deze engelen kunnen hebben. Het is dus niet zo dat een engel aan een persoon alleen vastzit. We zijn allen voor elkaar verantwoordelijk. We moeten elkaar steunen staat in de koran, dus als iets fout gaat, geestelijk bij een ander dan gaat dat consequenties hebben voor alle andere mensen. De heilige geest/ engel Cebrail (Djibriel) en haar combinatie Azrail is maar 1.

We weten niet hoe het kan of hoe het is totstand gekomen, maar we weten dat jezus vroeger waarschijnlijk als ons was, met twee engelen en een uniek sterrenbeeld dat hij droeg. Droeg want, die heeft hij later niet meer. Of hij heeft het nooit gehad... Dat is de vraag even. Maar nu is jezus direct verbonden aan Cebrail/ heilige geest. We weten niet hoe het kan dat hij twee engelen mist.

Wellicht is een aanwijzing hiervoor, dat de engelen Harut en Marut uit het oude Babylon als opdracht hebben gekregen het magische systeem te ontdoen van de knopen aan de mensen. Knopen zijn signaal connecties aan mensen aangebracht door duivels en hun metgezellen.

Wellicht als Jezus nog leeft zou het kunnen dat hij nog steeds in Babylon is. De koran vertelt over deze twee engelen in het begin van de Koran, vertelt wordt over knopenmachines en magie en dat de engelen Harut en Marut deze magie bedwingen. Niet wordt verteld of deze engelen de engelen zijn van Jezus, dat zou je kunnen suggereren uit mijn schrijven. Dat weet ik dus niet.

Maar ik zie denk ik wel een soort link met duivelse magie en wat Jezus wellicht is aangedaan.

Zou hij zijn geknoopt, waardoor zijn twee engelen werden ontzet? Daardoor zou dan de engel cebrail/heilige geest zijn leven moeten hebben gered door een directe link naar haar.

De heilige geest wordt overigens gevormd door alle sterrenbeelden bijelkaar.

Of zoals in de koran wordt vermeld, dat Allah hem "meenam," maar dan komen vragen op van waarheen, waarom moet hij dan terug, wat doet hij nu, is er een soort oorlog ergens, wat moeten wij doen, wat kunnen we doen enz.

In de koran wordt overigens gezegd dat de mensen niet met magie moeten spelen, dat betekent dat de menselijke geest niet mag worden geknoopt oftewel worden verbonden aan een signaal.

Knoop: signaal op signaal, zender ontvanger tegelijkertijd in de geest verzenden is een knoop. Ik ascosieer knopen ook met signalen die schizofrenen horen. We horens tememn die niemand horen omdat die geluiden ergens in onze geest worden verzonden denk ik. In ieder geval ben ik het niet eens met de wetenschap over stemmen horen, dat de hersenen die produceren enz. Ikzelf hoor stemmen die commentaar leveren op mijn gedachten, die ik dus niet hardop uitspreek bijv. En muziek hoor ik, alsof een fm transmitter in mijn oor zit.




---------------------

Ik heb eerder aangegeven dat het magische systeem 60 "ogen" bezit voor de kenners is dit...


links 0-1 rechts, idem 3-3 idem, 0-3, 4-5, 5-5, 6-7, 8-12

36 links en 24 rechts, een verhouding van 66,66, mooi he en toevallig goed!


En nu:


60 + 40 = 100 = 58 van de hakenkruis

58 + 14 = ?
-2 = ?


Nu 100 = 58

66,66 = 14 en nu - 2 (deze twee verdwijnen in de hemel) blijft over 58 + 12 = 70 = hakenkruis

2 = 11,11 (14/12 = 1,66667 > x 66,66 = 77,77 = verschil van 11,11  De hakenkruis bestaat dus uit een geheel van twee keer driehoek = 11,11. En dit maal 4 = 44,44

Volgens mij is 12 = 55,55
14 = 66,66
2 = 11,11
58 = 100

66,666667/166,666667 = 0,4 is de verhouding die we nodig hebben, conclusie vloeit voort

Onze lichaam is voor links = 60 procent rechts 40 procent een verschil van 0,4!!! Goed onthouden dit! Het kan ook goed andersom links en rechts zo zijn.

In procenten dus.


En nu:

??????????????

Wat is bijv
1 = 10?
12 = 55,5555
14 = 66,666667
70 = 155,5555
72 = 166,666667 X 4 = 666,666666668
266,666666672 rechts en links 399,999999996 (400) of andersom

En ik heb geen vraagstelling, wat zoek ik eigenlijk... Nu zijn het maar nummers...


Verschil van 33,33 is tussen links en rechts in grootte (100 - 66,66).


Toegevoegd volgens mij is dit goed:

1 = 10 = 300 = 388,5 hz => Verschil van 55,55 (444-388,5)
2 = 11,11 = 333 = 444 hz (rood en geel) =>

1 = 10
2 = 11,11
3 = 20
4 = 22,22
5 = 30
6 = 33,33
7 = 40
8 = 44,44
9 = 50
10 = 55,55
11 = 60
12 = 66,66
13 = 70
14 = 77,77
Enz.
15 = 80
17 = 90
19 = 100
21 = 110
23 = 120
25 = 130
27 = 140
29 = 150
31 = 160
33 = 170
35 = 180
37 = 190
39 = 200
41 = 210
43 = 220
45 = 230
47 = 240
49 = 250
51 = 260
53 = 270
55 = 280
57 = 290
58 = 299,99
59 = 300
--------------------

Doordat tegelijk twee frequenties worden verzonden, via een SinA, en tegelijkertijd ontvangen met een andere radio, een SadA, ontstaat het effect dat je stippellijnen krijgt...


Wat heeft dat voor nut?

De boosdoener krijgt het voor elkaar geheime communicatielijnen te realiseren over gebieden, waarin zij ook "vormpjes" kunnen uitzenden. Wij mensen uit Delta en andere psychiatrische patienten weten wellicht wat ik bedoel, ronde balletjes van energie met een logo of vormpje. Dit klinkt absoluut onwaar, dat weet ik wel, maar ik probeer toch enigszins wat besef bij mensen te brengen van het gevaar voordat het onwetendheid jullie overmeesterd.

Dit heb ik overigens een tijdje boven Rotterdam mogen aanschouwen vandaar ik het zeker weet ook.


Nut ervan:
1 communicatielijn.
2 overbrengen van vormpjes, energie of massa wellicht.

- De stippellijn ontstaat doordat twee frequenties in elkaar bewegen...
- de frequentie benoem ik met N/S polariteitsfrequentie, net als bij de superlaser, zo werkt deze ook.
- Doordat N/S in de lucht in een railing ontstaat, dit heet magnetisme, kun je "vormpjes" eroverheen versturen. Nou weet ik dat dat stervormige structuren zijn in werkelijkheid, wat ik ascosieer met zero point energy.
- de communicatie is in de vorm van een regenboog meestal, dus met een boogje, maar dit hoeft niet per se, dat begrijpt u wel. Maar hun communicatie is wel met onzichtbare lijnen en de stervormen zijn aan de railing verbonden, in de lucht stabiel.


Wat te doen?

Denk hier over na aub want zelf begrijp ik het ook niet helemaal.





Er moet ook een N/S of een +/- combinatie zijn, het komt ergens bijelkaar en daarna zetten ze een stervorm en communiceren ze.

http://sites.music.columbia.edu/cmc/MusicAndComputers/chapter1/01_03.php

Nu N/S en N/S tegelijk verzenden levert op een rails...




---------------------
Gisteravond bezig geweest met een probe, om te luisteren naar geluiden in mijn huis. En die stemmen die wij horen zijn dus echte gleuiden, die alleen met een probe kunnen worden vastgelegd. Ik hoorde allemaal vage gesprekken, soort muziekjes e.d. Het gaat om een verbeterde versie van een heel goedkoop product tegenwoordig.
Maar ik heb ook een magneet antenne en een Radioshack amplifier, en daarmee verkrijg ik dus ook geluiden, dat zijn geen reguliere fm zendingen, maar frequentie srond de 100 hz en 1000 hz, ook op de laagste stand, juist dan nog duidelijker hoor je dan een scherpe radio signaal, wat gelijkt op FM radiouitzending.
Dit heb ik ook in Turkije meegemaakt, ook daar gemeten, en in Turkije waren 3 radiozendingen duidelijk ALLEEN met een amplifier te horen, een radioshack mini amplifier/speaker.
Dus alleen al om te stellen, stemmen in het hoofd ontstaan uit geluiden die met probes te ontvangen zijn.
In Turkije heb ik zelfs meegemaakt dat ik dagenlang muziek in mijn hoofd hoorde, van alle soorten mogelijk.
Ach ja, ikzelf denk ik toch wel ben belazerd met deze vorm van psychose wat ook echt een soort technische kant moet kennen.
Als input antenne gebruik ik een magneet antenne, maar ik kan ook een audio video kabel gebruiken met een jack adapter, dat werkt ook wel.
Ik heb zelfs de probe een keer op de radioshack aangesloten, hele andere frequentie gevonden, met hele vreemde metallic muziek continu erop. Met figaro figaro werd continu geroepen met een vreemde toon. Het is dus een waarneming. Geluid dat wel of niet bij mij thuis hoort? Ik denk van niet. En zo begint een soort gekmakerij, dus pas hier voor op.
Dit geluid komt niet in onze hersenen, begrijpt u dat niet verkeerd, ik denk dat twee signalen, bijelkaar komen en ruis, dus hoorbaar geluid veroorzaken.
Het is wel geluid! Dus niet iets dat er niet is. Ik neem het met apparatuur waar.
Ik denk dat dit een frequentie is dat in een van onze oren "ruist." Let op in 1 van onze oren, u leest het goed. Het signaal wordt gestuur vanaf een radio of zender met een oscillator, dat een richting heeft naar links of rechts, linker of rechteroor...
Kijk, ik denk dus dat het wat uitmaakt, maar idioten hoeven dit niet te onderzoeken...Ze zijn te bescheiden... Laten we maar zeggen.
Als een frequentie in het oor zit, daar gaat het om, dan is het maken van geluid niet zo moeilijk meer, kijk maar naar de laserkachel, onderdeel 67 t/m 69. Daar kun je zien dat de regel geldt: n/s en n/s = magnetisme +/-. Zo werkt ons oor ook. Links draaiende oorschelp en rechtsdraaiende oorschelp, creeren een geluid bij samenkomst.
Zo kun je ook verklaren waarom sommigen wel last hebben en sommigen geen last hebben. zie beneden een theorie hierover, afgebeeld met plaatjes.

Met deze probe hoor ik mijn stemmen in het hoofd dubbel via de probe en mijn oordopjes... Het gaat om schelden van Turken in mijn oren. Hoe ze dit voor elkaar hebben gekregen is de vraag, maar het gebeurt... Kijk op www.lessemf.com voor eend ergelijke probe van rond de 120  euro. Er zijn ook wel betere in de VS te verkrijgen, maar die zijn ook duurder. De Chinese neppe varianten zijn voor onderdelen... Het is alsof jij een muisje hebt en die vecht met hun moderne apparatuur (Golliath). Maar toch besef je wel iets, je bent "slimmer"dan die idioten die zij opleiden op universiteiten e.d. Die geloven dat stemmen in het hoofd kunnen worden geproduceerd, stel dat dat zo is, dan zij het dat dit iets anders is, bij mij is het zo dat ze met uitschelden, gedachten lezen e.d. wat duidt op menselijk tussenkomst.

In Turkije maakte ik een raar fenomeen mee, dat ik een maand lang toen ik daar verbleef, een muzieksignaal ontving "in mijn hoofd." Het was muziek van allelei bekende Turkse artiesten, volgens mij is dat express zo gedaan dat ik het zou horen, ik hoorde het s'avonds en overdag. Toen ik Nederland terugkwam was het direct weg. En in Nederland had ik tot voor kort elke ochtend last van een muziekje toen ik opstond, dus net dat je opstaat hoor je een muziekje en even later beginnen ze tegen je te praten en schelden...

Ik hoorde overigens alleen Turkse muziek en het was gerepeat dus ik hoorde dat continu een stuk of 50 muziek mp3's.

Dit heeft niemand volgens mij. Het lijkt op een RFID met fm transmitter eraan. volgens mij heb ik dit te danken aan Nevzat Tarhan en de Amerikanen...
-----------------------

Bij nader inzien trek ik mijn twijfels omtrent dit, de reden wil ik niet uitleggen:

Wel weet ik dat ze dit doen, maar de vraag is dus hoe? Wat ik dacht (mbv een meteoor) is waarschijnlijk te gevaarlijk en onmogelijk.





















De boze oog, de ster die erbij hoort is deze, de rest is irrelevant en behoort niet tot de hakenkruis, dit is tevens de MASTER ster, het kan alles. Het is Rood/geel en gelijkt op die beneden, niet te verwarren met de USB ster, ook vijfsterren vaker geassocieerd met die van de duivel.







Meer voor mijzelf: op 4 januari 2018 hebben ze een blauwe OHM teken laten zien en een dag daarna branden ze hem erin, oranje van kleur.
----------------------

Waarom de tovenaars wel kunnen communiceren met ons...


Daar is maar 1 verklaring voor, hun signaal en ontvangst is anders. ik zal uitleggen hoe anders...

Zij communiceren zoals getracht uit te leggen ion isolatie halfgeleider, via een manier waarop zij een kromme signaal verzenden en deze met een kromme ontvanger ontvangen. Ik noem het halve maan technologie, sinA. Ontvanger = sadA.

Het gaat erom dat eerst een backscatter signaalw ordt veroorzaakt, waardoor automatisch een kromme naar voren wordt gerealiseerd. Tezamen is dit een A, een signaal.



Wat je bij alle mensen die iets hebben ziet is dat zij een soort ruis in hun oren kunnen bezitten. Ook al is die soms weinig aan de voorgrond.

Hun signaal wordt via een kromme sinA dus verzonden, dat signaal gaat met een kromme naar boven, maar omdat het wordt ontvangen krijg je een regenboog! Dus nog een keer: het signaal, sinA, is krom naar boven toe, maar wordt ontvangen en in een boogje gaat het naar de ontvanger, sadA. Het is tevens haken en ogen...

Daarna, dus nadat het signaal is verzonden, daarna sturen ze stervormen, hemellichamen, de lucht in. waarna deze hemellichamen in de lucht blijven zweven. Met een bepaalde filter zouden deze waarschijnlijk kunnen worden opgemerkt, maar weet niet wat voor 1. Ik dacht zelf aan rood/geel 444 hz en 388,5 hz zwart/wit, dit is (388,5) de echte beste frequentie die ze kunnen gebruiken als zender. Deze cijfers zijn door mij berekend aan de hand van de islamitische kalender en de christelijke, van de schrikkeljaren.

Toevoeging: ontvangst begrijp ik jammergenoeg niet helemaal.

1         Een SinA brengt een +/- voort... dus oscillatoren aan en wachten totdat het signaal gaat backscatteren. Een +/- elektromagnetisch veld. Dus zodra de backscatter werkt.
2          Vervolgens maar dat snap ik nog niet zo, komen ze met een ontvanger die ze opnieuw verzenden, de SadA. Dat moet dus een + pool hebben of veroorzaken.
3         Het kan ook wel als twee ontvangers tegelijk de SinA ontvangen en sturen, dat betekent +/- en +/- = + naar +/-, dan heb je al genoeg want dan kun je ontvangen en verzenden.
4         Om het proces van backscatteren te versnellen kun je ook een + en een - reagerende gas gebruiken.
5        De vraag is hoe de ontvanger moet voor mij, want daar heb ik geen verstand van, het moet een elliptisch signaal ontvangen, dan moet er ook een kromme in zitten in de ontvanger.


Op dit plaatje zie je een soort resonator, die dit backscatter proces versnelt. Het model geeft aan dat oscillatoren trillingen veroorzaken en onderling doorgeven.





Afbeelding...



Wat je ook kunt doen als je mijn verhaal over hemellichamen wantrouwt, is
1 om te knielen op je knieen,
2 naar ultraviolet of andere licht kijken in het pikdonker, totdat je ogen beetje verslechteren,
3 nu naar voren kijken met het licht naar je toe.

Bij mij was het zo dat een vreemde hemellichaam zich uitlichtte vroeger, in de vorm van een schelp.

Wellicht heb ik hem nog!


Een tweede fenomeen:

1 als je je ogen kelin beetje in het donker, bijv in bed, naar elkaar toebrengt met je ogen dicht, kan het dat je een psychose beleeft, of je ziet een hele felle lichtbundel in je ogen.
2 als je nu probeert ernaar te staren zonder dat je ernaar echt kijkt, het is gewoon een soort techniek, dat je ernaar kijkt maar staart, dan zul je zien dat uiteindelijk deze lichtbundel overgaat in stervormen en uiteindelijk in plusjes, soort elektrodes.

Conclusie vvanuit mijn kant was dus, of ik heb een rfid inplant en iets klopt niet bij mij, of het is iets vreemds waar alle psychoten last van hebben. Dus vandaar de ultieme test.

----------------------

 Elektriciteit "vangen" = resonantie.

1 Bovenste afbeelding laat zien dat eerst beneden de 2 oscillatoren met + lading vans troom worden voorzien.
2 ze gaan door een +/- veld en de lading is nu minus.
3 ze komen samen en vormen een +
4 de + gaat door een +/- oscillator bovenin en vormt een minus.
5 de minus wordt gesplitst in twee draden en komt bijeen en vormt een +
6 omdat de stroom is weggevallen via de adapters, kan het dat nu de + pool gaat bewegen.
7 Ik denk dat een best aardige vertraging zal optreden, veel zal opgaan in warmte.

+

28/12/2017

Een elektrische kachel zou veel beter kunnen werken met behulp van een resonator in een stroomkring zoals deze afgebeeld.
Door oscillatoren te gebriken, drie stuks of een opstelling die resoneert met meerdere, maar minimaal met drie zoals afgebeeld hieronder, is het mogelijk een veel betere efficientie te bereiken wat betreft warmte.





Je zou bijvoorbeeld twee van deze composieten kunnen gebruiken: 1 met boven een oscillator om de minus lading te verkrijgen. En ten tweede eentje met alleen een + pool, waardoor een accu kan worden opgeladen. Dit kan met membranen en een strakke koperen kabel aan de oscillatoren al met wind, een soort windenergie.

Deze composiet is uiterst geschikt als halffabricaat voor backscatter.
----------------------

 Toevoeging 14:15 30/01/2018: Over kanker...


Ammonium is dus de boosdoener, weet wel zeker dat ammonium ook So4 opneemt en ammoniumsulfiet en sulfaat creeert.

Op wiki staat: het functioneert als een amine, dus dit zou wel kunnen wellicht. Echter staat er ook dat het alleen waterstof kation kan opnemen en kan doneren... Dus wellicht klopt ammonium als boosdoener weldegelijk maar welke zout wordt gevormd daar moet wetenschap over buigen.

Zoek wiki op "amine:"

Net als ammoniak kunnen Amine-verbindingen waterstofbruggen doneren, en accepteren. Ze zijn ook basisch: ze kunnen, net als ammoniak, een extra H+ kation opnemen en daarmee samen een positief geladen groep vormen. Zo'n geladen groep kan alleen nog sterke waterstofbruggen doneren, niet meer accepteren.


2NH3 en H2SO4 vormen: (NH4)2SO4

Alleen was voor mij onduidelijk hoe het ontstond, bij deze de theorie, hoe ammonium gebaseerde zout in het lichaam ontstaat.

Er is al een onderzoek afgerond door oosterse wetenschappers waarbij is gebleken dat bij borstkanker ophoping van ammonium inde borsten kankercellen steunt en laat groeien, december 2017.
-----------------------

Over kanker...


In formulevorm, dit is te toetsen, de kans is groot dat het wellicht niet juist is, maar het is om mensen tot ideeen te brengen. De zoektocht is naar de oorzaak van kanker, welke processen dit veroorzaken en welke zout ertoe bijdraagt een rol te spelen voor deze ziekte.

Ik ga onbelangrijke en verouderde gegevens over de ziekte binnenkort weghalen, dingen waaraan ik twijfels heb overgehouden.

1 Bacterie neemt cel over: 1 RNA injectie.
2 produceert H2S als zijnde de natuur ervan. H2S is al gevaarlijk in grote hoeveelheden.
3 SO3 + H2O = H2SO4 (zwavelzuur)
4 H2SO4 + H2O = HSO4 + H3O
5 HSO4 + H2O = SO4 + H3O
6 HSO4 + H2O = H3O + (SO4)2
7 2NH3 en H2SO4 vormen: (NH4)2SO4

Het gaat mij erom dat uiteindelijk SO4 ontstaat hoe dan ook in het lichaam en dat dit gevaarlijk is.

Nu is het de vraag hoe SO4 gaat reageren. Verschillende soorten zouten kunnen ontstaan, waaronder ammoniumsulfaat, ammonium bevindt zich in het bloed, is een potentieel gevaar en reikt tot aan de hersenen.

Hierna kan het alle kanten op. Bijvoorbeeld:

NH4)2So4 + 2 NaNO3 = 2 N2O + 4 H2O + Na2So4

en

2 NaNO2+(NH4)2SO4 = 2N2+Na2SO4+4H2O



Voor voortplanting gebruiken bacterien nitriet icm een zout denk ik. 
-------------------------------------------------------
Kort: toxines in het lichaam bij kankerverwekkende bacterien

Doordat bacterien resistent willen worden willen ze vaak toxines afscheiden om dit te bereiken, deze toxines komen veelal naar buiten bij inname van een nieuwe bacterie of schimmelsoort, doordat ze elkaar "bevechten" komt dit voor. En dan moet dit op een vreemde manier ook passen in het verhaal over kanker, waarom het dus wordt veroorzaakt. Die toxines en mutaties van de schimmel en bacterie zorgen voor kettingreacties in het lichaam. Belasting van het lichaam.
-------------------------

OUD Over de theorie over de ziekte kanker en staph 17/7/2017


Het is zeker dat methyltransferases als brug, als een soort aminozuur, functioneren. Methyltransferases nemen ook DNA van bacterien en virussen op en vervoeren deze.

Over alle D type amines heb ik lang getwijfeld, maar denk dat ze alle een rol spelen bij de overdracht van DNA, weet niet zeker of ze ook DNA van bacterien en virussen opnemen. D type amines zijn wel onverschillig in opname van DNA van dieren. Stel je eet vlees en DNA wordt opgenomen via een D amine, dat kan mutaties veroorzaken.

Taurine is zeer verdacht, maar studies beweren het tegendeel, dat het goed is tegen kanker. Volgens mij speelt taurine een heel belangrijke rol in opname van ijzer en in de overdracht naar bacterien. Het is voor mij zeker dat het een belangrijke rol speelt bij staph bacterie, maar of het bij kanker ook zo werkt weet ik niet zeker, te weinig informatie en onderzoek naar deze ziekte.

Wanneer de opname van (NH4)2S en (NH4)2SO4 wordt geblokkeerd zal kanker makkelijker verdrongen worden. Zonder zouten kan het lichaam herstellen van de mutaties, bacterien zullen in ieder geval gereduceerd worden. Een bacterie is afhankelijk van zouten en jammergenoeg door mutaties maken we die zouten aan en voeren we ook veel af.

Het is wel zo dat ALLE bacterien gebruik maken van ammoniumsulfaat en amm. sulfide in het lichaam, ook staph, maar die is wel bijzonder omdat deze ook andere zouten gebruikt volgens mij. Het zijn zouten die worden aangemaakt in het lichaam door verzuring van het lichaam.

Ammoniumsulfaat wordt afgevoerd als uitwerpselen door het lichaam via de darmen. Er moet ergens een link zijn, waar deze zouten worden opgenomen. Het is voor het lichaam mogelijk zelfs stoffen uit de darmen te halen en te gebruiken, dus voor bacterien een kans lijkt mij. Zo kan taurine bijv worden opgenomen uit de darmen bij een tekort.

Probleem bij taurine: het is lichaamseigen, dus vandaar de tekorten soms, maar waardoor het ontstaat?

Bacterien zullen niet lang leven zonder zouten. Een mens is naar voorbeeld ook zeer afhankelijk van zouten en sterft binnen een week zonder.

Kijk altijd uit met eten van producten met methyl celleluloses e.d., en zelf eet ik geen kaas, karnemelk, yoghurt en brood meer omdat daar toch vreselijke bacterien op teren althans dat vind ik dan.


Toevoeging 18/7/2017

Ik kan uit de lichaamssappen afleiden dat keukenzout (NaCl) een rol speelt een rol bij vorming van ammoniumsulfaat in NH4Cl en Na2SO4. NH4Cl zit sowieso in afscheiding. Wat met natriumsulfaat gebeurt weet ik dus niet.

Ook wordt bij ijzer opname ammoniumijzersulfaat geproduceerd. Wat daarmee vervolgens gebeurt?... Ik ben tot zo ver gekomen.


(Belangrijke) Toevoeging 22/7/2017

NH4NO3 en NH4NO2 zijn de zouten, die het meest verdacht zijn, nitraat dat circuleert in het lichaam via de darmen, betekent dat het zich ergens vormt tot nitriet en vervolgens ammoniumnitriet en wat deze zout zo verdacht maakt is dat de nitrietverbinding makkelijk een verbinding kan leggen met zenuwen.

Op internet zijn vele mensen over nitriet gegaan, zoek eens op google op nitriet in lichaam. Maar weinig tot niks over ammoniumnitriet, wat dus een zout is en dat is essentieel voor bacterien en virussen. Ze hebben zout nodig.

Wat mij ook opvalt is dat fungi in een bepaald seizoen nitraat produceren, denk maar aan wanneer paddestoelen overgaan tot voortplanting. Het zou kunnen dat het lichaam dan meer vatbaar is voor mutaties.

Ik ga er voor mijzelf in ieder geval vanuit dat deze twee zouten het meest kankerverwekkend, dat ze benodigd zijn voor voortplanting/uitzaaiing en dat (NH4)2SO4 benodigd is als brug voor kankercellen om te proeven, bewegen e.d., een essentieel zout voor bacterien.


24/7/2017

NaNO2 kan vervolgens ontstaan, een stof waarover veel wordt geschreven en dat als kleurstof wordt gebruikt bij vleesproducten. E250 is het.
Daar is vervolgens veel over te lezen, over nitrosamines die kankerverwekkend kunnen zijn.

Dit betekent dus wel dat door aanmaak van ammoniumverbindingen, die vrijwel aan alles hechten, deze stof in combinatie met keukenzout of water kan ontstaan.

Wat het doet, is de vraag en hoe het verder wordt afgebroken. Afbraak kan geschieden met water, maar op heel veel verschillende manieren? Of op een enkele manier weet ik dus niet?



Toevoeging 25/7/2017

Het lijkt erop dat de vorming van NaNO2 en NaNO3 positief zijn. Of het eten van E250 en E251 schadelijk is, weet ik niet, denk het wel. Het is anders. Bij de 1 heb je direct een chemische reactie waar het hoort, de ander komt in de maag, waar het wellicht niet hoort.

Maar opzich is de vorming van deze twee volgens mij positief.

Kijk maar naar deze reactie:

NH4)2So4 + 2 NaNO3 = 2 N2O + 4 H2O + Na2So4

en

2 NaNO2+(NH4)2SO4 = 2N2+Na2SO4+4H2O
Alles lijkt een goed verloop te hebben. Bovendien vormt zich NaSO4(H2O)3, wat vervolgens daarmee gebeurt? Volgens mij zijn hierover maar enkele artikelen beschikbaar op internet. Of wellicht helemaal geen...Het is als ik het goed heb een hydraat...Zou dit de spook zijn?

Al eerder zagen we dat NaCl (keukenzout) NaSO4 kon veroorzaken.


Ik moet zeggen dat ik keukenzout alleen maar als positief zie en concludeer dat het anti ziekteverwekkend werkt. Natuurlijk is een teveel weer teveel van het goede, maar mensen die geen zout eten...??? Waarom niet? Dat je stopt met producten met gist en bacterien is wel een goede naar mijn inziens. Yoghurt, wijn, bier, azijn, karnemelk, kaas en brood e.d. Wel even wennen maar het went.
Nog 1 vroege conclusie:

Staph bacteria Bacterie dat zich veelal rond de neusholte bevindt, waar totaal geen remedie voor is, waar 30% van de mensen mee te maken hebben en het worden er steeds meer 

eerst even een eigen samenvatting posten:

S aurus.

Mreb >

en peptidoglycan = sugars with several aminos.

Penicillin bind to the peptidoglycan but the active element of regenerating exists.

Fe voor 02 en co2 en de kleur van bloed.

C3h402 acrylaat > acrylamide in voeding

Fe reageert met acrylaat en taurine neemt deze op dan krijg je al een wisselwerkignsproces anders dan 02 en co2 of hetzelfde.

Taurine bevat no2 als het goed is opzoeken en bevat sulfonzuur met 1 c en 1 s een voorbeeld ch3so2o2.

Taurine bevat dus zwavel = s.

Dus we gaan richting de voornaamste zout die bacterien gebruiken en dat is (NH4)2S. Ik zet er vraagtekens bij omdat ik niet zeker kan zijn dat dit hem is, maar ik kom hem wel steeds tegen. Hetzelfde zout dat ontstaat volgens mijn theorie over kanker.

Lijkt op testosteron en oestrogeen > acrylamide.

Zout is voor electrolyte processes in het lichaam zoals proeven ruiken e.d. soort receptoren ontstaan in lichaam. Dus wat gebeurt is dat s. aurus bij consumptie van fe ook zout moet hebben en dat is deze zout.

galzouten voorbeeld. Hij gebruikt bij groei en voortplanting galzouten, het vreemde van dit is dat het een tweede zout nodig heeft om deze voortplanting te realiseren.

Hoe het de dna injecteert staat nergens.

Nu heb ik dus een kringloop. Elk bacterie en virus heeft een kringloop van dna en rna en ook zouten en hele metabolisme in lichaam. Wellicht heeft hij hierbij de iron nodig en ontrekt het ook nog wat extra.

Een toevoeging: het gaat hier dus om een bacterie die indirect andere bacterien kan voeden en ook idnirect wordt gevoed met dezelfde zouten van andere bacterien. Het gaat bij schimmels en bacterien vaak maar om 1 zout die deze gebruiken: (NH4)2S. De wetenschap vertelt jullie dat het lichaam deze aanmaakt, maar dat moet je niet opvatten als zodanig dat het lichaamseigen is!

Conclusie vanuit de samenvatting:

-   Om fe opte nemen behoeft de bacterie zout en dat is hun eigen bouwsteen als ik het goed heb is dat dus (NH4)2S. Het wordt gezegd dat ons lever dit produceert. Dat is niet zo, in ieder geval niet helemaal waar.

Het is welzeker taurine dat door deze bacterie wordt gebruikt als hulpmiddel om deze te laten ontstaan.

Of het ook d tyrosine gebruikt ivm dna weet ik niet.


Wel bestaat een niet lichaams eigen versie, de d taurine die wellicht wel onverschllig is met het opnemen van verkeerde dna.

NB dus is het niet normaal als je tyrosine remmers krijgt die ook l tyrosine remmen of l taurine Dan blokkeer je een lichaamseigen proces.
-------------------------
14/10/2016: De theorie over kanker heb ik uitgebreid en deze staat onderaan ergens beneden bij wetenschappelijke theorien

Vroege conclusie:

1               triamine
met aminozuur D tyrosine leidt tot uitzaaing.

2                en ook kan het amine verkregen door methylase en histidine => methyltransferases, die ook dna/rna kunnen meenemen, ook van schimmels en virussen... Daarbij moet het de eigenschap bezitten als neurotransmitter te werken, daarom is deze combi erg verdacht.
 
Tyrosine

Denk dat tyrosine gevaarlijk kan zijn als het een aminozuur is van de herkomst van schimmels en dat er een onderscheid bestaat tussen lichaamseigen en lichaamsvreemde, l en d tyrosine. Lichaamseigen neemt dna op. Lichaamsvreemde neemt ook dna op maar wellicht die van de schimmel zelf of allebei. Ook maakt het schildkleirhormonen t3 en t4 aan, die ook een rol vervullen bij aids.

Darmflora

en darmflora leiden tot kanker, gevaarlijk is de fermentatie van cellen, cellen die geen zuurstof opnemen en geen co2 afstoten, en de afscheiding van h2s door deze darmflora. Zie meer beneden.

Informatiebronnen

Er is echter te weinig informatie beschikbaar, Fundamentele grondslag is dus het zoeken naar het aminozuur dat zich bindt met triamine en dna/rna van schimmels en virussen kan meenemen. Ik heb er twee. Wie weet kunnen ze dit allen... dan wordt de puzzel steeds moeilijker.

Behandeling

In dit verband zou men kunnen kijken naar de werking van anti psychotica bij blokkeren van receptoren die ontstaan uit tyrosine ter voorkoming van de uitzaaing van organismen die niet horen in het lichaam, wellicht in combinatie met inname van L - tyrosine, wat de concurrentiepositie van d tyrosine vermindert. Omdat deze amine de concurrentie zou aangaan, volgens wiki, met andere amines.



Verdere uitleg (verbeterd):

Het komt erop neer dat door continue dna opname van niet - lichaamseigen stoffen, met name schimmels maar ook andere ziektekiemen er mutaties optreden in het lichaam, waarna in het lichaam zich een kern verzamelt met ziektekiemen, dat die kans groter wordt dat een tumor ontstaat.

Het gehele proces dat wordt opgestart in het lichaam is een mutatieproces waarbij parasitaire ziektekiemen de kans krijgen een eigen matabolisme van overleven te grondleggen binnen het lichaam.

Dit metabolisme wordt aangewend door ten eerste RNA te injecteren als afvalstof waarna door allerlei stofwisselingen uiteindelijk zelfs zouten worden aangemaakt in de lever die deze metabolisme van vreemde oorsprong in het lichaam steunen, hele vreemde zouten die nooit in een gezonde menselijke lichaam zouden moeten voorkomen. Die deze parasitaire ziektekiemen overigens als bouwstenen opnemen en gebruiken.

De behandeling kan alleen succesvol zijn als men zou beseffen dat die darmflora absoluut niet in het lichaam thuishoren, zodanig dat je deze moet gaan onderhouden met allerlei voedingsmiddelen waarin deze huishouden, zoals yoghurt, kaas, azijn en karnemelk. Er zijn overigens talloze andere bacterien bedenkbaar die kunnen worden gebruikt als yoghurt bacterie maar we gebruiken volgens mij de allerergste soort, gemiddeld zullen 30 procent van de Nederlanders sterven aan de oorzaken van kanker. Ja, ik wil daarom een direct verband trekken met voedsel dat we binnenkrijgen... Dat is de huidige stand van zaken volgens de statistieken.

Om deze sulfiet in het lichaam te verdringen, moeten we echt denken aan manieren om deze bacterien kwijt te raken of te reguleren zodanig dat de mutatieproces via de dna van de schimmels wordt gehinderd. Denk aan desolfovibrio vulgaris als anti middel en allerlei yoghurten met deze ziektekiemen... ?

De kans is groot dat bepaalde aminozuren deze dna van deze schimmels meenemen of ten minste anders afbreken dan andere aminozuren, zelf heb ik dus twee aangegeven metyltransferases zijn gevaarlijkste en de d - tyrosine niet lichaamseigen aminozuur is een hele verdachte amine omdat deze eigenlijk niet in het lichaam thuishoort en omdat deze waarschijnlijk onverschillig werkt in de opname van dna van schimmels omdat de aminozuur ook ontstaat uit consumptie van schimmels en bacterien zou dit een normale conclusie moeten zijn.

behandeling...

Bj de behandeling moet worden gekeken naar reductie van sulfiet in het lichaam. Opname van deze schimmels en bacterien reduceren zodanig dat niet andere bacterien of dezelfde bacterien zich aggressief gaan gedragen. Voldoende inname van melk en kokosmelk bijvoorbeeld. Beginnen met d - tyrosine remmende medicatie die vallen onder die afkomstig uit de psychiatrie of hieraan werken. L - tyrosine als alternatief vasthouden. en denk aan tyrosine kinase remmers, die eigenlijk alleen bedoeld zijn voor leukemie patienten, die zullen bij elke kankersoort wel werken!

Wat ook veel voorkomt bij kankerpatienten is dat hun lichaam paralyse verschijnselen toont. Dit kan doordat het moeilijker wordt voor de eigen receptoren om door te komen doordat een andere metabolisme met eigen receptoren ertussen zit. D - dopa als voorbeeld ontstaan uit D - tyrosine. L tyrosine draagt bij aan sterker wordende receptoren, in ieder geval ik kreeg dat idee doordat ik zeer veel energie begon te dragen in mijn lichaam toen ik het slikte, door verkeerde wisselwerking met anti psychotica, volgens mijn arts, ben ik gestopt, het gaf energiestoten toen ik ijzer aanraakte e.d. ontladingen telkens. Wat aangeeft dat de receptoren sterker werden.

Ook kan men kiezen voor het verhogen van de bloeddruk, doordat de bloeddruk stijgt kan het dat de receptoren ook sterker worden...maar dit weet ik niet zeker. Dacht vroeger dat dit logica was, maar twijfel een beetje.

Toevoeging 24/12/2016: Mutaties zoals bijnieren die ontstaan en de lever die vreemde zouten gaan produceren, wellicht dat daar ook mutaties bij voorafgaan. Hersenen die groter worden en de receptoren van een vreemde metabolisme gaan aansturen e.d. een nieuw lichaam dat zich vormt binnen het lichaam.


Sometimes things must change, this way or another... when your wheels get you there, you know things are right - jayce and the wheeled warriors...
Ik ben toch niet vreemd, de wereld blijft wel rond, toch?


78           Iedereen die geinteresseerd is in de behandeling van kanker 13:45 21/9/2016
1             Gifstoffen die zich willen immuniseren:

Ik geloof erin dat maagbacterien die zich willen immuniseren stoffen afscheiden en zo kanker veroorzaken. Schimmels die vervolgens vaste voet krijgen in het lichaam. De afscheiding is een gifstof.

In veel vlees zit antibiotica waar deze schimmels zich voor willen immuniseren. Daarom lijkt gebruik ervan in kleine hoeveelheden absoluut af te raden.



2                   Eerste problemen, die men kan tegen komen:
-  Zonder zuurstof kun je niet verbranden dus glucose injectie of insuline heeft geen zin. Er wordt geschreven dat de cellen meer glucose lijken te gebruiken, echter daar kan ik het niet mee eens zijn. zonder zuurstof gebruiken zij namelijk helemaal niets. Doordat een oxidator in de cellen de opname van zuurstof blokkeert, zal de eigen receptor geen zuurstof opnemen en de cel verkeert nu in fermentatie toestand.
-  probleem twee is dat niet alle schimmels dezelfde eigenschappen bezitten, dus wellicht komt een andere redoxreactie voor. Het gaat er wel om dat telkens een oxidator de zuurstofatoom opneemt.
- schimmels hebben geen fotosynthese proces.
- de cellen die geen zuurstof opnemen, produceren ook geen co2, ook een belangrijk onderwerp
-
Aerobe en anaerobe zijn zelfde dus in het opnemen van NADH maar aerobe vebruikt zuurstof om via h2 atp te creeren. Anaerobe creert h2s en dat is giftig. En H+ SO4 - Dus als NADH niet kan worden omgezet tot NAD+ dan krijg je fermentatie. NADH is gewoon energieopslag van het lichaam, vetzuursynthese is een voorbeeld
- Toevoeging: fermentatie uitgelegd door een duitse wetenschapper, ik dacht Wartburg, heeft daar de nobelprijs voor gekregen als ik het goed heb.
- Toevoeging: Onder zure omstandigheden, bij een verlaging van de ph waarde van het lichaam, kan no2 reageren in hno2, door met h+ samen te voegen. De no2 komt voor door afbraak van schimmels in het lichaam, door "goede" aerobe schimmels. Daarna vormt zich no+ en water en vervolgens reageert het tot nitrosamine met behulp van een aminozuur. Het lijkt alsof het lichaam zich eruit weet te redden door een aminozuur te gebruiken...
- Toevoeging: No2 en no3 worden uitgebeeld als "endocryne disruptors," die als vreemde receptoren dienen in het lichaam en die het lichaam kunnen ontregelen. Of de vrijgekomen gassen op een gegeven moment kunnen reageren en een nog kwadere bacterie kunnen voeden, weet ik niet.
- Toevoeging: een spore of sporen worden waarschijnlijk alleen gevormd bij voortplanting en de voortplanting bij schimmels >>>>> dat is toch vanaf de lente tot aan de zomer? Dan zou uitzaaining mogelijk moeten zijn en verder later niet meer.



3            Theorie: Dus aerobe en anaerobe synthese is dezelfde tot het punt dat NADH moet worden omgezet in energie, NAD+. Dan komt het voor dat aerobe cellen van het menselijk lichaam anaerobe worden door een proces wat fermentatie wordt genoemd.
Wat gebeurt is dat een kankerschimmel/virus/bacterie wat het ook is, staat niet vast, zich nestelt of in contact komt met een cel, dit komt waarschijnlijk door een voortplantingsproces genaamd gisting. Het blijft gisten maar daar neemt het geen genoegen mee, want gisten is niet het ideale manier van leven voor eens schimmel. Deze schimmel, laten we het daarop houden, produceert een afscheiding om te kunnen voortplanten van sulfiet en vormt H2S met behulp van een oxidator H+. Wanneer deze oxidator zich heeft genesteld, dan gaat de cel transformeren, fermentatie. Het gaat leven zonder zuurstof.
Er is dus een redoxreactie die met een oxidator de zuurstof weghaalt dit kan met h2s.
http://www.microbiologie.info/Ademhaling%20.html
https://nl.m.wikipedia.org/wiki/Redoxreactie

Deze artikel goed doorlezen zou veel verduidelijken voor iedereen.

Er treedt dus een redoxreactie op,
h2s scheidt deze af en via gevormde H+ oxidator neemt deze (via deze elektron) de zuurstof op.

Er wordt gevormd H+ SO4 in het lichaam.



Wat gebeurt er in de hersenen:

De zenuwprikkels vanuit het lichaam komen, dat de cel niet meer functioneert en bij wegvallen (dood) van de cel kan het dat deze opnieuw moet worden aangemaakt. Dat is een probleem op zich.

Wat geldt is dat het lichaam kan overgaan op productie van deze cel om deze te herstellen. Het brein krijgt continu een prikkel vanuit het lichaam, dat de cel niet functioneert en gaat deze aanmaken. Uiteindelijk krijg je heel veel zelfde cellen met dezelfde eigenschappen, die ook in gefermenteerde toestand blijven. Hierdoor krijg je tumorvorming. Afsterving gebeurt wanneer dode cellen worden opgegeten door schimmels die zich opnieuw vermenigvuldigen.

Het kan dat net als bij de ziekte van Cushing, de hersenen een vergroting kunnen laten zien, ivm met de extra cellen die moeten worden gevoed, hangt ook van de grootte van de tumor af.



Uitzaaing: Schimmels verspreiden uiteindelijk het kankergezwel. Schimmels zijn de enige soort in het lichaam die zich kunnen verspreiden door sporen te vormen en zo verspreiden zij het kankergezwel en krijg je uitzaaiing.

Dit idee was op www.mijnstrijdtegenkanker.nl te vinden.

Dan moet je ook uitkijken met bestraling, want bestraling kan veel goede cellen doden, waarna schimmels erop kunnen tasten, wat weer de kans op uitzaaing mogelijk maakt.



Welke schimmels of producten ervan in lichaam, die uitzaaing mogelijk kunnen maken:


Er zijn eigenlijk heel veel soorten maar de candida schimmel is het meest voorkomende.

De vraag die bij mij heerst is of kaas eten gezond kan zijn, met deze achterliggende gedachte.twijfel twijfel.  
Toevoeging: de vraag is of hn02 en ook no2, wat van deze gassen de rol hierbij is.
De sporen kunnen niet "zomaar" verplaatsen, ook zij gebruiken waarschijnlijk een "techniek." Een manier waarmee ze dit bereiken. Aangezien No2 hun laatste product is en aangezien in sommige gevallen dit kan reageren met H+ kan het dat sporen zich via deze receptoren kunnen uitzaaien.



Toevoeging: wat bij hn02 reactie sprake kan zijn is dat een hulpstofje wordt opgenomen, zoals een aminozuur om deze verbinding mogelijk te maken omdat het erg instabiel is (molecuul).

Wat ik mij ook afvraag, is of deze nitrosmanines die gevormd worden na instabiliteit tot No+ en water >>>> de sporen bevatten. Wat voor aminozuren worden opgenomen? Er bestaan twee soorten met een carboxygroep (cooh) en een aminegroep (nh2)...
De grote vraag luidt dus, hoe een dergelijke spore van een schimmel zich voortbeweegt? Welke molecuul gebruikt het? Bestaat er een combinatie van nitrosamine en spore. Aminozuren maken gebruik van polymere ketens waarbij zij grote moleculen vormen van eiwitten en proteinen. De aminozuren zijn verbonden met behulp van peptiden. Juist een chemische verbinding met deze peptides en de spore wellicht?

Ik ga er vanuit dat een injectie nodig is voor de spore om zich ergens te kunnen nestelen.

Weer kom ik tot de conclusie dat h2s hierin kan bijdragen omdat het kan reageren met proteinen en peptiden.

Bron: boek, hydrogen sulfide in redox reactions.


Toevoeging: Nho2 en h2s kunnen reageren tot nh3 en h20 en S.

Nh3 ammoniak of ammonium nh4+ onder de ph waarde van 7 kan reageren met 2 So4 naar voorbeeld en dat creeert een zout.
Ik kan natuurlijk niet weten welke processen zich verder afspelen, wie weet kom ik het wel tegen op internet ooit. So4 leek mij voor de hand liggende keuze, het product van de schimmel, en de reactie en de zout leken mij een prima hypothese vraagstuk.

(NH4)2S uit ammonium en 2S lijkt op dit schaal een betere voor de hand liggende zout, dat eruit komt.


Toevoeging 6/10/2016 veranderd: en ook kan ontstaan
 triamine, met drie aminozuren

De vraag is dus welke van de drie en wellicht anderen kan deze schimmel opnemen. De interactie ermee en hoe het zich voedt.


Toevoeging 6/10/2016: triamine is een probleem op zich omdat het zich mengt met aminozuren, het onttrekt vrije radicalen. Dan kan het dat het de ziekte verspreiden kan en doet. Doordat deze twee vrije radicalen worden opgenomen en in het lichaam worden afgebroken kan het dat de ziekte zich verspreidt.



Toevoeging 14/10/2016: triamine neemt aminozuren en deze kunnen erfelijk materiaal opnemen in de vorm van desoxyribonucleinezuur en dit kan ook erfelijk materiaal van schimmels zijn, en juist hier wordt het een probleem. Want dna van de schimmels mag niet terechtkomen in de opname van het lichaam, en zodra deze dit wel doet ontstaat uitzaaing.

Ik heb even gekeken of het een verbinding maakt met histamine, maar ik kon er niets over vinden. Een stofje moet ook naar de zenuwstelsel gaan en vond histamine erop lijken. Ik zal verder zoeken en proberen deze te vinden, waar het de zenuwstelsel gaat ontregelen en een tumor zich gaat vormen...

Triamine neemt dus ook hydrocarbonaat op tezamen met twee aminozuren...


De vraag is in welke combinatie het erfelijk materiaal van schimmels kan vervoeren?

en hoe het zich nestelt, zijn eigen metabolisme opbouwt in het lichaam...en dit is belangrijk zowel bij aids als bij kanker.

Dus triamine - aminozuur - desoxyribonucleinezuur => welke aminozuur en welke hydrocarbonaat neemt lichaam op?
En wat hecht zich aan desoxyribonucleinezuur?

Is het tyrosine? Een niet essentieel aminozuur waarvan de eiwit zich wel kan binden met dna van schimmels en andere soorten die niet in het lichaam horen.


Histamine, histidine en methylase

Toevoeging:
En wat doet de combinatie methaan (een hydrocarbonaat) met histamine en desoxyribonucleinezuur? Er bestaat zoiets als methylase en dat breekt histamine of tot hnmt, waarvan men zegt dat dit bevorderlijk is bij kanker. Of zou het juist goed doen door histamine af te breken? 

Histamine is een organische verbinding, een biogeen amine, en werkt ook als neurotransmitter in het centrale zenuwstelsel en juist dit soort neurotransmitter is benodigd bij tumorvorming naar mijn theorie, die continu het zenuwstelsel "vraagt" om nieuwe celdeling.

Dus NH => methyl en triamine, wat oplevert NH(3 of 4) en C + histamine + desoxyribonucleinezuur          (+ nog wat atomen, de precieze deling weet ik niet, waarschijnlijk maar zo goed ben ik niet...)

Wat doet deze combi? Ontstaat nu methylase? waarschijnlijk wel en deze methyl draagt dan de DNA. Twee DNA's?


Maar dit gaat wel heel erg ver voor mij... het is een zoektocht waar ik aan mee doe.


Tyrosine

Tyrosine is een aminozuur dat gebruikt wordt door ook schimmels en bacterien, waardoor het een kwetsbaarheid is in het lichaam. De neurotransmitters t3 en t4 belangrijk bij AIDS vloeien voort uit deze. Het is een niet essentieel aminozuur, we kunnen het missen.

er bestaan twee vormen, de L en de D vorm. De vraag is of ze allebei lichaamseigen zijn. Ik denk dat de aminozuur voor veel problemen kan veroorzaken, doordat het zich kan binden aan lichaamsvreemde dna van schimmels.

Dan verkrijgt men iets raars, dat dna en neurotransmitters elkaar kunnen raken.


4              Behandeling: Bloedsuikeraanmaak bevorderen.
Vitamine c doodt bacterien.
Opname van glucose bevorderen.
Glut 2 bevorderen met name voor de zenuwprikkels naar de hersenen.

1            Dus geen glucose blockers gebruiken.


2           Oxidator stoppen of "reguleren" betekent herstel.

http://www.microbiologie.info/Ademhaling%20.html


Desulfovibrio vulgaris
Desulfovibrio vulgaris ademt s04 in en maakt weer h2s van :-(.

Of het nut kan hebben weet ik niet zeker. Heb geen lab en bovendien weet ik niet of de bacterie giftig is, wel kan ik zeggen dat het houdt van lactose en dat er wellicht goede yoghurt van kan worden gemaakt.

Maar het lijkt erop dat deze ook h2s produceert en uiteindelijk deze s04 ademt en zich voedt door deze schimmels.

1 Toevoeging: 20:30 zelfde dag

Het is niet hetzelfde wat wordt beschreven. In alle twee de situaties ontstaat h2s, echter er is een verschil. h2s ontstaat bij het geinfecteerde lichaam door h+ en o tot h2s afscheiding, dus bij de bacterie vindt h2s afscheiding plaats, dit is dus indirect zonder tussenkomst van een chemisch proces in het lichaam.

dus nogmaals in het lichaam, een chemisch proces van het lichaam
buiten het lichaam om, gewoon afscheiding en een chemisch proces van de bacterie.

Desulfovibrio vulgaris is daarom een antibiotica te noemen voor aggressieve darmflora die H+ vormen en h2s (gas) afscheiden.

Doordat desulfovibrio vulgaris de So4 opneemt, kan de bacterie die de probleem veroorzaakte niet meer werken. Ze gaan elkaar tegenwerken.

2 de reductor van h+ is overigens opnieuw h, wat uitkomt op h2, wat deze ook neutraliseren kan.


Toevoeging: 18:30 25/92016

- desulfovibrio vulgaris blijkt de h+ oxidator ook te kunnen consumeren, maar onttrekt daarbij waarschijnlijk ijzer aan het lichaam. Dit moet onderzocht worden. In natuurlijke processen (ecologie) gebeurt dit wel! Daardoor kan een ijzertekort ontstaan.
- advies is om veel melkproducten te consumeren, echter een overschot aan deze bacterien (sulfiet reducerende bacterien (SRB)) kan een ijzertekort laten ontstaan.

www.jove.com

- veel melk drinken kan sulfietreducerende bacterien voeden.
- ijzertekort kan ontstaan bij mensen die teveel melk drinken en deze bacterie huishouden. Veel groente eten is aan te raden, pas op voor ijzervergiftiging. Ook supplementen die opname van ijzer vergemakkelijken, zoals vitamine c zijn beter. Meestal wordt ijzer in overvloede (70%) afgevoerd door het lichaam en worden deze niet opgenomen, vitamine c helpt daarbij.

Lees hier over ijzer:

https://www.salusi.nl/15-tips-mineraal-ijzer/


Quercitine

Toevoeging 12:20 6/10/2016: triamine is de molecuul dat zich vormt en uiteindelijk wordt dit verkregen uit een ammoniak structuur, deze is de boosdoener en het product van waarschijnlijk de meeste schimmels op aarde, deze molecuul zorgt voor alle ellende en deze moet geruguleerd worden wanneer de mens een ziekte op basis van een schimmel heeft. Deze neemt hierbij hydrocarbonaat en twee vrije radicalen op. Om de opname van vrije radicalen te beperken kan gekozen worden om quercitine in te nemen. Deze geeft triamine wat het nodig heeft, hydrocarbonaat, en doodt de vrije radicalen in combinatie met vitamine c.

Ook de ziekte van aids kan zich verspreiden via een schimmel, injectie van rna, dus waarschijnlijk moet ook hierbij naar triamine worden gekeken.

Meer over de werking ervan op de site van Steven Chang, www.qcancercure.com

Quercitine is alleen goed tegen uitzaaing! De tumorvorming moet aangepakt worden met een ander middel, bijvoorbeeld desulfovibrio vulgaris.

6            Lichaamsvoltage (body voltage) verhogen als middel tegen kanker (herhaling) zie beneden.


Digitale gen - therapie kan effectief zijn tegen kanker, op een manier dat vreemd is. In je lichaam wordt een digitale gen vastgemaakt, dit is een elektromagnetisch gebied met een polariteit van +/-, waardoor de body voltage ook gaat stijgen. Wanneer de body voltage stijgt, zullen de receptoren in het lichaam beter en sterker worden. Alle receptoren in het gehele lichaam worden dan actiever, zij geven sterkere signalen door.

Kanker heeft volgens mijn theorie de eigenschap dat het lichaamseigen cellen doet blokkeren, zie eerder beneden de theorie erover. De hersenen ontvangen geen impuls van deze cellen en produceren diezelfde erbij. Dus wanneer de signalen sterker worden, kan het dat de cellen opnieuw worden herkend.

Nu is het probleem hierbij dat de eigen recptoren een bepaalde leven hebben of zeg maar een bepaalde weerstand, dus dat wanneer te lang deze receptoren een te hoge voltage krijgen, deze kunnen worden overbelast, dat brengt met zich mee dat het lichaam bepaalde lichamelijke functies gaat verminderen, wat gevaarlijk kan zijn, met kans op andere complicaties. Meestal probeert het lichaam de hersenen intact te houden. Maar voor een korte periode zou de body voltage verhoging positief effect kunnen hebben op de bestrijding van kanker, dat het lcihaam zich binnen deze periode vanzelf herstellen kan. Ook gebruik van bepaalde hersenstimulerende en zenuwstimulerende mediactie zou kunnen helpen hierbij.

7                    Hoe ontstaat volgens mij een tumor, en wat is dat? Herhaling!

Een tumor is niets anders dan je eigen gezonde cellen, in een soort gefermenteerde toestand.

Hoe ontstaat het?

Je moet denken aan een lichaam met 100 cellen voor het gemak.

Een bacterie slaagt erin zijn dna te injecteren in 1 van de cellen. En krijgt contact met het brein, via de receptor. Ik weet niet of dit bijzaak is een bijwerking van de injectie, een natuurlijk probleem? Dat maakt even niet uit!

De cel is nu in een gefermenteerde toestand en de bacterie voorkomt dat de hersenen inspraak hebben op deze ene cel.

Nu heeft het lichaam in principe 99 cellen! +1 = 100

Wat nu gebeuren kan is dat het lichaam deze mutatie terugzet, dan ben je van het probleem af.

Als dit niet lukt krijg je een mutatie. Bijv een wrat ontstaat of een moedervlek.

Ook kan een tumor ontstaan doordat de celdeling niet ophoedt, het lichaam lukt het niet deze celdeling te stoppen.

Hoe kan dit?


De receptor van de bacterie blokkeert de receptor van de hersen dus de hersen probeert het lichaam intact te houden door nog 1 gezonde cel te produceren, deze wordt echter noodgedwongen door de bacterie ook overgenomen, vervolgens opnieuw e.d. totdat je last begint te krijgen van een bobbeltje. Het zijn dus allen jouw levende gezonde cellen. Het lichaam kan deze in principe zelf herstellen, het is de vraag hoe dat moet.

Uitleg over receptoren

De overdracht van impulsen door de receptoren van bacterien en parasitaire levensvormen gebeurt niet zonder tussenkosmt van een hele kringloop in het lichaam van processen. Eerst moet de voorwaarde geschapen worden door de bactierie of levensvorm om de hersenen te beinvloeden. Zodanig dat het dus zichzelf kan voorzien van zouten en andere bouwstenen. Zo kan bijv een ziektekiem zoals staph bacterie jarenlang in het lichaam zitten zonder dat men daadwerkelijk weet wanneer hij gereed is de hersenen te beinvloeden.
Vooral bij kanker is het zo dat bepaalde lichaamsvreemde aminozuren de dna van parasieten en bacterien meeneemt waarna het wordt afgebroken in het lichaam, maar hoe? Jammergenoeg wordt dan bijv bij Tyrosine D - dopamine geproduceerd in plaats van L - dopamine en dat werkt gewoon op het lichaam en dus hebbenw e een probleem.

En nu is wel de theorie rond.
-------------------------

 Broeikas model uitgebreid 7/11/2017


Met trillingen via een zonnecel en een membraan erachter, via wind en zonne-energie stroom opwekken...




Energie opwekking:
1 door een vortex achtige structuur aan koperdraad te hangen, of een oscillator op koperdraad en deze in een vierhoek te verbinden... zo ontstaat een frequentie wanneer de strak gespannen draad gaat trillen, dat heet elektromagnetisme en een frequentie is geboren...
2 nu wordt deze frequentie 4 x herhaald, waardoor 4x frequentie over elkaar lopen. Nu zul je zien dat stroom gaat ontwikkelen.
3 dus geen windmolens nodig, maar dit soort radiozenders als het ware die warnte en stroom kunnen produceren.

Wat is stroom?

Stroom is als het ware een denkbeeldige lijn
Met polariteit, waardoor elektronen worden aangezogen. Dat is het.


Hoe bereik je met zo'n simpele opstelling stroom te verwekken..?

Simpel, eerst stellen we dat beneden een frequentie van 50 hz wordt gegeneerd met een oscillator, door de trillende draden via een membraan. Nu hebben we al een frequentie maar nog geen stroom, stroom ontstaat zodra elektronen worden aangetrokken, daarom een 2e 3e en een 4e oscillator om deze stroom te verkrijgen, ik denk zelf dat met 4 oscillatoren geen zuivere stroom kan worden verkregen, maar wel met 2 stuks.


De reden hiervoor?

Wanneer twee signalen elkaar passeren, en de draad is strak gespannen loopt van beneden naar boven en weer naar beneden , een stroomkring, dan zal zich doordat twee signalen door elkaar bewegen ruis ontstaan. Dit is ook door een Nederlandse universiteit bewezen overigens, weet nu niet meer welke maar het stond op hun site. Tot zover dan.

Nu zodra twee signalen over elkaar heen bewegen, en je hebt ruis, dus polariteit, dan zul je zien dat een stroom wordt opgewekt, namelijk een oneindige stroomkring, die uiteindelijk echt vanzelf gaat draaien.

Kijk maar naar isolatie en halfgeleider. Een variant.

------------------------

 Mensen die stemmen horen:


Een verklaring waarom wij wel en zij geen stemmen horen. Er is wel geluid bij beide maar wij horen wel en zij niet!

Kijk naar dit tabel:

U ziet duidelijk twee verschillende signalen, een die naar links draait en een die naar rechts draait. Onze oren zijn ook zo ingesteld dat ze ergens samenkomen, en daarom links en rechts bewegende signalen die samenkomen. Zij vormen een AA. Dat betekent in wetenschappelijke taal (van mij): geluid.





Vervolgens naar deze:




Wat is het verschil:

Wij horen continu niets maar hebben wel een geluidje in een van onze oren. Dit betekent dat bijv in de linkeroor een frequentie aanwezig is. continu! De gezonde mens heeft dit niet. Wanneer nu een rechtsdraaiende signaal naar binnen komt dan hoor ik wel en jij niet!

In tabelvorm, wanneer je dus met een psychiater spreekt, spreken we op deze manier, stel je hebt stemmen in het hoofd:




Hoe zou je het voor elkaar krijgen dan om een gezonde iemand die stemmen te laten ervaren?

Stel jouw linkeroor bezit een frequentie: stel dat is 388,5 hz en er hangt een radiosignaal aan met radio 538.
Omdat ik dat heb en wanneer ik in mijn rechteroor nog een frequentie krijg ontstaat er ruis, polariteit en neuronen bla bla verhaal voor een dokter, kortom je pikt signalen op.

Dus dan moet linksdraaiende signaal moet in het gehoor van deze mens. Hoe? Bedenk zelf maar.
Dan zal deze merken dat hij geluiden hoort als een rechtsdraaiende signaal zijn gehoor bereikt.


NB: alle mensen die horen horen dus zoals een psychoot doet, er is geen verschil

Uitleg:
een normaal persoon hoort doordat twee AA s ontstaan bij het ontstaan van geluid. De oorschelpen trillen en er ontstaan twee signalen die geluid produceren.

Bij gezonde is het zo dat zij een rustperiode hebben bij geen geluid.

Bij psychoten is het zo dat zij dat nooit hebben, er is continu een frequentie aan 1 oor aanwezig.

Stel bij een vergadering komen ze samen:

Een tweede frequentie komt in de kamer!

De gezonde persoon hoort niets, maar heeft een frequentie in zijn rechteroor.

De psychoot hoort wel, die heeft een frequentie in zijn linker en rechteroor.

Dus linksdraaiende en rechtsdraaiende oscillatoren gebruiken! Als deze frequenties samenkomen dan ontstaat geluid.

Stel je voor: twee signalen die in elkaar bewegen = polariteit = ruis = geluid.

-------------------------

Broeikas backscattering



In dit model is de lengte de SINA 67 op de gehele composiet.
Dat stelt tevens de noordpoolcirkel voor, dat is volgens mijn model 67, maar dat kan omdat mijn model 1 graden hoger is in het begin.
Merk ook op het volgende:

444:8.88
388.5:7.77 = 50

Een verschil van 5.

de weerstanden of frequenties van 7,77 en 8,88 behaal je door de kabels te voorzien van een tweede kabel van 7,77 dus zoveel keer erom draaien en 8,88 keer eromheen draaien. Uiteindelijk moet je hem zo afstellen dat bij de kruis 388,5 hz wordt behaald.

-------------------------------------

 Voor de duidelijkheid nog een uitleg hoe de oneindige stroomkring tot stand komt Alle magneten staan onder stroom.




Het plaatje zegt alles, Youtube: shazizz doet dit ook maar met plasma zonder oneindige stroomkring, wie weet wat hij zou kunnen bereiken met... kan gevaarlijk zijn. Hiermee kun je plasma oneindig bewegen, net als bij de zon en kun je warmte creeren oneindig met weinig tot geen stroom toevoer.

Met warmte kun je water verhitten, generator erbij e.d. stroomopwekking. Primitief!

Hoe werkt het?
Je zet de accu op de plek waar + en - bijelkaar komen (rechts van het figuur boven) en die plek verbindt je met de input, dus fysiek. De plek waar + en - bijelkaar komen verbindt je met de plek (input). Zie beneden het figuur!

Je hebt dus input en je zorgt ervoor dat alle magneten onder stroom staan, nadat de kringloop is gelukt zet je er plasma in dat gaat circuleren zonder op te branden. Vervolgens sluit je de stroomtoevoer naar de magneten waardoor alleen de inpt blijft branden! Toch omdat een ciculatie bestaat zal de plasma doorgaan met circuleren. Zodner dat veel energie hoeft te worden gebruikt. Alleen de +/- input, of de min!

Doel

Is een verwarmingselement te creeren dat weinig verbruikt. Ook bijv een accu dat zichzelf oplaadt.


Dit komt neer op dit:



plasma
Je ziet dat de + pool ronddraait en de +/- input opnieuw verstevigd waardoor je de kringloop bewerkstelligd.

Bovenaan is het doorgetrokken zodat deze opnieuw kan worden verstrengeld op plek aangegeven met: A

Op plek A kan opnieuw een input ontstaan en kan deze vicieuze cirkel worden verlengd, ook zou energie kunnen worden afgegeven aan bijv een accu of een automotor! De afgegeven materie zijn elektronen die worden aangezogen mbv de magneten. Zodra gas in de ionenkring wordt gespoten en plasma ontstaat dan kan het dat de plasmacirkel ook iets gaat aantrekken, wellicht opnieuw elektronen.

Toevoeging

Ik heb goed gekeken bij shazizz youtube en twee magneten veranderen de polariteit en een enkele verandert de polariteit niet. Maar trekt de plasma door met dezelfde polariteit.

Wat je bij punt A kunt doen is een enkele en een dubbele magneet opstelling te plaatsen, waardoor wordt bereitk dat de +/- wordt doorgetrokken en +/- > wordt + en +/- > +/-  waardoor overblijft + en +/- bijelkaar die een accu zouden kunnen opladen.

58        Speciale capacitoropstelling ik denk dat deze opstelling speciaal kan zijn. Omdat vier uitgangen aan de capacitor worden gegeven de minpolen elkaar raken en een plus vormen waarna 4 andere capacitors de taken overnemen, een soort verdeling.






 87    Haken en ogen een uitleg


De uitleg begint over de de file beneden te downloaden,
met L0 en krul ernaast die zijn goed.

Het gaat erom dat vijf keer 7 dus in totaal 35 stuks 40 wordt gecreeerd.

Het gaat om een code om de vieren te plaatsen. Joden en ook moslims die ervan af weten weten wat ik bedoel. Alledaagse Gassan begrijpt er ook niks van.

Het is ook een vreemde techniek met een doodgewone elektriciteitsnetwerk voor te stellen, met je eigen meterkast, stel dat daar vier signalen zijn geplaatst en dat deze elkaar overlappen e.d. Dat ze erin slagen via deze signalen mensen te voorzien van sterretjes en kruizen e.d.

Dus je plaatst eerst de paganvierkantje op de hakenkruis, dat is:

1234
1234
1234
1234

Vervolgens heb je de basis voor de nato ster dat is:

3213
2142
1431
4324

Daarna plaats je de 70'en, ga ervan uit dat het klopt, ik heb dit met veel aandacht opgesteld.

3213243
14214321
324321
3243214
2132143

Vervolgens plaats je de 5 ster, dat is van de drietand, usb!

32142
21431
14324
43213

Hierna komt nog een 70 voor de plaatsing van de zes joden davidsster:
Dit zijn er 8 stuks keer vijf:
Gelijkend op de drietand, deze is een viertand, bluetooth:

Deze moet nog.

32142132
43213243
14324314
21431421
32142132

De zes ster jodenster:

321431
214324
143213
432142

Deze code bestaat dus uit vieren, ikd acht dat deze vier vieren beschreven waren op deze site. Die plaats ik anders later wel

Dus 1 = 40 zie boven
       2 = 40 zie boven
       3 = 40 zie boven
       4 = 40 zie boven

Weet niet zeker meer of dit de juiste volgorde was. Denk het wel. Dus legenda: 321431, betekent: loop eerst de 3, dan 2 dan de 1 enz. zoals hieronder aangegeven.

Het gaat erom dat je bij alle posities draait naar rechts behalve bij 2 naar links als dit de laatste twee is, de eerste twee is ook naar rechts. Dus van 2 naar 3 is altijd links draaien.

Het huis (posities hangen van je huis af en hoe ze alles hebben neergezet):





1 = 1,2,1,2,3,1',4
2 = 1,2,1,2,3,1',4,1,2,3',4
3 = 1,2,3',4,1,2,1,2,3,1',4
4 = 1,2,3',4

Door bijvoorbeeld een zon 40 te lopen, het zijn posities in een elektrische stroomkring. 

Downloads aangaande hakenkruis:

https://www.dropbox.com/s/v1zquyghhezjzld/hakan4.pdf?dl=0
https://www.dropbox.com/s/skfrt48h0oqssbb/star.pdf?dl=0
https://www.dropbox.com/s/rqrplx0mmlpje56/hitler.jpeg?dl=0
https://www.dropbox.com/s/li0o8m15rkveubp/hokon5.pdf?dl=0


Toevoeging: code Tuareg... Zie voor legenda hierboven...

1,2,3,1,4,3

Optioneel is het dubbel 1,2,3,1,4,3,1,2,3,1,4,3...


Oud:

----------------------------

 86    Frequentie haken 2 mbv isolatie en halfgeleider, een dergelijke opstelling, scrambled signals 4/5/2017


Wanneer de composiet zoals beschreven in isolatie en halfgeleider, wanneer deze wordt geupgrade met oscillatoren en een ontvanger, dan kan het dat met behulp van een signaal, bijv een laser, kan worden gezwoven.

Uitleg:





door meerdere keren dezelfde signaal te ontvangen en te verzenden creeer je een soort magnetisme met + polariteit die bij contact met een +/- laser elkaar aantrekken.

Belangrijk is de backscatter! Eigenlijk ontvangt het dus twee keer dezelfde signaal met +/- stippellijn.
Waar ik niet helemaal over uit ben is of deze signaal weer afgegeven moet worden met een tweede oscillator, volgens mij wel.

Wat kun je ermee?
Je kunt hiermee vliegen zoals Iron man dat zou doen...echt! In de richting van de laser.

 85      2/5/2017   Methode om gedrag van ziektekiemen te herleiden


Stel we hebben een ziektekiem, een bacterie x die zorgt voor kanker bij mensen...

1   Probeer deze bcterie in een laboratorium in een gefermenteerde toestand op te slaan.
2     Probeer nu bestanddelen toe te voegen die deze bacterie activeren.
3    sluit nu alle voedingsmiddelen uit die deze bacterie niet activeren
4   probeer ook zeker cominaties uit met zouten, met name de amonium verbindingen, zoals (NH4)2S.

Als het de onderzoeker lukt de bacterien te activeren, dan is deze combinatie schadelijk en kankerverwekkend. Bovendien weet je meer over de ziekte, wat het eet en wat het doet, met name is de zout belangrijk, zonder deze zout leeft het niet zo lang. Het tast niet en kan niet voortplanten, kan geen ijzer opnemen, helemaal niks. Gaat dan fermenteren. En het kan dat deze anti lichamen gaat produceren en wordt toxisch. Maar dit duurt niet lang.

5  Probeer nu te herleiden welke bacterien deze toxines betreffen enw at deze activeert in een fermentatie toestand.

enz. Belangrijk omdat ik het sneu vind voor de proefdieren.


Nummer 84 30/4/2017 16:15 Dit is meer bruikbaar voor een ionenkring, om magneten op elkaar te houden om zo een stroming te kunnen genereren. De rechter is evenwichtig en de linker heeft geen evenwicht:




Boven is de afbeelding, met krachten afgebeeld die ontstaan, het gaat om de trekkende krachten en niet de stabiele evenwichtige krachten.

Bijv de kleine magneetjes drukken op het metaal en op de grote magneet helemaal bovenaan via de titanium constructie, de l vormige metaalconstructie, die de drie magneten vasthoudt. Wat kan worden afgeleid is dat de titanium ook drukt, maar die effect wordt zelfs beter als er twee veertjes tussen worden gezet, om te zien hoeveel effect dat heeft, maar ook fucntioneel zodat de kracht een aantrekkende wordt. De veertjes komen op het gedeelte met het metalen blok.

Wat wordt bereikt is het volgende: het evenwicht wordt gebroken waardoor de opstelling een energie opbrengt.

Als we het magneet op de linkerplaatje vervangen, ook dan hebben we dezelfde energie, maar nu zal de ontstane energie vrijkomen, waardoor bijv het metaal, gaat afstoten of aantrekken met andere woorden hij wordt magnetisch.


Opmerking: de twee voorste magneten koppelen een derde magneet aan een grotere magneet... als ze sterk genoeg zijn.

Opmerking: een tegengestelde polariteit is belangrijk bij elektronen of ionenkringen. Het verandert de stroming.



 83    Heb dit bij wetenschappelijke theorien gedumpt: het gaat om superconducting en zero g

(Vervallen, betekent dat ikzelf vind dat het zinloos is) superconductor/spanningsstabilisator II 12/4/2017 12:30 Dezelfde cilindermagneet als bij 57 en 56, maar nu wordt er alleen gewerkt met 1 cilindermagneet die draden heeft gewikkeld, die wordt simpelweg onder stroom gezet en paren van deze cilindermagneten zorgen ervoor dat de stroom stabiel wordt vervoerd.

Dus geen tweede cilindermagneet eronderaan die stroom ontwikkeld, maar direct stroom ontvangen door de stropom die erdoorheen gaat.

Het verschil is dus dat 57 ook stroom aanlevert > de magneten die onderling stroom genereren.

Hierbij is het dus zo dat een cilindermagneet die onder stroom staat elektronen aantrekt en die weer afgeeft

Deze simpele versie moet ook lukken, hetzelfde principe 1000 ronde slagen = 1000 en 60 = 60 hz e.d!



(Vervallen) superconductor/spanningsstabilisator. 11:45 12/4/2017

Dezelfde composiet als aangegeven bij 56 alleen zonder turbines!

Dus dat de turbinewielen en generatoren worden weggelaten. Daarvoor in de plaats komen platforms waar de magneten onder en boven worden opgesteld.

Dan krijg je de situatie dat de magneten de twee cilindermagneten onder stroom zetten. De ene cilindermagneet zweeft boven de andere. De cilindermagneten zijn beide geweven in metaaldraad, waardoor elektromagnetisme ontstaat. En dat is belangrijk voor de superconductor.

Want de hoeveelheid slagen in de metaaldraad is belangrijk. Stel we behoeven 60hz, dan moeten er 60 slagen in, dus 60 keer omgewikkeld zijn. Stel de stroom is 1000hz, dan moet de metaaldraad 1000 rondes maken wil het werken.

Hoe het daadwerkelijk werkt: je verbindt de stroomkabel op de cilindermagneet, die zweeft boven de onderste cilindermagneet. De onderste kan je niet gebruiken omdat deze vast zit aan het platform beneden. Waar dus wel magneten zijn opgestapeld volgens onder en beneden principe.

De cilindermagneet boven wordt onder stroom gezet. Die zweeft dus zonder aangrijppunten zorgt voor geen loss. Desgewenst zou wel de beneden cilidnermagneet onder stroom worden gezet, maar deze moet vastworden gezet op de platform, dat loss veroorzaakt, deze hoeft niet van metaal te zijn, dan kan het zonder effect. Bijv van keramiek, bakeliet e.d.

Wanneer de stroom vloeit richting de superconductor met een frequentie van stel 1000hz dan ontstaat het effect dat door ruisvorming een beetje loss ontstaat, dus stroom gaat verloren. Daarom is deze uitvinding, die de frequentie op peil houdt met 1000 hz elektromagnetische golven, de spanning stabiliseert.






I doubt this one but still make the effort: flying zero g. 23/3/2017 13:00

Dit is dus een variant. Lees de toevoeging ook!

    

  • je zet dus een cilindermagneet over de turbines heen naar de benedenzijde en laat hem daar zweven. De polariteit aan de kanten van de magneten zowel de magneten in het middengedeelte (ronde gedeelte) als de cilindermagneet is Z polig.
  • Heel de composiet as de eerste cilindermagneet die is opgesteld draaien in dezelfde richting.
  • Doordat de cilindermagneet is geplaatst krijg je de situatie dat twee magneten combinaties ( de cilindermagneet en de beneden turbine) draaien naar een richting, stel dit is rechts.
  • De bovenste draait naar links. Er is nog geen evenwicht.
  • Nu worden koperdraden gewikkeld aan de cilindermagneet en wordt stroom verkregen van de generator direct gegeven aan de cilindermagneet. Hierdoor krijg je een zeer sterke elektromagnetische energie. Afstotend.
  • Beneden is dus een evenwicht bereikt, hier is een evenwichtslijn denkbaar n/z, een soort haken combinatie, de eerste haak van de hakenkruis bedenkbaar.
  • De laatste stap is om een in koperdraad gewikkeld tweede cilindermagneet op de top van de composiet te plaatsen waardoor daar ook een afstotende energie ontstaat noord noord. en een evenwichtslijn. Een hakenkruis denkbaar.
Voor de mensen die het echt niet willen begrijpen, een uitleg, uiteindelijk ontstaat zerog g doordat twee polen elkaar afstoten tezamen met +/- en +/- die elkaar ook afstoten. De uitslag is + dat wordt opgesloten, het ontlaadt niet! Dat is zero g.


6/4/2017 21:30

Toevoeging: ik heb nagedacht over de elektronen die worden aangetrokken door de magneten die onder stroom staan, we gebruiken +/- stroom, doordat ze onder stroom staan trekken magneten +/- elektronen aan en bij ZNNZ of NZZN midden komen ze bij elkaar en vormen een + polariton.

Nu is de vraag dus wat moet met deze polariton gedaan worden, kan hij nu de composiet naar boven trekken?

Waarschijnlijk nog niet! Ik twijfel en daarom kom ik met iets nieuws, een oplsossing daarvoor.
We hebben nog een derde losse onafhankelijke deksel nodig die onder stroom staat en wel onder +/- of - stroom. Dus zeg maar een soort deksel van ufo's bekend. Een magneet zou de + polaritonen wegtrekken en erdoorheen laten, een deksel van metaal doet dit niet, hij spaart ze op.

Hierdoor zullen de + polaritonen naar die magneet stijgen of dalen en zullen propulsie veroorzaken.


Dus voor de goede orde kan ik dit niet uittesten. De problemen zijn veelal de grote cirkel magneten.





 82            Spanningsveld en communiceren via trillingen (door een Amerikaanse wetenschapper eerder verklaard dat planten en dieren kunnen communiceren via trillingen, maar niet de wijze waarop)


Zoals we weten is een N/S spanningsveld benodigd voor het produceren van geluid via trillingen, enige wat moet gedaan worden is dat deze signaal van het spanningsveld wordt opgevangen en wordt teruggezonden, dit kan met een opstelling > ontvanger, zender, zender. Twee zenders dus. Het signaal dat moet worden geproduceerd is dus N/S, dus twee lichtstralen zijn benodigd.

Nogmaals: twee lichtstralen in elkaar geeft ruis!
spannignsveld creeert ruis.
Ontvang deze ruis en stuur het terug met je eigen signaal eraan vast!

klaar, je hebt een stem overgebracht

Ik denk dat dit ook de methode is van de duivel! Vroeger in elk huis van mij, dat zijn er al drie opgeteld, waren te meten met een elro mulimeter dat er spanningsvelden aanwezig waren, hoogspanningsvelden zoals bij een monitor/tv! Dat is dus verwonderlijk, dan hebben ze je huis dus geschikt gemaakt en kunnen ze rustig hun gang gaan.
81            Tractor beam or beamer 17/4/2017 toevoeging

1 by sending out a signal while receiving it and receiving then sending it out again you have a beam with a polarity. The polarity is not + or - but north and south.
2  Now by doing this twice you can attach two signals to each other, they are magnetically attracting with N/S and N/S poles.

It is not easy to obtain this, but the theory is simple. And then flying with just a laser beam and a receiver/sender is coming much closer.

The sender receiver is a composite like isolation and superconductor described on this site, with a backscatter and receiver and sender of a signal. But better is possible.

You could fly with this beam instead of using it like a tractor beam.



Dus je hebt twee signalen in elkaar links en rechts, die combineren levert N/S N/S, je hebt namelijk ruisvorming.
Vervolgens als je deze signaal opvangt en weer terugzendt, bijv met een backscatter methode, beschreven in isolatie en halfgeleider, dan kun je zweven aan een tractor beam.

Met name interessant voor landen die de rare dingen gelovend een doenende Amerika willen kunnen blijven volgen.


17/4/2017 Ik zal het verder uitleggen en proberen duidelijker te maken: 1 Eerst wordt dus een signaal geproduceerd,d enk aan een laser straal.
Nu komt een tweede frequentie ertussen, een tweede laserstraal.

Je krijgt een stippellijn te zien.

2 Nu Heb je de beamer al klaar, echter moeten we een zender ontvanger maken die dan het signaal opvangt en opnieuw verzendt, waardoor je rijgt:

N/S en N/S koppeling.

Kapish?

Nee dus... Kijk je hebt de stippellijnige laserstraal. Vervolgens ontvang je de frequentie, dat is bijv 50/60 hz. of 60/60

Je zendt het gelijk terug waardoor je nu kunt haken aan die stippellijnige laserstraal.

makkelijker uitleggen kan niet...


 80               Het stemmen horen een nieuwe verklaring van mijzelf 25/3/2017


Om een mens stemmen te laten horen moet het magnetisch evenwicht een balans van het lichaam worden gevonden. De balans dat dus zit tussen je oren. Je moet het zo indenken je linkeroor is de balans aan je linkerzijde dat is een signaal, het rechteroor is een tweede signaal, een balans van je rechterzijde. Dit komt erop neer dat in je linkeroor een signaal anders beweegt dan in je rechteroor, in je rechteroor in dezelfde richting, naar rechts en in je linkeroor in dezelfde richting naar links. Deze twee signalen gaan in elkaar op en je hoort. Tot zover dus het horen. Omdat twee signalen in elkaar veroorzaken ruis, en dat is hoorbaar, vertaalbaar door de hersenen, ook ivm de balans dat bestaat, zonder geen gehoor.


Nu het fenomeen stemmen horen:

Dat zijn dus stemmen anders dan het normale gehoor kan horen, andere stemmen dan normaliter moeten worden gehoord, maar dat gebeurt wel op een bepaalde manier dat dit moet worden afgestemd op het gehoor, op het brein dat werkt met een evenwichtsorgaan, bij de oren.

Dan moet naar voorbeeld een signaal of een plek waar het slachtoffer zich bevindt zodanig twee signalen bevatten die in elkaar zijn geweven, kortom in de verhouding "naar links" en "naar rechts" en dat iemand zich toevallig op die plek bevindt.


Je oorschelp

Je oorschelpen zijn dus aan twee kanten symmetrisch gebouwd, waardoor zij links en rechts een signaal veroorzaken, maar deze signaal is dus niet helemaal identiek, naar links kromt het naar links in dezelfde richting en rechts naar dezelfde richting kromt het naar rechts.


Stel je bent thuis:

Daar heb je een meterkast, een groep:

Je creeert daar een signaal dat naar links beweegt en eentje dat naar rechts beweegt en deze twee signalen zet je in elkaar, de ruis die dan ontstaat is hoorbaar! Test dit maar.

Bovendien: in een huis is dit volkomen gemakkelijk te realiseren, in buiten ruimte is dit wat moeilijker, maar tegenwoordig bestaat WIFI!

Plaatje ter verduidelijking:





En dit is ook de reden waarom ik sommige volkeren ervan verdenk geheime influisterpraktijken te hebben.


Toegevoegd: Technisch gesproken hebben we het dus over polariteit in de oren, we horen links en rechts, dus er zijn twee signalen, die samenkomen, die een polariteit hebben met N/S.

Als een signaal wordt veroorzaakt met N/S blijft het haken en kan worden ingesproken! Het gaat hier om een communicatiewijze waarbij N/S op N/S polariteit haakt, dus twee signalen haken aan elkaar en beide signalen bezitten ieder twee signalen, bestaan uit twee signalen op elkaar.

Dus samnegevat: 1 je hebt een object nodig dat een polariteit bezit, met N/S dan heb je in principe ertussen ook +/-.

2 twee signalen die een enkele signaal vormen (extern gecreeerd met radiozenders) benodigd om te communiceren met deze signaal, door deze te ontvangen en terug te zenden.

Wat zichtbaar is voor het menselijk oog is dat een signaal dat voortvloeit ui twee signalen, een stippellijn structuur bezit.


 79             Electromagnetic communicator


Ik ben er niet zeker van, maar ik kan mij ten minste bedenken dat deze vorm van techniek als baken kan dienen, als ontvanger voor een tweede signaal.

Dan werkt het als volgt:

1 De omhulsel aangegeven met + polarity is + geladen tot aan de bovenkant, continu stromend. Een driehoek wordt erin geplaatst en deze stijgt op naar boven en veroorzaakt daar een - gebied. Dan zou het dat je met een + vorm deze signaal kunt beinvloeden en opvangt.


toegevoegd: 10/1/2017 De ontvanger is dan als volgt:




------------------------

77        31/10/2016 frequentie haken met een oneindige stroomkring

Door een oneindige stroomkring te gebruiken, en deze te zetten in een papieren mal, de ionenstroom op gang te brengen en vervolgens met plasma deze te laten opbranden, dan kan men trachten deze oneindige stroomkring in stand te houden totdat het een bepaalde hoogte bereikt.

Het zal zweven...

Wannener de papieren mal opbrandt, zoals in boek 3 verboden liefde is beschreven, dan zal de stroom oneindig zijn en stijgen en vervolgens moet het gehaakt worden aan een frequentie... stel 388,5 hz van de kruis. Deze cijfer had ik berekend, dit moet de frequentie zijn van het plusje. De bovenste geel/rood zijn 444 hz.

Het is natuurlijk erg futuristisch, maar wanneer ooit een oneindige stroomkring van elektronen, die vervolgens veranderen in ionen wordt gerealiseerd, dan zullen dingen gaan veranderen in de wereld.

 76   13/9/2016 Hoe een magneet maken, het principe van een magneet haken en ogen 16:50


Wanneer iemand een signaal verstuurt en deze opnieuw kan ontvangen en verzenden tegelijkertijd, dan spreekt men van haken en ogen, dit is magnetisme, nu heeft iemand een magneet geschapen. Dit trekt materiaal aan.

Het magentisme wordt verklaard aan de hand van twee golflengten die in elkaar bewegen, die daardoor ruis veroorzaken. Ruis = geluid = magnetisme.

Volgens het Brillioun principe is dit. En zo is ook de magnetisch werkende zonnecel oppervlakte uitgelegd. Weliswaar is nog geen product aanwezig maar die moet wel volgens deze principe worden gemaakt.
Dit kan bijvoorbeeld gerealiseerd worden met een spiegeltje eronderaan te doen, als we spreken over een lichtstraal zoals bij zonnecellen, dan kan het met een spiegel, dat het signaal wordt teruggekaatst. Dus stel twee signalen voor die met refractie zijn verkregen en die in elkaar overvloeien, nu schijnt de spiegel terug naar dit signaal. Dit brengt een soort haken en ogen verhaal met zich mee, dat langdradig is, deze haken en ogen principe is het beste uitgelegd in model isolatie/halfgeleider. Een signaal wordt terugontvangen en opnieuw verzonden, dat is het principe.




 75 Een droom...

In de ochtend van 7/8/2016 In mijn droom zei een stemmetje dat kanker wordt veroorzaakt door de gifstoffen die bacterien in het lichaam afscheiden, die proberen immuun te worden en resistent te worden tegen gifstoffen die hen schaden.

Toen heb ik een klein onderzoekje gedaan en mijn eerste conclusies zijn dat dit kan: staat ook op internet dat bepaalde bacterien worden geassocieerd met kanker en ook dat zij gifstoffen produceren die kankerverwekkend zijn. Met name de toediening van peniciline bij vleesproducten kan de grote oorzaak zijn. Maar wellicht ook andere minder opvallende oorzaken zoals bacteriedodende andere geneesmiddelen of gewoon groentes en mineralen.

Denk aan helicobacter pilori en strococcus soorten die gifstoffen veroorzaken die vervolgens (de gifstoffen) die leiden tot hele nare ziektes bij de mens.


 74 Fysical shield 30-6-2016 22:32

To make a fysical shield for tanks or planes, you need a reagens of gasses.

It must be in that manner that when you burn a substance you get one gas with + polarity or minus.

For example when you burn  something you get a - minus for oxygen and carbon is a + according my theory as can be read below.

When you for example make fire, out of nothing or with a substance, you get a reaction, energy and gas movement occurs. Now when you have fire you have a magnetic movement too, of energy. That really has polarity!

For example when you have fire you get carbon + and oxygen - 2 times. So when you fire, you have carbon+ in the air or at space. When you throw oxygen at this point you will get a reaction, which creates a fire shield.

What I want to state is that if you want to make a shield it is only be done from one single point, to encircled by another point. From the + to the - or +/-.

Better to form a +, fire, then create a elektromagnetic field around it, then put a reagens on it, now you have your shield. When fire making out of nothing is invented, then it will be possible to create big shields.

You could maybe create fire out of nothing with a lighter (without gas is possible too) the flames must hit each other, like below described.

The most difficult part is to create a +/- elektromagnetic field among a point and to give it a direction, and the suplly it with its reagens.


73 met aansteker de wereld kunnen veranderen?


ik heb hele snelle jongens of meiden nodig, die aanstekelijk kunnen zijn :-).

het gaat om een techniek.

A technique with basic lighter:

first grab a lighter, thern swing your arm to the right and quickly switch the lighter on +/- movement is +/-, -
then quickly pull your hand to the right and then switch again very fast, +/- movement is +/-, -
at the end do make a move with your hand to above +/-, you can blow to the reaction too, it is also +/-

the better technique:

grab a lighter with two flames
then do the same as above,swing your hand to the right, then to the left, both times switch on the lighter.
so they react, it's a polarity issue.
You do not have to do anything now.

when you do it quick enough and when you have some gas in the vicinity yoy will see a flame ball will rise.

a flame is a minus, a - by the way.


72 ionisatoren polariteit en ontstaan van radioactiviteit


Stel dat een ruimte helemaal is gevuld met zuurstof ionen, minpolig. Er is nu weinig radioactiviteit.

Stel er wordt een pluspolige ionisator nu erbij gehaald, die pluspolen laat onsnappen, dan is de vraag of radioactiviteit wel ontstaat. Sowiezo ontstaat radioactiviteit alleen bij een +/- stroming. Dus bij een fusie van atomen ontstaat radioactiviteit. Is dat ook wel zo als - ionen en + ionen om elkaar heen in een ruimte bewegen? Is de vraag.

Wel is het zo dat een ionisator in huis helemaal geen goed idee is. Ionen horen in een kerncentrale en niet in je longen.Het is juist de kunst om zo min mogelijk ionen binnen te krijgen, of je doet het zo dat je absoluut geen radiatie tegenkomt. Dus geen enkel atoom dat met die ion een verbinding aangaat of reageert.

Ionisatoren kunnen soms gewone objecten zijn zoals tv's, lampen e.d.


71 polariteit van vuur


het lijkt op de buiging van licht, echter is hier sprake van een aantrekkingskracht op atomen en die atomen vallen op die vuur en stromen naar beneden, een kracht naar beneden dus, tezamen met twee zuurstof atomen een +/- dat ontstaat, twee krachten, twee elektromagnetische velden creeren een +/-, ze gaan om elkaar heen bewegen en er ontstaat een +/- polariteit, ook ontstaat een derde frequentie, een Delta, dat omhoog gaat, dat is dan de C +. Een delta is een plus pool altijd. Het vuur richt zich dan wel op de magnetische stabiele zijde van de aarde, het middenpool, koop een magna probe hiervoor!








70 Geluid opwekken door twee atomen te laten fuseren en deze in een continue stroomkring te laten bewegen, plasma ball


21\03\2016

Wanneer twee atomen fuseren ontstaat het effect dat zich andere elektronenbanen vormen opbasis van de reeds bestaande. Dit lijkt op de manier waarop licht gaat buigen, wanneer het botst met andere lichtbronnen. İn dezelfde hoek, bij fusie van twee atomen, ontstaan elektronenbanen die gaan ronddraaien. Dit komt doordat twee atomen om elkaar heen bewegen en daardoor een elektromagnetisch veld creeren die anders is dan de reeds bestaande. Oftewel doordat zij om elkaar heen bewegen onststaat het effect dat twee elektromagnetische velden eend erde veld creeren. Dit lijkt op het fenomeen elektromagnetisme creeren en doordat twee atomen om elakar heen bewegen, ontstaat een elektromagnetisch veld dat zich uit in een elektronbaan om de atomen heen.

Doordat deze elektronenbanen een bepaalde waarde zijn die kunnen worden berekend, is bij een constante telkens een bepaalde geluid aanwezig. Dus wanneer deze twee atomen om elkaar heen bewegen, is er eigenlijk al geluid aanwezig dan wel hoorbaar of niet.

Door de atomen in een constante elktrisch veld te zetten kan ook via deze elektrisch veld geluid worden doorgegeven via deze elktronenbanen, wel of niet hoorbaar, kan nu worden bepaald, door de stroom (in hertz) hoger of lager te zetten.


69 Ziekteverwekkers, o.a. kankercellen en parasitaire ziektes onderzoeken ipv proefdieren te gebruiken, de beste methodiek:


9 - 12 - 2015 18:41

Bij elke ziekteverwekker geldt:
  • wat eet het
  • wat drinkt het
  • wat schijt het
  • waar is "zijn huis" in het lichaam, dus ergens waar hij woont en zich nestelt en van daaruit uitbreidt, ook wel: hoofd ader.
  • wat gebruikt hij om voort te planten, cellen, bloed en de manieren waarop
  • wat ademt het, gaat het bij aardse ziektes altijd om zuurstof, koolstof en stikstof, hele intersssante schimmels en bacterien bestaan.
Kankerziekte:
1 kankerparasiet, daarvan staat niet op google direct wat het eet, aangezien het moe maakt en cellen verzamelt, kan het dat het glucose en lichamelijke cellen opeet.
2 bloed of water of allebei, bloed betekent wel meteen een hele andere soort ziekteverwekker en dan is duidelijker dat we kunnen spreken over een parasiet.
3 schijten is een probleem voor de mens en ook voor kanker wie weet, er zit vast een luchtje aan die wellicht het slachtoffer kan ruiken, ook honden kunnen dat, bovendienkun je die frequentie blokkeren met je verstand en je neus dicht te doen en eraan te denken in combinatie. Echt schijten van een stofje zal ook wel, maar dan gaat dat in het bloed zitten end at moet ook wel voor iets opmerkelijks moeten zorgen.
En zou het dat de uitscheiding een zuurstofmolecuul bezit of een stikstofverbinding dat toch wel goed door het lichaam wordt opgenomen of anders gebruikt door het lichaam, bij kanker is de kans groter dat deze een NO verbinding tot stand brengt en het zenuwstelsel aantast.
4 in de longen meestal als het gaat om een schimmelsoort, die toch moet kunnen ademen, meestal ademen deze stikstof zuurstof en CO2, waarna kanker zich uitstrekt naar de zenuwen, waar het het lichaam opdrachten geeft om cellen te produceren en de zenuwen kan beheersen, zodat cellen vrijkomen voor zijn eigen doel, meestal voortplanting.
5 bloedbaan wordt gebruikt door de ziekte om het lichaam verder te infecteren met nakomelingen of vertakkingen. Luchtwegen worden vertakt.
6 CO2, zuurstof of stikstof, of zou het iets anders ademen?

Dus 6 reageerbuizen gevuld met ziektekiemen en deze tests doen, wat kan het eten... e.d.
------------------

67 Landmarks in andere kant van de wereld aanmerken met een andere landmark van dezelfde soort, die de landmark aangeeft.

8 -12 -2015 0:21

Bijvoorbeeld door gebruik te maken van een kunstwerk of een maket, door de locatie aan te merken als de locatie waar tegenover aan de andere kant van de wereld een grote landmark is verrezen.
-------------------

65 Warpen van toestellen door een ruimte

5 - 12 - 2015
Daarvoor moet bijvoorbeeld een F - 16 van een frequentie worden voorzien die naar voren wijst, stel dat is 5v en 5hz en een directe Bouillon verbinding met een andere frequentie aangaat. Stel dat is 2,4 ghz. Manguson - Deutz = Bouillon.

Nu gebeurt het dfat de F - 16 in een soort holle ruisniveau wordt ingezogen, de tussenliggende holtes zijn geluidsfrequenties en zijn hol, deze zijn van geluid, de andere zijn licht.

Er zijn dus in een Bouillon twee niveaus + en - op elkaar volgende polariteit.

Dus de F - 16 moet zich bevinden in de + als ik het goed heb, want - polariteit zuigt protonen van zuurstof en brandt uit. Vuur heeft zuurstof nodig.

In een vooruit bewegende signaal gebeurt het dat de F - 16 nu sneller gaat...

het signaal kan op twee manieren en het liefst op beide manieren naar voren worden gestraald, met een laser en met een V - vormige straal, zie boten op het water voor de juiste hoek in de juiste snelheid.
-------------------

63 Motoriek en lichaamsgewicht, een verband met hersenfuncties

27 - 11 - 2015 De groter het lichaam wordt, de meer de hersenene worden belast met het sturen en onderhouden van de lichaamscellen, met name vetcellen. Het lichaam gebruikt het merendeel van de hersencapaciteit om het evenwicht te houden, de motoriek.

De meer vetcellen of spierweefsel (weet niet zeker of zich spierweefsel ontwikkelt), de meer de hersenen worden belast.

De stelling dikkere mensen zijn dommer, kan dus kloppen, echter... de lichaamsverhouding naar het hoofd is ook belangrijk. 
-----------------

62 Euro en dollar waardepapieren of bonds van grote beurzen als waardepapieren voor de economie stellen, goud inleveren 27 - 11 - 2015


Een uitkomst voor economien die afhankelijk worden van de euro dollar economie...

Met het goud de staatsschuld aflossen... of afwegen tegen iets beters? Rendement...
-----------------

61 Model isolatie: verklaren van luchtstromen, het vangen van de 3,14 phi in een composiet


26 - 11 -2015


Een composiet zoals de bijenkorf dat een luchtstroom creert in de composiet zelf en dat gaat stromen, kan als volgt worden verklaard en technisch uitgelegd.

Het gaat om stroomgetallen die elk op elaar moeten volgen en die een bepaalde kromme bezitten ten opzichte van elkaar. Dus: 3,14, 4,44, 7,77, 9,04, 11,11, 13, 33, 15,.., 20,3 en 23,44. Het gaat er dus om dat beneden en boven een druk wordt gerealiseerd, waardoor een phi kracht wordt opgesloten en gaat stromen.

Het gaat erom dat bij elke draai met een bepaalde hoek de composiet met een bepaalde hoek hoger wordt, in het begin is dat 1,11 graden, tot aan het eind gaat steeds een graden van 1,11 omhoog. Alleen hier kan ik het fout hebben, dat ook de hoogte mee verandert.

Dan gaat het erom dat 4,44 - 3,33 = 1,11, de 3,33 wordt verkregen boven de composiet, bij de gele en rode kleuren en het is een fractieverschil bovenaan, backscatter verschil, het heeft een wetenschappelijke benaming, wat in de isolatie model en patentaanvraag is beschreven.

Het gaat er ook om dat bovenin de 23,44 - 20,3 = 3,14 phi, deze wordt vast gezet en dat dit verschil uiteindelijk in combinatie met een 1,11 graden verschil voor voldoende broeikas zorgt, waardoor een luchtstroom gaat stromen. Voor de rest uitgelegd in de patentaanvraag.
------------------

58 14 - 11 - 2015, Het voorkomen van tornado's


Een tornado kenmerkt zich door de vorming van harde windstoten, windstoten zijn een energiebeweging dat wordt veroorzaakt door een stroombeweging, een tekort op een plaats trekt een energie aan, kortom een +/- pool, in principe is het een soort lucht, luchtstroom. De naam luchtstroom heeft daarmee te maken.

Een tornado wordt gevormd doordat op bepaalde plekken op aarde bepaalde energie wordt gevraagd en wordt gemist.

Voorbeeld: stel er is veel ultraviolette straling door de zon op aarde gestraald en de natuur heeft te weinig diffuse straling afgegeven, dan zal de natuur dit toch moeten compenseren, door energie aan te trekken, er onstaat een energiebeweging, dat wordt aangevoeld door het leven als een luchtstroom en wat wij noemen, wind.

Bij een tornado is het zo dat vanuit hele grote afstanden energie moet worden gezogen, waarna het gebeurt dat uiteindelijk de tornado sterker en sterker wordt en wind gaat draaien, met meer kracht wordt energie opgezogen.

Het kan ook dat op bepaalde plekken bepaalde gassen ontbreken door een bepaalde natuurlijke of menselijke oorzaak, denk aan waterstof, zuurstof, co2 en stikstof. Dan zal opnieuw een energie beweging volgen.

Het belangrijkste hierbij is dus dat de lucht bij bepaalde weerstypen goed kan worden gevolgd en de energiesoorten kunnen worden gemeten, vervolgens kan deze energie getracht worden te geleverd. Hierna ontstaat de situatie dat de wind in kracht kan afnemen. Hoe deze energie kan worden losgelaten is voor mijn theorie nog niet relevant, denkbaar zijn atoomproeven, die kunnen schadelijk zijn, of gewoon het chemisch laten reageren en laten ontsnappen van deze energievormen in de natuur bij aanvang van een tornado.
------------------

57 14 - 11 - 2015, Het communiceren via luchtstromen


Het principe is simpel op zich, maar de techniek moet nog bedacht worden. Door op een plaats een energie te creeren dat reageert met een andere vorm van energie en die op een maximale afstand van elkaar te stralen, wordt een luchtstroom opgewekt. Hierdoor ontstaat het effect dat op deze luchtstroom van +/- geluidstrillinghen kunnen worden overgebracht vanuit de energie beweging die naar de andere energiebeweging beweegt.

Dit fenomeen kan men verklaren aand e hand van de regenboog, die deze reagerende energiesoorten naast elkaar plaatst.
------------------

54 Jammen van frequenties: de enige juiste en correcte methode 30 - 10 - 2015 12:15


Het gaat om dit principe: stel je hebt een signaal, dat stellen we op 2,45 ghz bluetooth

Dan komen de huidige jammers goed in de buurt, zij geven een extra bluetooth signaal af in de frequentie 2,45 ghz, dat is heel goed, goeie richting, goede insteek. Maar het is niet effectief omdat het niet af is.

Door deze twee frequenties die in elkaar gaan bewegen, krijg je een +/- reactie, dat in principe (Deutz) de werking van een microwave simuleert, je krijgt als het ware door deze botsing een microwave, dat inbrandt. Tot zover moet dit te begbrijpen zijn, doordat twee signalen die in elkaar bewegen voor geluid/noise zorgen en dat is magnetisme en dat komt neer op een +/- signaal, een reactie, aantrekking. Er ontstaat een tweede frequentie dat voortkomt uit deze botsing of inelkaar bewegen. Deze elektromagnetische straling dat ontstaat is dus een nieuwe frequentie. Stellen wij als voorbeeld op 100hz.

Nu is het belangrijk om deze 100 hz te blokkeren door een tweede signaal van 100hz te creeren en op deze 100hz te richten. En wel op welke manier:

Ietswat ingewikkeld voor de echte domme mensen onder jullie, die dat (zouden mogelijkerwijs en wellicht nog wel eens) kunnen begrijpen:

Doordat de 2,45 ghz frequenties een 100hz +/- signaal hebben voortgebracht, een gevaarlijke inbrandende signaal dus, dan moet een tweede 100hz signaal met een +/- frequentie op dat 100hz signaal worden gericht. Let op een +/- frequentie, dus een microwave erop richten!

De tweede 100hz signaal kan weer worden gecreerd door twee signalen in elkaar te bewegen, uiterst ingewikkeld dus, kan veel tijd innemen. Maar dit is wel de goede theorie voor succesvolle jammingtechniek. Op dit moment is het een beetje het duo Flut en Fors.

Nu de reden waarom: omdat twee +/- frequenties elkaar zullen afstoten, is dit de enige manier om te kunnen succesvol jammen.

Dus als twee microwave frequenties op elkaar worden gericht, zouyden deze lekaar moeten jammen. In principe geldt dit altijd wel, alleen is het natuurlijk bij signalen en licht belangrijk dat twee afstotende frequenties worden opgezocht en dus niet bijvoorbeeld 100hz op 2,45 (zelfs dat zou nog effect hebben).

Ook kleur is belangrijk bij jammen, bijvoorbeeld twee van dezelfde kleuren gebruiken.

 Je zou zelfs twee reagerende kleuren kunnen gebruiken, die op elkaar bewegen in de regenboog, dan zou je een andere frequentie kunnen creeren door deze op de betsaande reagerende frequentie te richtenen en alsnog die nieuwe frequentie die eruit voortvloeit te blokkeren. Bijvoorbeeld regenboog ultraviolet en blauw, reageren op elkaar en vervolgens ontstaat een nieuwe kleur, frequentie, die kan worden geblokkeerd met een andere frequentie, met een microwave (+/-) signaal.

...stel dat die andere niet mogelijk zou zijn (konnen moglich solten seinem bla bla Deutz lint).
--------------------------

51 Een kwestie van optellen...


De treden van de piramide, denk aan die van Egypte, maar ook aan de andere, bepalen hoe hoog de frequentie is van het lineaire signaal. Dus stel 20 treden, dan is het 20hz.
-------------------

50 Doorzichtige helm verplichten


8 - 10- 2015 Sommige motorrijders die rijden erbij als duivels, ze hebben een masker op en dat heeft voor hen veel voordelen in de criminele wereld, dat zij razendsnel kunnen vluchten en dat getuigen niets hoeven te zien. Vandaar verplicht een doorzichtige helm, het went wel, in de psychologie van de mensen.
Technisch zou dat betekenen, dat wellicht de romp deels van ijzer moet worden vervaardigd, met name op de top en in de nek, je hebt ook overigens doorzichtig aluminium, tegenwoordig. Constructie met metalen houders.
-------------------

48 Genezing heeft te maken met kleur


Vooral spirituele mensen weten van het fenomeen dat zij bepaalde kelurtjes zien en ervaren, vaak is dan een duivel actief ind e buurt en kan weinig volk er wat aan doen, soort acceptatie is dat. Bepaalde reagens laten een kleurtje zien, dat komt omdat bij een bepaalde frequentie een kleur wordt gegenereerd.

Groenten en blaadjes van in de natuur
Kleur zegt wat over de genezende werking. Stel iemadn heeft continu spa blauw, dit blauw dat blauw water gedronken, dan kan het voor dit persoon van pas komen dat deze een bepaalde soort riet gaat plukken en er een thee van gaat maken. Ik heb het speciaal over een blauw, groen gekleurde kleurstof dat zich bevind in rietgras, dat dus goed kan zijn voor het menselijk lichaam, mits niet gekookt en iets warmer dan lauw mag wel, dat dus niet de thee verandert in een soort gif.

Het gaat dus om de bloem van dat gras.

Maar denk ook aan bladeren, stel je hebt een rode allergie, dan zou het kunnen dat een rode kelurstof, iets positiefs kan uitrichten in je lichaam, denk aan vallende gele bladeren.

Het gaat dus om kleur en dat is de wetenschap erin, denk bijvoorbeeld aan aubergine met de paarse kleur, die is gezond wanneer iemand blootgesteld wordt aan bijvoorbeeld ultraviolette straling. Dat soort genezing is puur vanuit de natuur en is eigenlijk instinctief heel erg juist!
---------------

34 Hoe kun je verklaren hoe radioactiviteit ontstaat door chemische gassen te combineren

Dit fenomeen wordt gebruikt door veelal duivels en volkeren die duivelse magie praktiseren op onschuldige mensen. Zij gebruiken hiervoor verschillende gassen, die zij om de beurt laten ontsnappen, waardoor een reactie ontstaat van deze gassen, de persoon ademt deze in en krijgt ook met deze te maken. Voorbeeld Delta Psychiatrisch ziekenhuis die 4 verschillende gassen gebruikt heeft of nog gebruikt. Roze, groen, blauw en nog 1 kleur.

Zij gebruiken hiervoor de kleuren van de regenboog om deze reactie te vergroten. Zij beginnen bij gassen die een frequentie produceren van diezelfde bijpassende frequentie van de regenboog. Dus volgens de regenboogkleuren ROGGBIF achter elkaar spuiten en vervolgens ontstaat een reactie en een energie, die een hogere frequentie gaat aantrekken, u begrijpt na ultraviolet komt x - ray en gamma straling. Dus na dit niveau ontstaat straling.

U moet begrijpen dat het niet simpel is om x - ray en gamma straling te produceren, het moet zo worden voorgesteld dat de kleuren van de regenboog bepalend zijn, die kleuren kunnen worden gevonden op aarde en dat zijn natuurlijk voorkomende gassen en frequenties in de aardse atmosfeer, de rest moet uit de ruimte (kosmos\heelal?) komen.

Bij gassen is het zo dat deze een ruimte vullen, dus wanneer een bepaalde energie ontstaat, dan zal de natuur een tegenkracht produceren om dit energie te voeden of beter gezegd, de biologische balans te herstellen. U begrijpt wel dat de tegenkracht na dit niveau op een hogere frequentie ligt, buiten de atmosfeer en dat zorgt voor straling. Ik denk dat valt te spreken over gamma, wat het verschil is met x - ray begrijp ik niet, als wordt bedoeld een backscattertechniek dan is het de vraag of hier sprake is van een natuurlijke backscatter situatie, tussen de aardse atmosfeer en de ruimte eromheen. Dan zouden we kunnen spreken over x - ray backscatter.

Toevoeging 16 -7 - 2015: door zonlicht te laten schijnen in een bepaalde ruimte, kan op natuurlijke wijze de radioactiviteit verdwijnen als de bron niet aanwezig of oneindig is.
---------------------------------

33 Anti - gif produceren door bacterien en ziektekiemen in honing te plaatsen


Door ziektekiemen en bacterien en schimmels in honing te zetten, kan het zo zijn dat de natuurlijke aanwezige antistoffen gaan reageren met deze toegevoegde. Na een tijdje verkrijg je een andere substantie wat kan resulteren in een anti gif als alle benodigde natuurlijke stoffen worden toegevoegd. --------------------

31 Overgenomen van de waanideeen site, ik vind het wetenschap maar het is wel iets van veel later ga ik van uit:

Hoe de kruis goed te gebruiken

De kruis kan gebruikt worden om aan het syteem van magie te haken en ermee te zweven in de lucht en in portalen, via een suit/pak. Ook gevechtsmateriaal kan worden voorzien van een kruis met zender gehaakt aan het systeem van magie. We hebben het hier over kruizen van elektronika en niet van mensen! Vliegtuigen zouden dan in een portaal bewegen naar "Homeland."
---------------------------

 30 7 - 7- 2015 10:50, Lichaamsvoltage (body voltage) verhogen als middel tegen kanker


Digitale gen - therapie kan effectief zijn tegen kanker, op een manier dat vreemd is. In je lichaam wordt een digitale gen vastgemaakt, dit is een elektromagnetisch gebied met een polariteit van +/-, waardoor de body voltage ook gaat stijgen. Wanneer de body voltage stijgt, zullen de receptoren in het lichaam beter en sterker worden. Alle receptoren in het gehele lichaam worden dan actiever, zij geven sterkere signalen door.

Kanker heeft volgens mijn theorie de eigenschap dat het lichaamseigen cellen doet blokkeren, zie eerder beneden de theorie erover. De hersenen ontvangen geen impuls van deze cellen en produceren diezelfde erbij. Dus wanneer de signalen sterker worden, kan het dat de cellen opnieuw worden herkend.

Nu is het probleem hierbij dat de eigen recptoren een bepaalde leven hebben of zeg maar een bepaalde weerstand, dus dat wanneer te lang deze receptoren een te hoge voltage krijgen, deze kunnen worden overbelast, dat brengt met zich mee dat het lichaam bepaalde lichamelijke functies gaat verminderen, wat gevaarlijk kan zijn, met kans op andere complicaties. Meestal probeert het lichaam de hersenen intact te houden. Maar voor een korte periode zou de body voltage verhoging positief effect kunnen hebben op de bestrijding van kanker, dat het lcihaam zich binnen deze periode vanzelf herstellen kan. Ook gebruik van bepaalde hersenstimulerende en zenuwstimulerende mediactie zou kunnen helpen hierbij.
----------------
De theorie over Sin - A en Sad - A heb ik niet helemaal zelf bedacht. Dit had ik van een oude bekende zanger Baris Manco van de programma 7 den 77, hij had het over de oude Turken en Chinezen die elkaar op die manier uit hebben gescholden. Hij zei dus echt Sin - A. Toen was ik nog een klein jongen, die dat niet begrepen had, maar het bleef wel hangen.
---------------
-------------------------------------------------------------------------------------------------

17 Ik had een interessante octrooi over actieve isolatie, veel elementen erin zijn schoolvoorbeelden.


Het ontwerp is ook een halfgeleider te noemen, bijna geschikt als microfoon en telefoon. Tevens kan het radiofrequenties uitzenden.

Ook kan het backscatter waves uitzenden, als er genoeg diffuus aanwezig is.

Een microfoon zou het worden door bijvoorbeeld aan de voorkant koolstofkorrels te plaatsen.

Beter geschikt als isolatie.


11 Een tweede methode om waterstof te produceren

6-11-2014
To produce hydrogen we need to take a few steps. We first need t o know that an atom can become warm and cold by speeding the electrons. When you ionize an atom, the electron is being given speed. So it will take much more time to freeze this atom.

Step by step:
1 First we need to heat up water and form gas.
2 This gas must be lead to a different chamber, where it will be refrigated. With doing this the electrons of the hydrogen and oxygen atoms will decrease in speed. Now we will ionize oxygen in the refrigator, with powerful ionisators, by doing this the oxygen atoms will be given speed and will resist becoming frozen.
3 The electrons of the hydrogen atoms instead will decrease in speed and the atom will freeze.

Until step 3 this method is a filtering method for my first invention seperating the hydrogen and oxygen atoms with the hydrogenperoxyde method, this is a filtering method.

To produce hydrogen with this method (without producing hydrogenperoxide) you need to know if oxygen can be separated from hydrogen, then you need another step.

The question is if we ionize the 3 atoms when they are in gas form (H2O). If hydrogen is frozen and oxygen is gas, will they now separate? Will they attract each other magnetically when one of them is frozen and the other is gas? I doubt this.

Step 4 If they don't separate you must force them to, with a hydrolic press maybe by pressing the hydrogen ice kristals or by electrocutating them or by lasering them, Dutch scientist have created a method with which they can do this. I really don't know better :-).

22:25 Now I know better, I thought very very very hard and my conclusion is that in step 4 you best can give the molecule (h2o ice and gas) a elektromagnetic beam, the elektromagnetism of the molecule is drastically lower because now the hydrogen atoms are frozen and they produce lower frequency, the oxygen atom produces compared to hydrogen very high frequency, now you know that the elektromagnetism is much lower. Imagine a very very high frequency and a very low frequency how much noise you can make with it? Not much eh.

First you must know that the elektromagnetism of atoms is +/- polarized, two frequencies flow in each other,  ++ or -- frequencies will create a noise (magnetism) of +/-. You can also say: a not polarized frequency and a not polarized frequency together form friction between them, now you have this: not polarized/polarized frequency, because the noise is always the opposite. So you get +/-. Or in stupid words 1 + 1 = 1/2. I know you don't understand me > cry.

Take a look at this, they show two frequencies and magnetism> +/-. I don't want to say that light has polarity but that two light beams produce magnetism (+/-)
http://www.olo.twenteacademy.nl/vakken/40/onderwerpen/205

When you use a beam with +/- polarity you will have best chance to break the connection (+/- and +/- push each other).
To do this you need a laser which uses the refraction technique of Murat Tanta. Dutch scientists just use a lightbeam (laser). Their lightbeam has no magnetic load so it will take much more energy to pull a magnetic connection.

--------------------------------------------------------------------------------------------------------
10 To describe the working of my invention, capture lightning and create electricity: it is important to focus on + - or north south of atoms. Every atom can become ionized and every atom has a north and a south pole. If we create two atoms with south and north poles put towards them the chance will be greater they will fuse. If you fuse two atoms in this way this will occur SN-SN poled atoms. Or we can say that two ionized atoms + and - will fuse better, when they fuse they have the polarity +-+-, they still got the other pole! Now think about this scenario:

We have two atoms with SNSN pole and +-+- pole and they are fused. But one of the atoms is less stronger than the other one, the elektron moves 50% slower than the other one. This we can state: two atoms with 100 left 50 right with SNSN and +-+-.

Now two atoms 100 (+) 50 (-) fused.
Now we give the atoms a for example + charge and a NorthSouth polarity. The left atom will increase its strenght and polarity, the right atom will decrease in strength and will become + poled, now you have two fused atoms and two + polarities like this -++-, after a while these atoms will split and give current as lightning strikes.

For example:
(+) 120-30 (-)
(+) 150-0 (- or + or neutral)
(+) 200-50 (-)


Now with SNSN method a much finer method:

Again we have two atoms SN SN fused or vice versa with the power: 100-50
Now we change the direction of the circular polarity and we decrease both the strenght of the atoms. Now this will occur;
for example:
90-40 SNSN
70-20 SNSN
50-0 SNSN decharge I think  
and then:
40--10 SNNS
25--25 SNNS

Now they will decharge and split because two similar poles will push each other

If they do not split yet think about this configuration:

0 --50 SNNS, this must be a decharge

I think one day scientists will investigate this natural phenomenon and use it for creating current and electricity like I did describe.

Thanks for reading, Murat Tanta
-------------------------------------------------------------------------------------------------------

9 Voor de fusie reactor geldt dat de variant van 90 graden waarschijnlijk niet werkt omdat een dergelijke fusie niet mogelijk is omdat de polen gelijk blijven. In een cirkel is de bovenkant Noord en de onderkant Zuid. De cirkel kiest een van deze polen en dat doen ze allebei dus stoten ze af.
-------------------------------------------------------------------------------------------------------

8 Behandeling van kanker: een idee


Met de huidige wetenhschappers (de onze) zullen we niet heel ver komen, denk ik. Wetenschappers die kanker behandelen met radiostraling, van die soort mongolen. Kanker is een echte zenuwziekte, van een parasitaire soort. Als je kanker hebt, is heel je zenuwstelsel aangetast. Dit is gevaarlijk, maar je kunt het lichaam helpen beter te worden, denk aan iets simpels, bijvoorbeeld het eten van pinda, spinazie, aardappel, tomaat en sperziebonen, dan ben je al goed op weg, deze bezitten lectines, die maken de lichaamscellen sterker en dan zit je in de goede richting.

Je moet voorkomen dat kanker zich uitbreidt en dat moet ten eerste door de eigen lichaamscellen te versterken. De ziekte is parasitair, dus het heeft een verbinding, een receptor naar de zenuwen. Hij doet alsof het een lichaamseigen cel is. Zo neemt het een cel over en verbergt hij deze, hij zorgt ervoor dat de verbinding tussen lichaamscellen en de zenuwstelsel wegvallen, de cel gaat niet dood op een rare manier, maar wordt door de parasiet verborgen. Vervolgens maakt het lichaam deze cel weer aan. Als nu deze cel weer verborgen wordt, maakt het lichaam deze opnieuw aan. Dit gebeurt oneindig en dan wordt je door onze wetenschappers bestraald omdat je een tumor hebt. In feite heb je gewoon gezonde cellen die inderdaad teveel zijn geproduceerd, en je krijgt paralyse en uitval op de plekken die verstopt raken.

Om kanker te behandelen, moet de connectie dus de receptor tussen zenuwen en kanker worden verbroken en de lichaamscellen moeten sterker worden, denk aan lectine. Bovendien moeten de verborgen cellen, die niet worden gezien (paralyse) worden gestimuleerd met receptoren en verbetering van de bloedsomloop om die weer aan de zenuwen te verbinden. Dit leidt ertoe dat de cellen vanzelf met de tijd zullen verdwijnen, als ze dood gaan worden ze niet opnieuw geproduceerd!

In geval van tegenwoordige behandeling komt kanker weeer terug omdat het probleem de foute verbinding en de ontbrekende verbinding niet is opgelost. Een soort wiskunde, toch?

Denk bijvoorbeeld aan dopamine verminderen in de hersenen en toevoegen in de tumor, in het gebied rond de tumor, waardoor de cellen weer actief worden en voor het eigen lichaam zullen werken.

--------------------------------------------------------------------------------------------------------

7 Ik vraag me af of via deze refractietechniek het mogelijk wordt om atomen met licht te ioniseren, om ze een lading te geven met behulp van licht. Maar zoiets zou echt in een laboratorium moeten worden getest.
--------------------------------------------------------------------------------------------------------

6 Ook lijkt deze refractietechniek erg geschikt voor Z - ray techniek. Enige wat ontbreekt is een geschikte diffuse straling..Bijvoorbeeld ultraviolet trekt diffuse straling aan en x - ray, infrarood etc. Je zou deze refractie lichtstralen (twee) kunnen buigen naar achteren en vervolgens een diffuse straal creeren door bijvoorbeeld vuur te laten branden. Dan zou backscatter x - ray mogelijk moeten zijn. Bijvoorbeeld met behulp van zonlicht te realiseren.
---------------------------------------------------------------------------------------------------------

5 Het onstaan van magnetisme

2-11-2014 Een magneet oefent aantrekkingskracht uit. Om een magneet te kunnen maken of om een statische energie te creeren moet je zorgen dat de structuur van een lichaam verandert.

Stel je hebt een staaf ijzer met 1000 atomen, deze hebben een bepaalde polarisatie ten opzichte van elkaar en oefenen een energie uit op elkaar. Deze structuur trekt van nature deze atomen aan.

Als ik nu een atoom uit deze structuur haal, ontstaat er een diffuse kracht die zichzelf wil herstellen, hij wil voorkomen dat ik hem uit elkaar haal en ook wil het ervoor zorgen dat het een tegenkracht vindt. Dus stel ik heb dan 999 atomen, dan heb ik een magneet op die soort atoom met een teller van 1.

Dit kan ook verklaard worden met het begrip backscatter straling, zodra een bepaalde frequentie straling ontstaat zoekt het direct naar de omringende frequenties, er ontstaat direct een kettingreactie, denk aan een regenboog. Stel dat infrarood normaal gesproken diffuse straling aantrekt, dan weten wij dat het een kracht is dat magnetisch kan worden genoemd, maar zodra diffuse straling ontbreekt, zal infrarood deze diffuse straling moeten vangen, er ontstaat sterkere druk en magnetisme. Uiteindelijk ontstaat er radioactieve straling omdat licht vele mijlen moet trotseren om deze kracht te neutraliseren, een veel hogere frequentie. Elke kracht veroorzaakt een kettingreactie, actie reactie.

Dus de verklaring waarom ijzer ijzer aantrekt is dus dat een atoom ontbreekt in dit model, en jah die atoom zit wel in een andere staaf en daarom trekken ze elkaar aan.

In theorie betekent dit dus dat alles magnetisch kan worden gemaakt, als de situatie wordt geschept. Bijvoorbeeld ik heb een materie met 6 atomen X en 8 atomen Z, en ik verwijder 1 X, dan zal deze materie alle materiaal aantrekken dat 1 X bevat. Dit geldt dus alleen als de structuur, de energie die de atomen op elkaar uitoefenen intact blijft.
-------------------------------------------------------------------------------------------------------

4 Onderzoek naar stemmen in het hoofd


2-11-2014

(veel wetenschappers vinden dit pseudo wetenschap maar zelf kunnen ze geen reet bedenken)
Om hier enige inzicht in te kunnen verkrijgen moeten we ten eerste stoppen met denken dat de hersenen deze stemmen produceren, er komt namelijk een (aardse) duivel tussen.

De truuk van de duivel kunnen het beste wetenschappers die bezig zijn met akoestiek verklaren alleen dan moeten ze net erop komen. Ze gebruiken ook altijd van die mooie woorden waardoor ze toch net wat slimmer lijken dan ze zijn. Muhahah.

Ik zal uitleggen hoe ik denk dat de duivels ervoor zorgen dat zij ons kunnen influisteren. Stap voor stap.

1 de mens heeft een kible een soort rotatie in de hoofd, net als de planeet aarde een rotatie bezit, bezitten alle elementen op aarde een magnetische frequentie. Er ontstaan magneten, het onweert enz. Het hoort erbij. En wanneer wij doodgaan gaan wij via deze rotatie richting god en dit doen wij via de rotatie van de aarde, de kible. Denk maar aan een engel met zo'n gele buis op zijn hoofd, wij allen bezitten ook zo'n buis figuurlijk gezien.

2 om de frequentie van de magneten te weten te komen, moeten we de afstand van de evenaar weten en de lichtsnelheid. De lichtsnelheid is 300000 km/s en de afstand van de evenaar is 40000 km. Dit betekent dat de aarde een circulaire polariteit bezit van 7,5 hertz. Het licht draait 7,5 keer per seconde om de aarde. Alle magneten op aarde bezitten deze frequentie. Alle wezens op aarde bezitten deze frequentie 7,5 hertz. Je zou kunnen zeggen dat volgens het piezo elektriciteits principe een magneet 7,5 keer om zijn eigen lichaam draait. Ik noem het gewoon circulaire polarisatie, de magneet heeft een rotering van 7,5 hertz. De kible van de aarde is dus ook 7,5 hertz. Deze frequentie is plusmin polig, dus er zit ruis in, dus magnetisme. Deze frequentie van 7,5 hertz is niet hoorbaar voor de menselijke oor.

3 Nu moet je denken aan de werking van een speaker. Een speaker (elektromagnetisch) werkt aan de hand van een elektromagnetische spoel die plusminpolig geladen is (geluid/ruis)! Je schuift er een magneet op die Noord Zuid geladen is, er ontstaat een energiebeweging (geluid/ruis). speakers hebben nodig dat de magneet en de spoel in een zelfde frequentie bewegen wil je het kunnen sturen om er mooie tonen van te maken. Gelukkig voor de duivel bezit de magneet en de kible dezelfde frequentie waardoor je stememn kunt opwekken, we hbben dus als het ware aanleg voor een speaker in ons hoofd. We hebben een roterende beweging in ons hoofd van 7,5 hertz plusminpolig en als je er een magneet op richt van 7,5 hertz heb je een speaker (een oor aannaaien). Maar engineers met gedetailleerde kennis over geluid en stemmen produceren dmv speakers kunnen beter uitleggen hoe je met een speaker een mooie toon kan maken.

4 je zou ook de refractietechniek van Murat Tanta kunnen gebruiken om een plusminpolige frequentie te creeren in de lucht dmv een lichtstraal, of een soort richtmicrofoon gebruiken, vervolgens zet je een magneet erop die dezelfde frequentie bezit en je hebt stemmen in je hoofd!
-----------------------------------------------------------------------------------------------------------------------------

Formule

 Dit is dus de manier waarop Zionisten en de Duivel hun praktijk uitoefenen, het is de hakenkruis en verder:





 


Copyright | © - www.uitvindingensite.nl